Главная Случайная страница


Полезное:

Как сделать разговор полезным и приятным Как сделать объемную звезду своими руками Как сделать то, что делать не хочется? Как сделать погремушку Как сделать так чтобы женщины сами знакомились с вами Как сделать идею коммерческой Как сделать хорошую растяжку ног? Как сделать наш разум здоровым? Как сделать, чтобы люди обманывали меньше Вопрос 4. Как сделать так, чтобы вас уважали и ценили? Как сделать лучше себе и другим людям Как сделать свидание интересным?


Категории:

АрхитектураАстрономияБиологияГеографияГеологияИнформатикаИскусствоИсторияКулинарияКультураМаркетингМатематикаМедицинаМенеджментОхрана трудаПравоПроизводствоПсихологияРелигияСоциологияСпортТехникаФизикаФилософияХимияЭкологияЭкономикаЭлектроника






Пример 1.1.3





Моделирование

— это универсальный метод получения, описания и использования знаний. Оно используется в любой профессиональной деятельности.
В современной науке и технологии математическое моделирование усиливается, актуализируется проблемами, успехами других наук. Математическое моделирование реальных и нелинейных систем живой и неживой природы позволяет перекидывать мостики между нашими знаниями и реальными системами, процессами, в том числе и мыслительными.

Моделирование

- процесс построения, изучения и применения моделей.

Т.е. можно сказать, что

моделировaние

- это изучение объектa путем построения и исследования его модели, осуществляемое с определенной целью и состоит в зaмене экспериментa с оригинaлом экспериментом нa модели.

Приведем наиболее важные типы моделей (моделирования) с краткими определениями, примерами.

Модель называется статической, если среди параметров, участвующих в описании модели, нет временного параметра. Статическая модель в каждый момент времени дает лишь «фотографию» системы, ее срез.

Пример 1.1.3

Модель динамическая, если среди параметров модели есть временной параметр, т. е. она отображает систему (процессы в системе) во времени.

Пример 1.1.4

Модель дискретная, если она описывает поведение системы только в дискретные моменты времени.

Пример 1.1.5

Модель непрерывная, если она описывает поведение системы для всех моментов времени из некоторого промежутка.

Пример 1.1.6

Модель имитационная, если она предназначена для испытания или изучения, проигрывания возможных путей развития и поведения объекта путем варьирования некоторых или всех параметров модели.

Пример 1.1.7

Модель детерминированная, если каждому входному набору параметров соответствует вполне определенный и однозначно определяемый набор выходных параметров; в противном случае модель недетерминированная, стохастическая (вероятностная).

Пример 1.1.8

Модель теоретико-множественная, если представима с помощью некоторых множеств и отношений принадлежности им и между ними.

Пример 1.1.9

Модель логическая, если она представима предикатами, логическими функциями.

Пример 1.1.10

Модель игровая, если она описывает, реализует некоторую игровую ситуацию Между участниками игры (лицами, коалициями).

Пример 1.1.11

Модель алгоритмическая, если она описана некоторым алгоритмом или комплексом алгоритмов, определяющим ее функционирование, развитие. Введение такого на первый взгляд непривычного типа моделей кажется нам вполне обоснованным, так как не все модели могут быть исследованы или реализованы алгоритмически.

Пример 1.1.12

Модель языковая, лингвистическая, если она представлена некоторым лингвистическим объектом, формализованной языковой системой или структурой. Иногда такие модели называют вербальными, синтаксическими и т. п.

Пример 1.1.13

Модель визуальная, если она позволяет визуализировать отношения и связи моделируемой системы, особенно в динамике.

Пример 1.1.14

Модель натурная, если она есть материальная копия объекта моделирования.

Пример 1.1.15

Модель геометрическая, графическая, если она представима геометрическими образами и объектами.

Пример 1.1.16

Тип модели зависит от информационной сущности моделируемой системы, от связей и отношений ее подсистем и элементов, а не от ее физической природы.

Пример 1.1.17

Границы между моделями различных типов или же отнесение модели к тому или иному типу часто весьма условны. Можно говорить о различных режимах использования моделей — имитационном, стохастическом и т. д.
Все основные типы моделей, возможно, за исключением некоторых натурных — системно-информационные (инфосистемные) и информационно-логические (инфологические). В узком понимании информационная модель — это модель, описывающая, изучающая, актуализирующая информационные связи и отношения в исследуемой системе. В еще более узком понимании информационная модель — это модель, основанная на данных, структурах данных, их информационно-логическом представлении и обработке. Как широкое, так и узкое понимание информационной модели необходимы, определяются решаемой проблемой и доступными для ее решения ресурсами, в первую очередь информационно-логическими.

