Главная Случайная страница


Полезное:

Как сделать разговор полезным и приятным Как сделать объемную звезду своими руками Как сделать то, что делать не хочется? Как сделать погремушку Как сделать так чтобы женщины сами знакомились с вами Как сделать идею коммерческой Как сделать хорошую растяжку ног? Как сделать наш разум здоровым? Как сделать, чтобы люди обманывали меньше Вопрос 4. Как сделать так, чтобы вас уважали и ценили? Как сделать лучше себе и другим людям Как сделать свидание интересным?


Категории:

АрхитектураАстрономияБиологияГеографияГеологияИнформатикаИскусствоИсторияКулинарияКультураМаркетингМатематикаМедицинаМенеджментОхрана трудаПравоПроизводствоПсихологияРелигияСоциологияСпортТехникаФизикаФилософияХимияЭкологияЭкономикаЭлектроника






Моделирование процесса социальной мобилизации (логистическое уравнение). Неустойчивость динамики





Социальная мобилизация - это спланированный процесс, в котором все основные секторы общества действуют вместе ради достижения общей цели, такой, например, как иммунизация всех детей против болезней, которые могут быть предотвращены путем введения вакцины. Особая сложность массовой иммунизации состоит в необходимости охватить многих людей в течение короткого промежутка времени и социальная мобилизация является тем подходом, который может быть использован для создания необходимого состояния общества, обеспечивающего проведение массовой иммунизации за короткий промежуток времени, например, в течение национального дня или недели иммунизации. Социальная мобилизация подразумевает сочетание возможности выбора и добровольного участия. Люди приходят на помощь, когда они видят, что это в их интересах и когда они сами убеждены, что это важно для них и для окружающих. Социальная мобилизация помогает задействовать динамические силы в обществе. При этом каждый член общества оказывается охваченным, у каждого появляется своя роль, каждый должен почувствовать свой вклад в общие усилия. Идея, на которой основана социальная мобилизация, состоит в создании основы для достижения поставленных целей. Однако и после того, как цель достигнута, важно поддерживать и наращивать созданные связи. Таким образом, энергия людей, которая один раз была задействована, может быть направлена в русло поддержки последующих шагов в области иммунизации. Социальная мобилизация усиливает как предложение, так и спрос. Здесь предложение означает обеспечение необходимого оборудования, человеческих ресурсов, средств транспорта и др.

Логистическое уравнение, также известное, как уравнение Ферхюльста (по имени впервые сформулировавшего его бельгийского математика), изначально появилось при рассмотрении модели роста численности населения.

Исходные предположения для вывода уравнения при рассмотрении популяционной динамики выглядят следующим образом:

· скорость размножения популяции пропорциональна её текущей численности, при прочих равных условиях

· скорость размножения популяции пропорциональна количеству доступных ресурсов, при прочих равных условиях. Таким образом, второй член уравнения отражает конкуренцию за ресурсы, которая ограничивает рост популяции.

Обозначая через численность популяции (в экологии часто используется обозначение ), а время — , модель сводится к дифференциальному уравнению:

,

где параметр характеризует скорость роста (размножения), а — поддерживающую ёмкость среды (то есть, максимально возможную численность популяции). Исходя из названия коэффициентов, в экологии часто различают[ уточнить ] две стратегии поведения видов:

· -стратегия предполагает бурное размножение и короткую продолжительность жизни особей

· а -стратегия — низкий темп размножения и долгую жизнь.

Логистическая кривая для K =1 и P 0=0,5

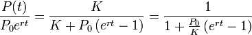
Точным решением уравнения (где — начальная численность популяции) является логистическая функция, S-образная кривая, (логистическая кривая):

где

Ясно, что в ситуации «достаточного объёма ресурсов», то есть пока P (t) много меньше K, логистическая функция поначалу растёт приблизительно экспоненциально:

Аналогично, при «исчерпании ресурсов» (t → ∞) разность экспоненциально убывает с таким же показателем.

Почему Ферхюльст назвал уравнение логистическим, остается неизвестным. В 1924 году Раймонд Перл применил уравнение для описания автокаталитических реакций.

Дискретным аналогом логистического уравнения является логистическое отображение.

Модель мобилизации. Под термином "политическая" или "социальная мобилизация" понимается вовлечение людей в партию или в число ее сторонников, обращение в какую-либо веру, участие в данном движении (борьба за мир, экология, здоровье и т.д.). Текущий уровень мобилизации тесно связан с прошлым уровнем, а будущая мобилизация зависит от сегодняшних успехов пропагандистской кампании. Используя простейшую динамическую модель, попытаемся отразить логику изменений уровня мобилизации между двумя соседними моментами времени [23].

Обозначим через Мt долю мобилизованного населения в момент t, тогда доля немобилизованного населения равна 1 - Мt. Пусть ΔМtобозначает изменение уровня мобилизации за единицу времени (год, месяц и т.д.):

ΔMt = Mt+1 - Mt.

