Главная Случайная страница


Полезное:

Как сделать разговор полезным и приятным Как сделать объемную звезду своими руками Как сделать то, что делать не хочется? Как сделать погремушку Как сделать так чтобы женщины сами знакомились с вами Как сделать идею коммерческой Как сделать хорошую растяжку ног? Как сделать наш разум здоровым? Как сделать, чтобы люди обманывали меньше Вопрос 4. Как сделать так, чтобы вас уважали и ценили? Как сделать лучше себе и другим людям Как сделать свидание интересным?


Категории:

АрхитектураАстрономияБиологияГеографияГеологияИнформатикаИскусствоИсторияКулинарияКультураМаркетингМатематикаМедицинаМенеджментОхрана трудаПравоПроизводствоПсихологияРелигияСоциологияСпортТехникаФизикаФилософияХимияЭкологияЭкономикаЭлектроника






Метод ветвей и границ





Одним из широко распространенных методов решения целочислен­ных задач является метод ветвей и границ, который может быть ис­пользован как для задач линейного программирования, так и для задач, не сводимых к задачам линейного программирования. Рассмотрим идею метода ветвей и границ на примере общей задачи дискретного про­граммирования

f(X) -> max, (7.9)

Х€D (7.10)

где D — конечное множество.

 

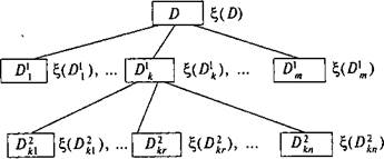
Сначала найдем оценку £(D) (границу) функции f(X), X е D: f(X) ≤ £(D) для V X е D. Если для некоторого плана Х° задачи (7.9)-(7.10) справедливо равенствоf(X0) = £(D), то Х° = X* является решением задачи. Если указанное условие не выполняется, то возмож­но разбиение (ветвление) множества D на конечное число непересека­ющихся подмножеств D1i: ỤD1i. = D, ∩D1i = Ө, и вычисление оценки £(D1i) (границ), 1≤i≤m (рис 7.1)

 

Рис. 7.1

 

 

Если для некоторого плана X1i е Di1, 1 ≤ / ≤ m выполняется условие f(Xkl)= £(D1k)≥ £(D1i), 1≤i≤m то Xk1=X* является оптимальным планом (решением) задачи (7.9)-(7.10).

Если такого плана нет, то выбирается подмножество Dkl с наиболь­шей оценкой £(D1i):

 

 

и разбивается на конечное число непересекающихся подмножеств

D2kj: UD2kj=D1k, ∩D2kj=Ө. Для каждого подмножества находится оценка £(D2kj), 1≤j≤n (рис 7.2)


(рис. 7.2).

 

(рис. 7.2).

Если при этом найдется план X2j е D2kJ, 1 ≤j ≤n, такой, что f(X2r)= £(D2kr)≥ £(D2kj), 1≤j≤n, то X2r= X* является решением задачи (7.9)-(7.10). Если такого плана нет, то процедуру ветвления осуществля­ют для множества D2kj с наибольшей оценкой £(D2kj), 1≤j≤n. Способ ветвления определяется спецификой конкретной задачи.

Рассмотрим задачу, которую можно свести к задаче целочисленного линейного программирования.

Пример.

Контейнер объемом 5 м3 помещен на контейнеровоз грузо­подъемностью 12 т. Контейнер требуется заполнить грузом двух наиме­нований. Масса единицы груза mj (в тоннах), объем единицы груза Vj (в м3), стоимости Cj (в условных денежных единицах) приведены в табл. 7.3.

Таблица 7.3

 

Вид груза у mj V, Сj
       
       

Требуется загрузить контейнер таким образом, чтобы стоимость пе­ревозимого груза была максимальной.

Решение. Математическая модель задачи имеет вид

Z(X) = 10x1+12x2→max, (7.11)

3x1+x2≤12,

x1+2x2≤5

x1≥0 (7.12)

x2≥0

x1, x2- целые числа (7.13)

 

где x1, x2 - число единиц соответственно первого и второго груза.

Множество планов этой задачи обозначим через D - это множество целых точек многогранника ОАВС (рис. 7.3).

Рис. 7.3

Сначала решаем задачу (7.11)—(7.13) без условия целочисленности, получим оценку множества D - значение функции Z(X) на оптималь­ном плане Х° = (19/5, 3/5):

ТочкаXнеявляется оптимальным планом задачи (7.1 1)— (7.13). По­этому в соответствии с методом ветвей и границ требуется разбить множество D на непересекающиеся подмножества. Выберем первую нецелочисленную переменную x1=19/5=34/5 и разобьем множество D на два непересекающихся подмножества D11 и D22. Линии x1=3 (L3) и x4= (L3) являются линиями разбиения.


L\

 

Рис. 7.4

 

Найдем оценки £(D11) и £(D12), для чего решим задачи линейного программирования

Z(X)=10x1+12x2→max,

 

3x1+x2≤12

x1+2x2≤5

x1≤3

x1≥0, x2 – целые числа

Z(X)=10x1+12x2→max,

3x1+ x2≤12

x1+2x2≤5

x1≥4

x1≥0, x2 – целые числа

 

 

Например, графическим методом:

X11eD11→X01= (3,1); £(D11)=42; X12eD12→X02= (4,0); £(D12)=40.

Результат ветвления приведен на рис. 7.5


Рис. 7.5

 

 

План X01 удовлетворяет условиям задачи (7.11)-(7.13), и для него выполняется условие: Z(X11)= £(D11)=42 >

£(/)/) = 42 >£(D12) = 40. Следовательно, план X°1= (3, 1) является решением задачи (7.11)-(7.13),

т.е. надо взять три единицы первого груза и одну единицу второго груза.

 

Алгоритм метода ветвей и границ

  1. Находим решение задачи линейного программирования без учета целочисленности.
  2. Составляет дополнительные ограничения на дробную компоненту плана.
  3. Находим решение двух задач с ограничениями на компоненту.
  4. Строим в случае необходимости дополнительные ограничения, согласно возможным четырем случаям получаем оптимальный целочисленный план либо устанавливаем неразрешимость задачи.

 








Date: 2015-07-17; view: 579; Нарушение авторских прав



mydocx.ru - 2015-2026 year. (0.844 sec.) Все материалы представленные на сайте исключительно с целью ознакомления читателями и не преследуют коммерческих целей или нарушение авторских прав - Пожаловаться на публикацию