Главная Случайная страница


Полезное:

Как сделать разговор полезным и приятным Как сделать объемную звезду своими руками Как сделать то, что делать не хочется? Как сделать погремушку Как сделать так чтобы женщины сами знакомились с вами Как сделать идею коммерческой Как сделать хорошую растяжку ног? Как сделать наш разум здоровым? Как сделать, чтобы люди обманывали меньше Вопрос 4. Как сделать так, чтобы вас уважали и ценили? Как сделать лучше себе и другим людям Как сделать свидание интересным?


Категории:

АрхитектураАстрономияБиологияГеографияГеологияИнформатикаИскусствоИсторияКулинарияКультураМаркетингМатематикаМедицинаМенеджментОхрана трудаПравоПроизводствоПсихологияРелигияСоциологияСпортТехникаФизикаФилософияХимияЭкологияЭкономикаЭлектроника






Nbsp; 5.3. Показники використання основних виробничих фондів





Показники використання основних виробничих фондів переважно поділяються на дві великі групи:

¾ натуральні;

¾ вартісні.

Іноді додатково виокремлюють ще одну групу показників — умовно–натуральні.

До натуральних показників належить продуктивність на одиницю часу роботи устаткування, машини чи механізму. Така продуктивність називається технологічною і вимірюється в натуральних одиницях (шт./рік; км/рік; т/рік). Вона заноситься в технічний паспорт основного фонду. Натуральні показники використання основних виробничих фондів є найбільш вірогідними, але вони не дають змоги реально оцінити ступінь використання основних фондів різних видів. Так, неможливо порівняти продуктивність доменної печі та металорізального верстата. З метою усунення таких незручностей на деяких підприємствах застосовують умовнонатуральні показники. Їх сутність полягає в тому, що продуктивність устаткування, яке має на підприємстві найбільшу питому вагу, беруть за базову. На її основі спочатку розраховують індекси зведення, а потім, з урахуванням цих індексів — продуктивність іншого устаткування. У результаті отримують продуктивність в умовно–натуральних одиницях.

Натуральні та умовно–натуральні показники використання основних виробничих фондів застосовують для активної їх частини. Проте визначити в натуральних одиницях продуктивність будинків, споруд тощо майже неможливо. З огляду на це для визначення ефективності використання всіх основних фондів застосовують вартісні показники.

1. Показники, що характеризують технічний стан основних виробничих фондів:

1.1. Коефіцієнт оновлення – характеризує інтенсивність введення в дію нових виробничих потужностей.

, (4. 8)

де СВВЕД – вартість введених основних фондів;

СПЕРВ.К.Р. – первісна вартість всіх основних фондів на кінець року;

 

1.2. Коефіцієнт вибуття. Характеризує інтенсивність вибуття основних фондів упродовж розрахункового періоду.

, (4.9)

де СВИБ – вартість основних фондів, що вибули;

СПЕРВ.П.Р. – первісна вартість всіх основних фондів на початок року;

1.3. Коефіцієнт зносу. Показує, яка частка вартості основних фондів підприємства вже перенесена на вартість готової продукції. Інакше кажучи, характеризує ступінь зносу основних фондів.

, (4.10)

де СЗН – вартість зносу;

 

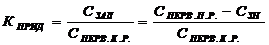
1.4. Коефіцієнт придатності. Характеризує ступінь придатності основних фондів до експлуатації і визначається відношенням до їх первісної вартості на кінець року СІ

, (4.11)

де СЗАЛ – недоамортизована вартість основних фондів;

Слід пам’ятати, що:

 

, (4.12)

2.

 
 

Узагальнюючі показники, характеризуючи використання основних виробничих фондів:

2.1. Фондовіддача – показує, яка частка валового доходу припадає на 1 гривню вартості основних виробничих фондів.

, (4.13)

де ОФСР.Р. – середньорічна вартість основних фондів;

ВП – випуск товарної продукції;

 

2.2. Фондоозброєність. Характеризує ступінь озброєності фондами одного працівника і показує, яка частка загальної вартості основних фондів підприємства припадає на одного середньооблікового працівника:

, (4.14)

де РСР.Р — середньооблікова чисельність працівників.

 

 

2.3. Фондомісткість. Характеризує, яка частка вартості основних виробничих фондів припадає на 1 грн. валового доходу підприємства. Цей показник обернений до фондовіддачі і визначається за формулою.

(4.15)

2.4. Рентабельність основних виробничих фондів. – показує, який прибуток отримують з кожної гривни основних фондів.

 

, (4.16)

де ПБ – балансовий прибуток;

 

3. Приватні показники, характеризуючи використання основних виробничих фондів:

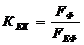
3.1. Коефіцієнт екстенсивного завантаження характеризує ступінь використання обладнання за певний час та визначається по кожній групі однотипного обладнання:

, (4.17)

де FФ – фактично відпрацьований час в годинах;

FЕФ – ефективний фонд часу роботи обладнання.

Повинен прагнути до одиниці. Чим більша різниця тим більше резервів. Відповідає на питання скільки працює обладнання.

 

3.2. Коефіцієнт інтенсивного завантаження ілюструє як працюють ОВФ:

, (4.1 8)

де Впот – потенційно можливий випуск продукції;

Вфакт – фактичний випуск продукції.

3.3. Інтегральний коефіцієнт ілюструє узагальнюючу оцінку використання обладнання по потужності та по часу:

, (4. 19)

Його підвищення досягається в комплексних заходах:

¾ впровадження нових технологій;


¾ інтенсифікація технологічних процесів;

¾ покращення якості сировини;

¾ підвищення рівня праці і т. ін.







Date: 2015-07-17; view: 498; Нарушение авторских прав



mydocx.ru - 2015-2026 year. (0.386 sec.) Все материалы представленные на сайте исключительно с целью ознакомления читателями и не преследуют коммерческих целей или нарушение авторских прав - Пожаловаться на публикацию