За время от t до t + 1 уровень мобилизации может измениться по двум причинам: 1) удалось дополнительно сагитировать часть населения g (1 - Мt), где g - коэффициент агитируемости, константа, не зависящая от времени; 2) часть населения, выбывающая из числа членов, участников, сторонников, равна t, где f - постоянный коэффициент выбытия (g ≥ 0, f ≥ 0). Параметры g и f выражают пропорции, в которых соответствующие части населения меняют свое поведения на рассматриваемом отрезке времени.


Тогда уравнение процесса мобилизации можно записать следующим образом:

 

Mt - 1 - Mt, = g(1 - Mt) - fMt. (12.5)

Уравнение (12.5) может быть преобразовано следующим образом:

Mt+l = g + (1 - f - g)Mt, (12.6)

т.е. приведено к виду

Mt+1 = a0 + a1Mt, (12.7)

который является стандартной формой линейного разностного уравнения первого порядка с постоянными коэффициентами.

Решением уравнения (12.7) называется такая функция M(t), что последовательность Мt удовлетворяет этому уравнению для заданной области значений t.

Уравнение (12.7) является простейшим и легко может быть решено алгебраическими методами. В общем случае решение данного уравнения имеет вид

Mt =

a0 (1 - a1t)
1 - a1

+ a1tM0 для a1 ≠ 1 (12.8)

Mt = ta0 + M0 для а1 = 1.

Таким образом, решение уравнения (12.7) однозначно определяется начальным значением M0.

Равновесие и устойчивость. Одно из присущих человеку качеств - стремление к стабильности - формализуется в теории динамических систем с помощью понятия равновесия.

Равновесие - состояние системы, в котором интересующие исследователя параметры остаются неизменными: Мt+1 = Mt, причем это не означает, что жизнь в системе вообще замирает. В рамках модели мобилизации предположение о постоянстве Мt не свидетельствует об отсутствия изменений среди сторонников данной партии (часть уезжает, умирает, других партии удается привлечь на свою сторону), но общее соотношение остается примерно постоянным.

Для определения точки равновесия системы М* подставим условие Мt+1 = Мt в уравнение (12.5), в результате чего получим

 

Следовательно,

g = (1 - М*) - fM*. (12.9)

М* +g / (1 + a1).

Легко показать, что для уравнения (12.7) состояние равновесия вычисляется следующим образом:

М * = a 0/(1 - a 1). (12.10)

Из соотношения (12.8) можно установить, что существуют только варианты поведения решения, изображенные на рис. 12.1 [23]. Вариант I описывает монотонную сходимость к состоянию равновесия (при a 1 > 0 и | a l | < 1); вариант II - осциллирующую сходимость к состоянию равновесия (при а 1 < 0 и | а 1 | < 1); вариант III - монотонную расходимость (при a 1 > 0 и | a l | > 1); вариант IV - осциллирующую расходимость (при а 1 < 0 и | a 1 |> 1).


Рис. 12.1. Качественное поведение решений уравнения (12.7)

По определению, варианты I и II характеризуют устойчивую систему - все решения сходятся к положению равновесия независимо

от значений М0 и a0, а варианты III и IV - неустойчивую систему.

Оценка параметров динамической модели. Модель мобилизации использовалась для изучения динамики числа голосов, поданных за демократическую партию США в Лэйк Кантри (штат Индиана) в период 1920-1968 гг. [23].

Для оценки численных значений коэффициентов а0, а1 модели применялся метод наименьших квадратов. Разностное уравнение (12.7) рассматривалось как линейное регрессионное уравнение у = т0 + т1 х, где у = М t+1 - доля избирателей в Лэйк Кантри, голосующих за кандидатов от демократической партии в год t + 1 = 1924, 1928,..., 1968; х = Mt - доля голосующих за демократов в год t = 1920, 1924,..., 1964.


С помощью метода наименьших квадратов в [23] получены следующие значения коэффициентов: т0 = 0,14; т1 = 0,62. По формуле (12.10) вычисляем состояние равновесия:

Mˆ =

m0ˆ = 1 - m1ˆ
0,14 1 - 0,62

= 0,37

На рис. 12.2, а изображен график наблюдаемых значений Mt, а на рис. 12.2,б - график решения разностного уравнения (12.7) при М 0= М 1920.


Рис. 12.2. Динамика голосующих за демократов на президентских выборах в Лэйк Кантри (1920-1968)

Сравнение графиков на рис. 12.2, а и б показывает, что разностное уравнение достаточно хорошо описывает качественные характеристики процесса мобилизации. Ясно, что данная модель является чрезвычайно упрощенной, реалистические модели требуют учета большого числа факторов и нелинейных соотношений, однако для понимания поведения систем иногда достаточно изучить простые варианты модели.

 







Date: 2015-07-17; view: 850; Нарушение авторских прав



mydocx.ru - 2015-2026 year. (1.105 sec.) Все материалы представленные на сайте исключительно с целью ознакомления читателями и не преследуют коммерческих целей или нарушение авторских прав - Пожаловаться на публикацию