Главная Случайная страница


Полезное:

Как сделать разговор полезным и приятным Как сделать объемную звезду своими руками Как сделать то, что делать не хочется? Как сделать погремушку Как сделать так чтобы женщины сами знакомились с вами Как сделать идею коммерческой Как сделать хорошую растяжку ног? Как сделать наш разум здоровым? Как сделать, чтобы люди обманывали меньше Вопрос 4. Как сделать так, чтобы вас уважали и ценили? Как сделать лучше себе и другим людям Как сделать свидание интересным?


Категории:

АрхитектураАстрономияБиологияГеографияГеологияИнформатикаИскусствоИсторияКулинарияКультураМаркетингМатематикаМедицинаМенеджментОхрана трудаПравоПроизводствоПсихологияРелигияСоциологияСпортТехникаФизикаФилософияХимияЭкологияЭкономикаЭлектроника






Обработка результатов эксперимента на основе регрессии





Часто целью исследования является определение функциональной связи между факторами и откликом (реакцией модели) по данным, полученным при экспериментах с моделью объекта или непосредственно с объектом. Такая цель достигается регрессионным анализом значений факторов и отклика .

Под регрессией в теории вероятностей и математической статистике понимают зависимость среднего значения какой-либо величины от некоторой другой (других) величины. Регрессионный анализ - это совокупность методов построения и исследования регрессионной зависимости между величинами (в нашем случае между факторами и откликом) по статистическим данным. Статистические данные накапливаются при проведении эксперимента.

Формальная схема эксперимента выглядит так (рис. 5.6).


Рис. 5.6. Формальная схема эксперимента

Прямоугольник представляет исследуемый объект или его математическую модель. Обозначения на рис. 5.6:

- значения факторов, ;

- случайный фактор, помеха. Будем считать, что эта случайная величина имеет нормальное распределение с матожиданием . Влияние помехи на отклик аддитивное, то есть ее случайные значения прибавляются к значениям отклика;

- искомая функциональная зависимость между факторами и откликом.

Отклик - величина случайная. представляет собой среднее значение отклика (так как ): .

Исследуемый объект представляется как "черный ящик", никаких предположений о виде функции нет. Поэтому представим ее в виде аппроксимирующего полинома:

Этот полином получил название уравнения регрессии, а коэффициенты - коэффициенты регрессии. От точности подбора коэффициентов регрессии зависит точность представления .

Коэффициенты определяются путем обработки полученных в ходе эксперимента варьируемых значений факторов и откликов.

Однако из-за ограниченного числа наблюдений точные значения получить нельзя, будут найдены их оценки :

Поэтому уравнение регрессии принимает вид:

Вообще-то метку над теперь надо бы изменить, так как вместо в уравнении теперь стоят , но мы этого делать не будем, чтобы не загромождать изложение новыми значками.

В уравнении регрессии могут участвовать и так называемые "совместные эффекты" ( и т. п.) или степени значений факторов ( и т. п.). Совместные эффекты и степени факторов можно обозначать обобщенным фактором. Например, уравнение регрессии

можно представить так:

Итак, для определения выражения надо:

  • выбрать степень аппроксимирующего полинома - уравнения регрессии;
  • определить коэффициенты регрессии.

Выбор уравнения регрессии обычно начинают с линейной модели. Например, для двухфакторного эксперимента ее вид:

Если окажется, что такая аппроксимация дает неприемлемые отклонения при сравнении с экспериментальными точками отклика y, то модель усложняется, например, так:

или

и т.д.

Коэффициенты регрессии для выбранного уравнения определяются из условия минимума суммы квадратов ошибок, вычисленных по все экспериментальным точкам. Это делается так. Введем обозначения:

- значение -го фактора в наблюдении номер ;

- значение отклика в -м наблюдении;

- значение отклика, вычисленное по принятому уравнению регрессии и данным .

