Главная Случайная страница


Полезное:

Как сделать разговор полезным и приятным Как сделать объемную звезду своими руками Как сделать то, что делать не хочется? Как сделать погремушку Как сделать так чтобы женщины сами знакомились с вами Как сделать идею коммерческой Как сделать хорошую растяжку ног? Как сделать наш разум здоровым? Как сделать, чтобы люди обманывали меньше Вопрос 4. Как сделать так, чтобы вас уважали и ценили? Как сделать лучше себе и другим людям Как сделать свидание интересным?


Категории:

АрхитектураАстрономияБиологияГеографияГеологияИнформатикаИскусствоИсторияКулинарияКультураМаркетингМатематикаМедицинаМенеджментОхрана трудаПравоПроизводствоПсихологияРелигияСоциологияСпортТехникаФизикаФилософияХимияЭкологияЭкономикаЭлектроника






Якісні показники розвитку націона­льної економіки





Якісні показники є похідними від показників обсягу і характеризують рівень ефективності використання на­явних ресурсів (трудових, фінансових, матеріальних). Узагаль­нюючим показником ефективності є відношення результату до затрат:

Ø ефективність використання трудових ресурсів обчислю­ється за допомогою показника продуктивності праці;

Ø показником ефективності використання капіталу є фондо­віддача;

Ø ефективність використання матеріальних ресурсів розра­ховується на основі матеріалоємності.

Крім економічної ефективності якісною характеристикою ро­звитку економічної системи є соціальна ефективність, яка ви­значається рівнем розвитку людського капіталу та умовами його відтворення. Формування умов для відтворення людського капі­талу, для стимулювання до отримання та примноження набутих знань, навичок, підвищення кваліфікації, реалізації творчих зді­бностей забезпечується зростанням загального рівня заробітної плати, інвестицій в освіту, науку, охорону здоров'я.

Досвід еко­номічно розвинутих країн, які вийшли на постіндустріальну тра­єкторію свого розвитку, підтверджує, що основою конкурентос­проможності на цьому етапі є інновації, а єдиним їх продуцен­том та реалізатором людина, творчі та репродуктивні здібності якої і визначають якість економічного розвитку.

Для оцінки структури окремих елементів економічної системи показники, обчислені в абсолютних одиницях виміру (об'ємних, вартісних) подаються в порівнюваному вигляді або розраховуються як пи­тома частка від цілого. Наприклад: структура споживчого попи­ту України характеризується наступними даними: товари корот­кострокового використання - 76,5%, товари довгострокового ви­користання - 1,2%, послуги - 22,3%. В США відповідні показ­ники - 14%, 32%, 54%. Структурні співвідношення промислово­сті України: добувна промисловість 12,8%, обробна промисловість 71,0%, виробництво та розподілення електроенергії газу та води 16,2%. Прогнозування обсягів і динаміки структурних показників має за мету охарактеризувати вплив структурних змін на розвиток економічної системи.

Показники динаміки характеризують тенденції соціально-економічного розвитку. Розвиток, як відомо, не тотожний зрос­танню і характеризується зміною якісних і кількісних параметрів економічної системи, які визначаються за допомогою об'ємних, якісних і структурних показників. Розрахунки динаміки соціаль­но-економічних процесів здійснюються на основі побудованих динамічних рядів - послідовно розташованих у хронологічному порядку значень того чи іншого показника. Застосовуються на­ступні показники динаміки:

Абсолютні показники:

Ø абсолютний базисний приріст ;

Ø абсолютний ланцюговий приріст ;

Ø прискорення (різниця між теперішнім і минулим при­ростом)

;

Відносні показники:

Ø базисний коефіцієнт зростання (базисний темп зростання) розраховується діленням рівнів ряду на той самий рівень,
який обирається за базу порівняння уn. Частіше всього це
початковий рівень Kt(зр.б.) = уt / у1;

Ø ланцюговий коефіцієнт зростання (ланцюговий темп зрос­тання) розраховується діленням рівня ряду (уt) на попередній рівень (уt-1)

Kt(пр.л.) = уt / уt-1;

Ø базисний коефіцієнт приросту виражає загальний при­ріст усіх рівнів часового ряду зіставлений з базисним рівнем y1

Kt(пр.б.) = (yt1) / у1;

