Главная Случайная страница


Полезное:

Как сделать разговор полезным и приятным Как сделать объемную звезду своими руками Как сделать то, что делать не хочется? Как сделать погремушку Как сделать так чтобы женщины сами знакомились с вами Как сделать идею коммерческой Как сделать хорошую растяжку ног? Как сделать наш разум здоровым? Как сделать, чтобы люди обманывали меньше Вопрос 4. Как сделать так, чтобы вас уважали и ценили? Как сделать лучше себе и другим людям Как сделать свидание интересным?


Категории:

АрхитектураАстрономияБиологияГеографияГеологияИнформатикаИскусствоИсторияКулинарияКультураМаркетингМатематикаМедицинаМенеджментОхрана трудаПравоПроизводствоПсихологияРелигияСоциологияСпортТехникаФизикаФилософияХимияЭкологияЭкономикаЭлектроника






Очистка дымовых газов от диоксидов серы





Очистка уходящих газов котлов от сернистых соединений затруднительна из за слишком больших объемов очищаемых газов и слишком малого (0,1–0,3 % по объему) содержания в них окислов серы.

Технологически различают сухие и мокрые методы очистки дымовых газов от сернистых соединений. В качестве поглотителей при мокрых методах применяются водные растворы (суспензии) веществ, переводящих окислы серы в сернокислые или сернистокислые соли.

Сухие методы основаны на вводе в дымовые газы сухого реагента втонкодиспергированном (размолотом) виде. Так как в твердом веществе не происходит перемешивание, хемосорбция происходит только на поверхности частиц. Поэтому внутри частиц всегда остается большое количество непрореагировавшего реагента. Однако с увеличением степени измельчения усложняется схемаего приготовления, увеличиваются капитальные и эксплуатационныерасходы. Существуют два направления сухой очистки:

· получение реагента из вводимого в дымовые газы вещества с последующим взаимодействием полученного реагента с SO2;

· ввод в дымовые газы готового реагента, который сразу начинает

связывать SO2.

В первом случае в качестве реагента применяется известняк, который под воздействием высоких температур разлагается на CaO и СO2, во втором случае – известь Ca(OH) 2 и сода NaOH. Наиболее простая сухая известняковая технология очистки дымовых газов от SO2 предполагает ввод размолотого известняка (извести) в топливо или подачу в горелки.

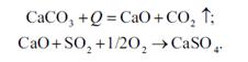
Хорошие результаты были получены при вводе известняка в верхнюю часть топки. Этот способ именуется сухой известняковой технологией (СИТ). При температуре 1000–1100 С происходит обжиг тонко размолотого известняка в топочной камере до образования активной извести с последующим ее взаимодействием с диоксидом серы. Основные химические реакции этой технологии:

Схема установки сероочистки СИТ, рекомендованная УралВТИ показана на рис. 2.19.

Установка работает следующим образом. Размолотый известняк из стационарной силосной башни 1 подают в расходный бункер 2, а из него – в верхнюю часть топочной камеры, где имеется зона с температурой дымовых газов 1000–1100 С. Частицы известняка при этой температуре разлагаются с образованием извести, которая взаимодействует с SO2 при температуре газов около 850 С. При температуре газов приблизительно 500 С связывание диоксида серы прекращается, и летучая смесь золы с отходами сероочистки уходит с дымовыми газами в золоуловитель. В результате реакции образуется безводный гипс (ангидрид). Наличие в продуктах сгорания безводного гипса может привести к образованию в скрубберах пылеуловителях трудноудаляемых отложений, поэтому необходимо обеспечивать точный химический баланс в золоуловителях.

Отходами в этой технологии является смесь золы с безводным гипсом и оксидом кальция, которые можно применить для дорожного строительства или заполнения земельных неудобиц. Применение СИТ имеет ряд особенностей:

· в ней можно использовать известняк любой степени кристаллизации, включая отходы кристаллизованного известняка и мраморного производства;

· ввод в дымовые газы известняка изменяет химический состав золы и снижает в результате этого температуру начала деформации золы, что может привести к увеличению шлакования поверхностей нагрева;

· известь реагирует с триоксидом серы SO3 так, что температура сернокислотной точки росы снижается. Уменьшение температуры точки росы сказывается на работе котельной установки двояко: во первых, это позволяет снизить температуру уходящих газов и тем самым частично компенсировать затраты на сероочистку; во вторых, электрофизические свойства дымовых газов ухудшаются, что особенно важно при использовании на котле электрофильтра, поскольку в этом аппарате возможно появление обратной короны.

В сухой известковой технологии используется тонко размолотая не гашеная CaO или гашеная Ca(OH) 2 известь, которую вводят перед конвективной шахтой котла в зону температур примерно 850 С. В результате протекающих реакций получают безводный или полуводный гипс:

Применение извести оказывает такое же влияние на работу электрофильтров и скрубберов. Кроме того, известь дороже известняка.

Сухая содовая технология может применяться для очистки кислых дымовых газов. Сода является весьма активным, но дорогостоящим реагентом. Связывание SO2 происходит по химической реакции

Кроме SO2, сода нейтрализует и другие кислые компоненты дымовых газов – хлорид HCl и фторид HF водорода по реакциям.

Установка газоочистки состоит из сухого абсорбера, установленного перед рукавным фильтром. Вводимая в дымовые газы размолотая сода связывает кислые компоненты, образовавшиеся твердые отходы и летучая зола улавливаются фильтрующим материалом рукавных фильтров. Причем реакция связывания продолжается в осажденном слое в течение межрегенерационного периода рукавов.







Date: 2015-07-17; view: 1493; Нарушение авторских прав



mydocx.ru - 2015-2026 year. (0.629 sec.) Все материалы представленные на сайте исключительно с целью ознакомления читателями и не преследуют коммерческих целей или нарушение авторских прав - Пожаловаться на публикацию