Очевидно, сумма квадратов ошибок между экспериментальными значениями и вычисленными по уравнению регрессии для всех наблюдений равна:

Для определения минимума ошибки? возьмем частные производные от по всем неизвестным коэффициентам регрессии , и приравняем их нулю:

Нетрудно убедиться, что это условие минимума, а не максимума. Очевидно:

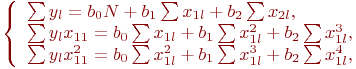
Для лучшей наглядности выделим неизвестные коэффициенты регрессии и получим:

Выражение (5.3) представляет собой систему из уравнений для нахождения неизвестных коэффициентов регрессии , которые окончательно определят выбранное уравнение регрессии.

Нахождение коэффициентов регрессии справедливо при следующих допущениях:

  1. Случайный фактор имеет нормальное распределение с матожиданием .
  2. Результаты наблюдений - независимые нормально распределенные случайные величины. Если это не соблюдается, то следует измерять другой отклик, удовлетворяющий этому условию, но функционально связанный с исследуемым откликом .
  3. Точность наблюдений (количество реализаций модели) не меняется от наблюдения к наблюдению.
  4. Точность наблюдения должна быть выше точности .

Пример 5.8. На модели объекта проведен однофакторный эксперимент из пяти наблюдений, результаты которого сведены в таблицу (табл. 5.10).


Найти функциональную связь фактора с откликом .

Таблица 5.10. Результаты эксперимента  
Фактор и отклики Наблюдение  
           
  0,5 1,0 1,5 2,0    
7,0 4,8 2,8 1,4      
  2,4 2,8 2,1   7,3  

Решение

Примем, что кроме управляемого фактора при проведении эксперимента на объект воздействует случайный фактор, распределенный по нормальному закону с математическим ожиданием . Также предположим, что эта связь - линейная, следовательно, уравнение регрессии нужно определять в виде:

Неизвестных коэффициентов два: и . Запишем (5.3) в виде двух уравнений для и в каждом из них разложим суммы по индексу :

Так как , получим:

Подставим данные эксперимента из табл. 5.10 в систему (5.4):

Решим систему из двух уравнений и получим: , .

Следовательно, искомое уравнение регрессии:

Доверительные границы для истинных значений и примера 5.8 определяются как обычно:

где - аргумент распределения Стьюдента; - среднеквадратические отклонения величин и соответственно.

Значения определяются из таблицы распределения Стьюдента для степеней свободы и задаваемом уровне достоверности . Пусть , тогда .

Значения находятся по формулам:

Данные для вычисления , представлены в табл. 5.11.

Таблица 5.11. Данные для вычисления S_b0, S_b1
    1,0 1,0 7,0 6,68 -0,32 0,1024
  0,5 0,5 0,25 4,8 4,94 0,14 0,0196
  1,0     2,8 3,2 0,40 0,16
  1,5 -0,5 0,25 1,4 1,46 0,06 0,0036
  2,0 -1,0 1,0   0,28 0,28 0,0784

С уровнем достоверности

Большой размах доверительных границ объясняется малым числом наблюдений в данном эксперименте.

Доверительные границы для y принимают разные значения в зависимости от значений факторов [33].

На практике часто ограничиваются обобщенными оценками адекватности построенной модели: величиной среднего абсолютного отклонения

или (и) величиной среднеквадратической ошибки на единицу веса

Весом или степенью свободы эксперимента называют разность между числом наблюдений и числом коэффициентов регрессии .

Предположим, что линейная модель недостаточно точно отображает связь между фактором и откликом .

Введем в рассмотрение более сложную нелинейную модель:

Для определения коэффициентов регрессии обозначим и получим двухфакторную линейную модель:

В этом случае уравнение (5.3) раскрывается так:

В уравнениях принято:

Так как , , то система принимает вид:

Подставим значения фактора и отклика из табл. 5.10:

Решим систему из трех уравнений с тремя неизвестными и получим: .

Таким образом, получено новое уравнение регрессии:

По значениям и нетрудно убедиться в том, что нелинейная модель более точно отображает моделируемый процесс (см. табл. 5.10), чем линейная.