Ø ланцюговий коефіцієнт приросту виражає відношення приросту сусідніх рівнів до абсолютного значення попереднього рівня

Kt(пр.л.) = (yt - уt-1) / уt-1;

 

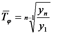
Середні показники:

Ø середня арифметична (середній рівень) ;

Ø середній абсолютний приріст

Ø середній темп зростання ;

Ø середній темп приросту ,

де у1 - перше (як правило, базисне) значення показника в ряду динаміки;

уt - поточне значення показника в ряду динаміки;

yt-1 - попереднє до поточного значення показника в ряду ди­наміки;

уn - останнє значення показника в ряду динаміки;

Показники динаміки, змінюючись, відображають тенденції розвитку економічних процесів і використовуються для прогно­зування соціально-економічного розвитку національної економі­ки та обґрунтування економічної політики.

 

З метою порівняння динаміки реальних обсягів виробництва у структурі національної економіки обчислюють реальний (у поточних цінах) та номінальний (у базових цінах) ВВП. Співвідношення між ними прийнято називати дефлятором ВВП.

Дефлятор ВВП = ВВП номінальний / ВВП реальний


Для більш глибокого аналізу комплексного розвитку національної економіки застосовують також ряд індексів та показників, що відображають системні зрушення у структурі національного господарства країни.

До них, наприклад, можна віднести:

· Індекс людського розвитку,

· Індекс вартості життя,

· Індекс промислових конкурентоспроможних компаній,

· Індекс технологічного розвитку,

· Індекс людського капіталу,

· Індекс інноваційних можливостей тощо.

Індекс людського розвитку - це спеціальний показник, що поєднує три складові (ВВП, грамотність і тривалість життя) та дає складну оцінку людського прогресу. На сьогоднішній день він модифікований у двох своїх видах: у показниках освіти та доходу (ВВП на душу населення).

Вважається, що країни з ІЛР менше 0,5 мають низький рівень людського розвитку; 0,6-0,8 - середній рівень; вище 0,8 - високий рівень розвитку.

Індекс вартості життя - характеризує зміну цін на товари і послуги, якими користується населення країни. Застосовується для динаміки реальної заробітної плати у країні.

Індекс промислових конкурентоспроможних компаній - показник відносної конкурентоспроможності виробів національної промисловості, які експортуються в інші країни.

Індекс технологічного розвитку - показник, що відображає роль техніки та науки у розвитку економіки. Він враховує кількість зайнятого персоналу на НДДКР, кількість патентів та наукових публікацій у розрахунку на мільйон мешканців держави. В Україні цей показник зменшився на кінець 2005 початок 2006 року на 0,053 одиниці у порівнянні з 1995 роком і становив 0,600 (що відповідає 39 місцю серед інших країн світу). Це менше, ніж у Болгарії, Литві, Білорусі.

Індекс людського капіталу включає рівень грамотності + кількість людей, що мають середню освіту + кількість людей з вищою освітою (у відсотках від усього населення країни).

За розрахунками Світового Банку в Україні даний показник є досить високим - у 2005-2006 рр. він становив 0,810 або 27 місце серед інших країн світу, що більше, ніж, наприклад, у Німеччині чи Швейцарії. Даний факт пов'язаний, у першу чергу з тим, що в Україні відповідно до традицій СРСР освіті надається досить велика увага, оскільки людина визнається основним фактором інноваційного зростання.

Індекс інноваційних можливостей - інтегральний показник, що визначається як сума Індексу людського капіталу та Індексу технологічного розвитку нації.

Рівень експорту високотехнологічної продукції України становить лише 5% від загальної кількості промислових товарів раїни, тоді як у розвинених державах частка експорту високотехнологічної продукції іноді перевищує 60-80% від загальної кількості експорту промислових товарів.

Існує також комплексний індекс, розроблений Світовим банком, - Індекс економіки, що базується на знаннях. Він враховує такі групи показників, як: режими та форми економічних стимулів, рівень освіти в державі, інновації та інформаційну інфраструктуру.

 







Date: 2015-07-17; view: 547; Нарушение авторских прав



mydocx.ru - 2015-2026 year. (0.148 sec.) Все материалы представленные на сайте исключительно с целью ознакомления читателями и не преследуют коммерческих целей или нарушение авторских прав - Пожаловаться на публикацию