Главная Случайная страница


Полезное:

Как сделать разговор полезным и приятным Как сделать объемную звезду своими руками Как сделать то, что делать не хочется? Как сделать погремушку Как сделать так чтобы женщины сами знакомились с вами Как сделать идею коммерческой Как сделать хорошую растяжку ног? Как сделать наш разум здоровым? Как сделать, чтобы люди обманывали меньше Вопрос 4. Как сделать так, чтобы вас уважали и ценили? Как сделать лучше себе и другим людям Как сделать свидание интересным?


Категории:

АрхитектураАстрономияБиологияГеографияГеологияИнформатикаИскусствоИсторияКулинарияКультураМаркетингМатематикаМедицинаМенеджментОхрана трудаПравоПроизводствоПсихологияРелигияСоциологияСпортТехникаФизикаФилософияХимияЭкологияЭкономикаЭлектроника






Витрати на оплату праці працівників підприємства





При організації оплати працівикористовується дві основні форми заробітної плати – погодинна і відрядна. Нам потрібна погодинна.

Погодинна – така форма оплати праці, при якій заробітна плата працівнику нараховується по встановленій тарифній ставці чи окладі за фактично відпрацьований ним робочий час.

Для оплати праці електромонтера, монтажника (по 4 розряду) і слюсаря (3 розряду) використовується почасово – преміальна оплата праці.

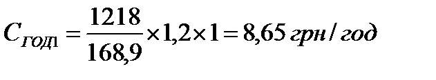
Визначаємо заробітну плату електромонтера 4 розряду. Спочатку визначимо середньо-годинну тарифну ставку робітника 1 розряду за формулою:

 

 

Де ЗПмін – мінімальна заробітна плата (1218 грн. станом на 01.01.2014р.),

 

ФДе.м. - середньо-годинний дійсний фонд одного робітника (~ 168,9 грн.),

Ку.п. - коефіцієнт умов праці (для нормальних умов 1,2),

Кп - коефіцієнт підприємства (приймаємо за 1),

 

 

Визначаємо середньо-годинну ставку електромонтера 4 розряду:

 

 

Де КТАР1 – тарифний коефіцієнт робітника 4-го розряду (КТАР4=1,23)

 

 

Визначаємо кількість відпрацьованих годин. Електромонтер працює в сумі 73 години. Визначаємо зарплату електромонтера:

 

 

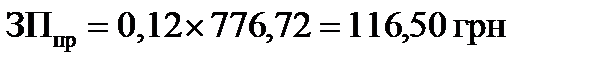
Сума премії, яка виплачується за досягнення показників преміювання, повинна зацікавлювати працівників в покращенні показників своєї роботи. Бажано щоб сума премії, яка отримується за досягнення тих чи інших показників складала не менше 12% заробітку по розцінкам або тарифним ставкам. Приймемо, що премія буде становити 12% від заробітної плати. Тому додаткова заробітна плата буде вираховуватися за наступною формулою:

 

 

Визначаємо заробітну плату монтажника 4 розряду:

Монтажник працював 5 днів. В сумі він відпрацював 30 годин. Визначаємо зарплату монтажника:

 

Визначаємо додаткову заробітну плату монтажників:

 

 

Визначаємо кількість відпрацьованих годин. Монтажник працює в сумі 30 годин. Визначаємо зарплату монтажника:

 

 

Сума премії, яка виплачується за досягнення показників преміювання, повинна зацікавлювати працівників в покращенні показників своєї роботи. Бажано щоб сума премії, яка отримується за досягнення тих чи інших показників складала не менше 12% заробітку по розцінкам або тарифним ставкам. Приймемо, що премія буде становити 12% від заробітної плати. Тому додаткова заробітна плата буде вираховуватися за наступною формулою:

 

 

Визначаємо заробітню плату слюсарів 3 розряду:

Визначаємо кількість відпрацьованих годин. Слюсарі працюють 2 дня. В сумі відпрацювали 11 годин. Визначаємо зарплату слюсарів:

 

 

Визначаємо додаткову заробітну плату слюсарів:

 








Date: 2015-07-17; view: 597; Нарушение авторских прав



mydocx.ru - 2015-2026 year. (0.105 sec.) Все материалы представленные на сайте исключительно с целью ознакомления читателями и не преследуют коммерческих целей или нарушение авторских прав - Пожаловаться на публикацию