В рассмотренном примере ошибка модели определялась по тем же данным, по которым и была определена сама модель. Однако при сокращенных планах экспериментов (см. п. 4.3) можно выполнить все или часть "сэкономленных" наблюдений для получения так называемых проверочных данных, которые и использовать для вычисления ошибки или . В этом случае оценка адекватности модели будет более объективна, хотя число наблюдений в эксперименте увеличивается, и экономии их не будет.


По уравнению регрессии можно сделать ориентировочную оценку чувствительности отклика к изменению того или иного фактора. Например, в уравнении влияние фактора на отклик незначительно по сравнению с другими, так как коэффициент намного меньше остальных коэффициентов.

В программном пакете MS Excel есть функция "Регрессия", которая может выполнить всесторонний регрессионный анализ данных компьютерного эксперимента.

Пример 5.9. В ремонтное подразделение поступают вышедшие из строя средства связи (СС) с интервалами времени, подчиненными показательному закону с математическим ожиданием . В каждом СС могут быть неисправными в любом сочетании блоки A, B, C с вероятностями , , соответственно. Ремонтное подразделение ремонтирует СС путем замены неисправных блоков исправными блоками. В момент поступления неисправного СС в ремонтное подразделение вероятности наличия в нем исправных блоков соответственно . Наличие и замена блока обязательно при любом сочетании неисправных блоков.

Построить имитационную модель "Система ремонта" с целью определения вероятности ремонта СС с неисправными блоками , и , , за время . По результатам эксперимента получить уравнение регрессии, связывающее вероятность ремонта СС с вероятностями .

Решение

Постановка примера 5.9 аналогична постановке примера 3.8. Отличие состоит в том, что введен фактор времени - интервалы поступления неисправных СС. Это учтено в модели, при разработке которой использовался алгоритм примера 3.8 (см. рис. 3.18).

Для построения уравнения регрессии введем обозначения:

- отклик модели, вероятность ремонта СС с неисправными блоками и за время ;

- фактор, представляющий вероятность ;

- фактор, представляющий вероятность ;

- фактор, представляющий вероятность ;

- фактор, представляющий вероятность ;

- фактор, представляющий вероятность .

Исходные данные и результаты эксперимента с моделью в количестве 32 наблюдений приведены в табл. 5.12. По этим данным функция "Регрессия" из MS Excel сформировала искомое уравнение:

Таблица 5.12. Результаты эксперимента с моделью "Система ремонта"
№ отклика
  0,088 0,3 0,55 0,5 0,2 0,65
  0,127 0,3 0,55 0,5 0,2 0,95
  0,303 0,3 0,55 0,5 0,8 0,65
  0,442 0,3 0,55 0,5 0,8 0,95
  0,099 0,3 0,55 0,9 0,2 0,65
  0,146 0,3 0,55 0,9 0,2 0,95
  0,317 0,3 0,55 0,9 0,8 0,65
  0,46 0,3 0,55 0,9 0,8 0,95
  0,116 0,3 0,85 0,5 0,2 0,65
  0,167 0,3 0,85 0,5 0,2 0,95
  0,445 0,3 0,85 0,5 0,8 0,65
  0,653 0,3 0,85 0,5 0,8 0,95
  0,12 0,3 0,85 0,9 0,2 0,65
  0,175 0,3 0,85 0,9 0,2 0,95
  0,452 0,3 0,85 0,9 0,8 0,65
  0,66 0,3 0,85 0,9 0,8 0,95
  0,118 0,3 0,55 0,5 0,2 0,65
  0,173 0,9 0,55 0,5 0,2 0,95
  0,336 0,9 0,55 0,5 0,8 0,65
  0,486 0,9 0,55 0,5 0,8 0,95
  0,158 0,9 0,55 0,9 0,2 0,65
  0,228 0,9 0,55 0,9 0,2 0,95
  0,373 0,9 0,55 0,9 0,8 0,65
  0,544 0,9 0,55 0,9 0,8 0,95
  0,127 0,9 0,85 0,5 0,2 0,65
  0,184 0,9 0,85 0,5 0,2 0,95
  0,457 0,9 0,85 0,5 0,8 0,65
  0,67 0,9 0,85 0,5 0,8 0,95
  0,137 0,9 0,85 0,9 0,2 0,65
  0,201 0,9 0,85 0,9 0,2 0,95
  0,471 0,9 0,85 0,9 0,8 0,65
  0,689 0,9 0,85 0,9 0,8 0,95