3асимметрия выборки

Асимметрия – это свойство распределения выборки, которое характеризует несимметричность распределения случайной величины. На практике симметричные распределения встречаются редко и чтобы выявить и оценить степень асимметрии, вводят следующую меру (третий центральный момент)


, (4)

Асимметрия бывает положительной и отрицательной ( -асимметрия считается значительной

- асимметрия считается незначительной). Положительная сдвигается влево, а отрицательная – вправо.

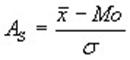
Симметричным называется распределение, в котором частоты любых двух вариантов, равностоящих в обе стороны от центра распределения, равны между собой. Для симметричных распределений средняя арифметическая, мода и медиана равны между собой. Простейший показатель асимметрии основан на соотношении показателей центра распределения: чем больше разность между средней арифметической и модой (медианой), тем больше асимметрия ряда.

Показатель асимметрии:

или .

Для сравнения асимметрии в нескольких рядах используют относительный показатель асимметрии.

или

Величина может быть положительной и отрицательной. Если , то на графике такой ряд будет иметь вытянутость вправо (правосторонняя асимметрия), если , то вытянутость влево (левосторонняя асимметрия).

Возможно, что некоторые случаи несимметрично проявляющихся наследственных признаков можно представить с точки зрения зависимости фенотипического проявления малоспецифичных генов от вариации индивидуального развития. В процессе индивидуального развития, особенно на более поздних дифференцировочных стадиях, закладки органов на одной и на другой стороне могут варьировать довольно независимо друг от друга и тем самым вызывать асимметрию в фенотипическом проявлении малоспецифичных генов (Тимофеев-Ресовский, 1925). Стоит упомянуть, что построение организма - мероприятие кооперативное, причем внутренние связи в нем так сложны и запутанны, что отделить вклад одного гена от вклада другого почти невозможно. Данный ген может оказывать самые разнообразные воздействия на совершенно разные части тела. Определенная часть тела может находиться под влиянием многих генов, и эффект каждого отдельного гена зависит от его взаимодействия с другими генами (Докинз, 1993).

Материальной основой наследственной изменчивости билатеральных признаков может служить явление резких нарушений генной экспрессии, состоящих в том, что некоторые гены при определенных условиях не экспрессируются. Это явление может быть связано с флуктуациями внутренней структуры мутантного гена in statu nascendi или того участка хромосомы, в котором он локализован. Лишь дальнейший отбор, если он вступает в свои права, может стабилизировать экспрессию генов в тканях билатерально проявляющихся органов на уровне биологически оправданного оптимума.

В силу того, что асимметрия, как правило, имеет крайне малые значения в своем проявлении, то можно предположить, что лежащие в их основе мелкие генетические изменения могут усиливаться (накапливаться) в процессе развития, приводя к более крупным фенотипическим эффектам (Кейлоу, 1986) тем самым влияя на приспособленность организмов к меняющимся экологическим условиям.

По своей природе асимметрия многомерна. Эта многомерность вызывается, очевидно, неустойчивостью генома на отдельных стадиях онтогенеза; гетерогенностью генотипов, образующих популяции; разным давлением отбора на каждой из стадий онтогенеза (Дубинин, 1966). Возможно, существует характерный для каждого генотипа пул флуктуирующей асимметрии, превышение которого приводит организм к гибели (Ефимов, 1987а).


Интересно, что кроме ФА, предполагается наличие существенной генетической основы в направленной асимметрии и антисимметрии (Graham et al., 1993; Leamy et al., 2000) и, что в отдельных случаях путем отбора удается изменить тип асимметрии (Тимофеев-Ресовский, Иванов, 1966).

4. Корреляционный анализ

Корреляционный анализ — метод обработки статистических данных, с помощью которого измеряется теснота связи между двумя или более переменными. Корреляционный анализ тесно связан с регрессионным анализом (также часто встречается термин «корреляционно-регрессионный анализ», который является более общим статистическим понятием), с его помощью определяют необходимость включения тех или иных факторов в уравнение множественной регрессии, а также оценивают полученное уравнение регрессии на соответствие выявленным связям (используя коэффициент детерминации).[1][2]







Date: 2015-07-17; view: 418; Нарушение авторских прав



mydocx.ru - 2015-2026 year. (0.905 sec.) Все материалы представленные на сайте исключительно с целью ознакомления читателями и не преследуют коммерческих целей или нарушение авторских прав - Пожаловаться на публикацию