Кроме вычисленных оценок коэффициентов регрессии функция "Регрессия" выдает также результаты регрессионного анализа (табл. 5.13): вычисленные значения откликов , разность между ними и измеренными в эксперименте в каждом наблюдении , среднеквадратические ошибки в определении коэффициентов регрессии и откликов при определенных значениях факторов и некоторые другие.


Таблица 5.13. Результаты регрессионного анализа
  Коэффициенты Стандартная ошибка t-статистика
-пересечение -0,52287 0,083821 -6,23787
Переменная 0,044568 0,034409 1,295248
Переменная 0,270679 0,068279 3,964334
Переменная 0,048634 0,051209 0,949722
Переменная 0,559089 0,034139 16,37673
Переменная 0,387762 0,068279 5,679123
Наблюдение Предсказанное Y Остатки Стандартные остатки
  0,027558 0,060442 1,141425
  0,143886 -0,01689 -0,31889
  0,363011 -0,06001 -1,13329
  0,47934 -0,03734 -0,70515
  0,047011 0,051989 0,981781
  0,16334 -0,01734 -0,32746
  0,382465 -0,06547 -1,23628
  0,498794 -0,03879 -0,7326
  0,108761 0,007239 0,136697
  0,22509 -0,05809 -1,09701
  0,444215 0,000785 0,014822
  0,560544 0,092456 1,745995
  0,128215 -0,00822 -0,15514
  0,244544 -0,06954 -1,31331
  0,463669 -0,01167 -0,22036
  0,579998 0,080002 1,510813
  0,027558 0,090442 1,707963
  0,170627 0,002373 0,044804
  0,389752 -0,05375 -1,01509
  0,506081 -0,02008 -0,37922
  0,073752 0,084248 1,590978
  0,190081 0,037919 0,716081
  0,409206 -0,03621 -0,68374
  0,525535 0,018465 0,348706
  0,135502 -0,00850 -0,16057
  0,251831 -0,06783 -1,28096
  0,470956 -0,01396 -0,26356
  0,587285 0,082715 1,56204
  0,154956 -0,01796 -0,33909
  0,271285 -0,07028 -1,3273
  0,490410 -0,01941 -0,36655
  0,606739 0,082261 1,553472

Пример 5.10. На узел связи поступают заявки на передачу сообщений. Интервалы времени поступления заявок подчинены показательному закону с математическим ожиданием . На узле связи имеются два канала передачи данных. При поступлении очередной заявки в интервале времени вероятности того, что каналы и будут свободны, соответственно равны и . При поступлении заявок после времени вероятности того, что каналы и будут свободны, соответственно равны и . Сообщение передаётся по любому свободному каналу. Если оба канала заняты, заявка теряется.

Построить имитационную модель "Обработка запросов на узле связи" с целью определения абсолютного и относительного числа потерянных заявок из их общего количества, поступивших на узел связи за время , . Получить уравнение регрессии, связывающее относительную долю обслуженных заявок с интервалами их поступления и вероятностями .

Решение

Имитационная модель построена в соответствии с алгоритмом (см. рис. 3.21). Для построения уравнения регрессии введем обозначения:

- отклик модели, вероятность ремонта СС с неисправными блоками , и , , за время ;

- фактор, представляющий вероятность ;

- фактор, представляющий вероятность ;

- фактор, представляющий вероятность ;

- фактор, представляющий вероятность ;

- фактор, представляющий интервалы поступления заявок .

Исходные данные и результаты эксперимента приведены в табл. 5.14. Для регрессионного анализа также использовалась функция "Регрессия" MS Excel. Получено искомое уравнение:

Таблица 5.14. Результаты эксперимента с моделью "Обработка запросов на узле связи"
Номер отклика
  0,405 0,5 0,7 0,3 0,3  
  0,406 0,5 0,7 0,3 0,3  
  0,09 0,5 0,7 0,3 0,9  
  0,09 0,5 0,7 0,3 0,9  
  0,195 0,5 0,7 0,7 0,3  
  0,195 0,5 0,7 0,7 0,3  
  0,06 0,5 0,7 0,7 0,9  
  0,06 0,5 0,7 0,7 0,9  
  0,38 0,5 0,9 0,3 0,3  
  0,38 0,5 0,9 0,3 0,3  
  0,65 0,5 0,9 0,3 0,9  
  0,65 0,5 0,9 0,3 0,9  
  0,17 0,5 0,9 0,7 0,3  
  0,17 0,5 0,9 0,7 0,3  
  0,035 0,5 0,9 0,7 0,9  
  0,0348 0,5 0,9 0,7 0,9  
  0,375 0,9 0,7 0,3 0,3  
  0,376 0,9 0,7 0,3 0,3  
  0,06 0,9 0,7 0,3 0,9  
  0,06 0,9 0,7 0,3 0,9  
  0,165 0,9 0,7 0,7 0,3  
  0,165 0,9 0,7 0,7 0,3  
  0,03 0,9 0,7 0,7 0,9  
  0,0301 0,9 0,7 0,7 0,9  
  0,37 0,9 0,9 0,3 0,3  
  0,37 0,9 0,9 0,3 0,3  
  0,055 0,9 0,9 0,3 0,9  
  0,055 0,9 0,9 0,3 0,9  
  0,16 0,9 0,9 0,7 0,3  
  0,16 0,9 0,9 0,7 0,3  
  0,025 0,9 0,9 0,7 0,9  
  0,025 0,9 0,9 0,7 0,9  

Результаты регрессионного анализа, аналогичные рассмотренным в примере 5.9 (табл. 5.13), приведены в табл. 5.15.

Таблица 5.15. Результаты регрессионного анализа
  Коэффициенты Стандартная ошибка t-статистика
-пересечение 0,526135 0,211881 2,483165
Переменная -0,23277 0,112257 -2,0735
Переменная 0,289906 0,224514 1,291259
Переменная -0,48314 0,112257 -4,30387
Переменная -0,25334 0,074838 -3,38522
Переменная 1,48E-05 0,005613 0,002645
Наблюдение Предсказанное Y Остатки Стандартные остатки
  0,391756 0,013244 0,113864
  0,391875 0,014125 0,12144
  0,23975 -0,14975 -1,28748
  0,239869 -0,14987 -1,2885
  0,1985 -0,0035 -0,03009
  0,198619 -0,00362 -0,03111
  0,046494 0,013506 0,116121
  0,046613 0,013387 0,1151
  0,449738 -0,06974 -0,59957
  0,449856 -0,06986 -0,60059
  0,297731 0,352269 3,02865
  0,29785 0,35215 3,027629
  0,256481 -0,08648 -0,74353
  0,2566 -0,0866 -0,74455
  0,104475 -0,06948 -0,59732
  0,104594 -0,06979 -0,60006
  0,29865 0,07635 0,656423
  0,298769 0,077231 0,664
  0,146644 -0,08664 -0,74492
  0,146763 -0,08676 -0,74595
  0,105394 0,059606 0,512468
  0,105513 0,059487 0,511447
  -0,04661 0,076612 0,65868
  -0,04649 0,076594 0,658519
  0,356631 0,013369 0,114939
  0,35675 0,01325 0,113918
  0,204625 -0,14963 -1,28641
  0,204744 -0,14974 -1,28743
  0,163375 -0,00338 -0,02902
  0,163494 -0,00349 -0,03004
  0,011369 0,013631 0,117195
  0,011488 0,013512 0,116174

Вопросы для самоконтроля

  1. Что понимают под характеристикой случайных величин и процессов?
  2. Что такое несмещенная оценка характеристики случайной величины? Состоятельная? Эффективная?
  3. Что характеризует гистограмма? Правило построения гистограммы.
  4. В чем состоит сущность дисперсионного анализа?
  5. Что такое ошибки первого рода и второго рода при оценке гипотез?
  6. Что такое F - распределение и почему оно является мерой сравнения дисперсий случайных величин?
  7. Для чего используется критерий Вилькоксона?
  8. В чем состоит методика выявления несущественных факторов?
  9. Назначение корреляционного анализа.
  10. Назначение регрессионного анализа.
  11. Представьте графически виды корреляции между двумя переменными.
  12. Составьте систему уравнений для определения коэффициентов регрессии модели вида:

  1. Для линейной и нелинейной моделей, полученных в п. 5.12, вычислить и сравнить ошибки и .
  2. С объектом проведено экспериментов. Данные экспериментов приведены в таблице:
Измерения Эксперименты
           
             
             
             
             
             
             
  1. Построить линейную математическую модель функционирования объекта вида: . Расчеты провести в таблице. Проверьте адекватность модели при абсолютной точности 0,2.

 

 

6. Лекция: Моделирование в GPSS World: версия для печати и PDA Лекция посвящена четырем видам объектов: модель, процесс моделирования, отчет и текстовый.
6.1. Основы построения и принципы функционирования языка имитационного моделирования Модель разрабатывается на языке GPSS и состоит из операторов, а объект " Модель " создается при помощи встроенного текстового редактора. Объект " Процесс моделирования " - это результат трансляции модели. Далее процесс моделирования запускается с помощью команд GPSS. По завершении моделирования, как правило, автоматически создается объект " Отчет ". Текстовый объект (текстовый файл GPSS World) предназначен для упрощения разработки больших моделей и создания библиотеки исходных текстов. То есть модель может быть разделена на наборы операторов, представляющие собой отдельные текстовые файлы, а затем объектом "Процесс моделирования" собрана из них. Объект "Процесс моделирования" может также создавать новые текстовые файлы с фрагментами модели, результатами моделирования, а также считывать и записывать данные в текстовые файлы. GPSS World предназначена для имитационного моделирования систем с дискретными и непрерывными процессами. Языком моделирования в ней является язык GPSS, улучшенный встроенным языком программирования низкого уровня PLUS. Язык GPSS построен в предположении, что модель сложной системы можно представить совокупностью элементов и логических правил их взаимодействия в процессе функционирования моделируемой системы. Набор абстрактных элементов, называемых объектами, небольшой. Также набор логических правил ограничен и может быть описан стандартными операциями. Комплекс программ, описывающих функционирование объектов и выполняющих логические операции, является основой для создания программной модели. Кроме этого комплекса в составе GPSS World имеется программа- планировщик, выполняющая следующие функции:
  • обеспечение продвижения по заданным разработчиком маршрутам динамических объектов, называемых транзактами;
  • планирование событий, происходящих в модели, путем регистрации времени наступления каждого события и выполнения их в нарастающей временной последовательности;
  • регистрация статистической информации о функционировании модели;
  • продвижение модельного времени в процессе моделирования системы.
Чтобы обеспечить правильную последовательность обработки событий во времени, имеются системные часы, хранящие значения абсолютного модельного времени Объекты в моделируемой системе предназначены для различных целей. Совершенно не обязательно, чтобы в одной модели участвовали все типы объектов. Необходимо лишь наличие блоков и транзактов, иначе модель работать не будет. Объекты подразделяются на 7 категорий и 15 типов, которые представлены в табл. 6.1.
Таблица 6.1. Объекты GPSS
Категории Типы объектов
Динамическая Транзакты
Операционная Блоки
Аппаратная Одноканальные устройства, памяти (многоканальные
  устройства), логические ключи (переключатели)
Вычислительная Переменные, функции, генераторы случайных чисел
Статистическая Очереди, таблицы
Запоминающая Ячейки, матрицы ячеек
Группирующая Числовые группы, группы транзактов, списки

Рассмотрим назначение объектов GPSS.

Динамическими объектами являются транзакты, которые создаются в определенных точках модели, продвигаются планировщиком через блоки, а затем уничтожаются. Транзакты являются аналогами единиц - потоков в реальной системе. Они могут представлять собой различные элементы даже в одной модели. С каждым транзактом связаны параметры, которые используются для конкретных данных. Каждый транзакт может иметь любое число параметров. Параметры нумеруются или им даются имена. Номера параметров и имена используются для ссылок на значения, присвоенные параметрам. Транзактам может присваиваться приоритет. Приоритет определяет предпочтение, которое получает транзакт, когда он и другие транзакты претендуют на один и тот же ресурс.

Объекты аппаратной категории - это абстрактные элементы, на которые может быть декомпозирована реальная система. Воздействуя на эти объекты, транзакты могут изменять их состояние и влиять на движение других транзактов. К объектам этого типа относятся одноканальные устройства, памяти (многоканальные устройства) и логические ключи.

Одноканальные устройства (ОКУ) представляют собой оборудование, которое в любой момент времени может быть занято только одним транзактом. Например, один канал передачи данных, одноканальный ремонтный орган, один станок изготовления деталей, одно транспортное средство.

Многоканальные устройства (МКУ) предназначены для имитации оборудования, осуществляющего параллельную обработку. Они могут быть использованы одновременно несколькими тран-зактами. МКУ можно использовать в качестве аналога, например, многоканального ремонтного органа, нескольких каналов связи.

Для моделирования такого оборудования, как переключатели, имеющие только два состояния, в GPSS используются логические ключи.

Операционные объекты, т. е. блоки, задают логику функционирования модели системы и определяют пути движения транзактов между объектами аппаратной категории. В блоках могут происходить события четырех основных типов:

  1. создание или уничтожение транзактов;
  2. изменение числового атрибута объекта;
  3. задержка транзакта на определенный период времени;
  4. изменение маршрута движения транзакта в модели. Версия GPSS, реализованная в системе GPSS World, содержит 53 типа блоков.

В зависимости от назначения блоки подразделяются на несколько групп.

  1. Блоки, осуществляющие модификацию атрибутов транзак-тов:
    • генерирование и уничтожение транзактов GENERATE, SPLIT, TERMINATE, ASSEMBLE;
    • временная задержка ADVANCE;
    • синхронизация движения двух MATCH и нескольких GATHER транзактов;
    • изменение приоритета транзакта PRIORITY;
    • изменение параметров транзактов ASSIGN, INDEX, MARK, PLUS.
  2. Блоки, изменяющие последовательность движения транзак-тов (блоки передачи управления): DISPLACE, TRANSFER, LOOP, TEST, GATE.
  3. Блоки, связанные с группирующей категорией: ADOPT, ALTER, EXAMINE, JOIN, REMOVE, SCAN.
  4. Блоки, описывающие объекты аппаратной категории:
    • одноканальные устройства (технические средства) SEIZE, RELEASE, PREEMPT, RETURN, FUNAVAIL, FAVAIL;
    • многоканальные устройства (памяти) ENTER, LEAVE, SAVAIL, SUNAVAIL;
    • ключи (логические переключатели) LOGIC.
  5. Блоки, сохраняющие необходимые значения для дальнейшего использования: SAVEVALUE, MSAVEVALUE.
  6. Блоки для получения статистических результатов:
    • очереди QUEUE, DEPART;
    • таблицы TABULATE.
  7. Блоки для организации списка пользователя: LINK, UNLINK.
  8. Блоки для организации ввода-вывода:
    • открытие/закрытие файла: OPEN/CLOSE;
    • считывание/запись в файл: READ/WRITE;
    • установка позиции текущей строки: SEEK.
  9. Специальные блоки: BUFFER, COUNT, EXECUTE, INTEGRATION, SELECT, TRACE, UNTRACE.

Вычислительная категория служит для описания таких ситуаций в процессе моделирования, когда связи между компонентами моделируемой системы посредством процессом наиболее просто и компактно выражаются в виде математических (аналитических и логических) соотношений. Для этих целей в качестве объектов вычислительной категории введены арифметические и булевы переменные и функции.

Переменные представляют собой сложные выражения, которые включают константы, системные числовые атрибуты (СЧА), библиотечные арифметические функции, арифметические и логические операции.

Выражения могут применяться в переменных и операторах GPSS. При применении в переменных выражения определяются командами GPSS. При применении в операторах GPSS выражения определяются как часть языка PLUS.

Каждому объекту соответствуют атрибуты, описывающие его состояние в данный момент времени. Они доступны для использования в течение всего процесса моделирования и называются системными числовыми атрибутами (СЧА). Например, объект вычислительной категории - генератор случайных чисел имеет СЧА RNn - число, вычисляемое генератором равномерно распределенных случайных чисел номер n; у объекта динамической категории - транзакта СЧА: PR - приоритет обрабатываемого в данный момент транзакта; Pi - значение i-го параметра активного транзакта и др. Всего в GPSS World имеется свыше 50 СЧА.

Булевы переменные позволяют пользователю проверять в одном блоке GPSS одновременно несколько условий, исходя из состояния или значения этих условий и их атрибутов.

С помощью функций пользователь может производить вычисления непрерывных или дискретных функциональных зависимостей между аргументом функции (независимая величина) и зависимым значением функции.

Кроме библиотечных арифметических функций GPSS World имеет 24 встроенных генератора случайных чисел.

Объекты запоминающей категории обеспечивают обращения к сохраняемым значениям. Ячейки сохраняемых величин и матрицы ячеек сохраняемых величин используются для сохранения некоторой числовой информации. Любой активный транзакт может произвести запись информации в эти объекты. Впоследствии записанную в эти объекты информацию может считать любой транзакт. Матрицы могут иметь до шести измерений.

К статистическим объектам относятся очереди и таблицы. В любой системе движение потока транзактов может быть задержано из-за недоступности устройств. В этом случае задержанные транзакты ставятся в очередь - еще один тип объектов GPSS. Учет этих очередей составляет одну из основных функций планировщика. Планировщик автоматически накапливает определенную статистику относительно устройств и очередей. Кроме этого пользователь может собирать дополнительную статистическую информацию, указав специальные точки в модели.

Для облегчения табулирования статистической информации в GPSS предусмотрен специальный объект - таблица. Таблицы используются для получения выборочных распределений некоторых случайных величин. Таблица состоит из частотных классов (диапазонов значений), куда заносится число попаданий конкретного числового атрибута в каждый, тот или иной, частотный класс. Для каждой таблицы вычисляется также математическое ожидание и среднеквадратическое отклонение.

К группирующей категории относятся три типа объектов: числовая группа, группа транзактов и списки.

При моделировании транзакты хранятся в списках. Существует пять видов списков, только в одном из которых в любой момент времени может находиться транзакт:

  1. текущих событий;
  2. будущих событий;
  3. задержки ОКУ или МКУ;
  4. отложенных прерываний ОКУ;
  5. пользователя.

Одноканальное устройство имеет:

  • список отложенных прерываний - список транзактов, ожидающих занятия ОКУ по приоритету;
  • список прерываний - список транзактов, обслуживание которых данным ОКУ было прервано;
  • список задержки - список транзактов, ожидающих занятия ОКУ в порядке приоритета;
  • список повторных попыток - список транзактов, ожидающих изменения состояния ОКУ.

Многоканальное устройство имеет:

  • список задержки - список транзактов в порядке приоритета, ожидающих возможность занять освободившиеся каналы МКУ;
  • список повторных попыток - список транзактов, ожидающих изменения состояния МКУ.

Список пользователя содержит транзакты, удаленные пользователем из списка текущих событий и помещенные в список пользователя как временно неактивные. Списки пользователя используются для организации очередей с дисциплинами, отличными от дисциплины "первым пришел - первым обслужен".







Date: 2015-07-17; view: 729; Нарушение авторских прав



mydocx.ru - 2015-2026 year. (1.028 sec.) Все материалы представленные на сайте исключительно с целью ознакомления читателями и не преследуют коммерческих целей или нарушение авторских прав - Пожаловаться на публикацию