Главная Случайная страница


Полезное:

Как сделать разговор полезным и приятным Как сделать объемную звезду своими руками Как сделать то, что делать не хочется? Как сделать погремушку Как сделать так чтобы женщины сами знакомились с вами Как сделать идею коммерческой Как сделать хорошую растяжку ног? Как сделать наш разум здоровым? Как сделать, чтобы люди обманывали меньше Вопрос 4. Как сделать так, чтобы вас уважали и ценили? Как сделать лучше себе и другим людям Как сделать свидание интересным?


Категории:

АрхитектураАстрономияБиологияГеографияГеологияИнформатикаИскусствоИсторияКулинарияКультураМаркетингМатематикаМедицинаМенеджментОхрана трудаПравоПроизводствоПсихологияРелигияСоциологияСпортТехникаФизикаФилософияХимияЭкологияЭкономикаЭлектроника






Варіант. Завдання 1 – 5 мають по чотири варіанти відповіді, з яких тільки одна правильна





І частина (5 балів)

Завдання 1 – 5 мають по чотири варіанти відповіді, з яких тільки одна правильна. Оберіть правильну, на Вашу думку, відповідь. Правильне розв’язання кожного завдання оцінюється одним балом.

1. Василь складає пропорцію з чисел 3; 4; 15; 20. Яка з рівностей є
правильною пропорцією?

А) 3: 15 = 20: 4; Б) 20: 3 = 15: 4;

В) 3: 20 = 4: 15; Г) 15: 3 = 20: 4.

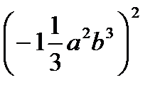
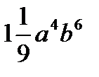
2. Запишіть одночлен у стандартному вигляді .

А) ; Б) ; В) ; Г) .

3. Спростіть вираз .

А) Б) В) ; Г) .

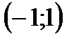
4. Розв’яжіть систему рівнянь .

А) ; Б) ; В) ; Г) розв’язку не існує.

5. Запишіть формули для обчислення периметра і площі фігури ABCD, зображеної на малюнку.

 


А) Б)

В) Г) ; .

 

ІІ частина (4 бали)

Розв’язання завдань 6 – 7 може мати короткий запис без обґрунтування. Правильне розв’язання кожного завдання оцінюється двома балами.

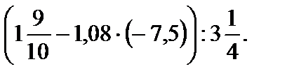
6. Виконайте дії

7. Розв’яжіть рівняння + =2.

 

ІІІ частина (3 бали)

Розв’язання 8 завдання повинно мати обґрунтування. Потрібно записати послідовні логічні дії та пояснення. Правильне розв’язання завдання оцінюється трьома балами.

 

8. Скільки грамів десятивідсоткового і скільки грамів п'ятнадцятивідсоткового розчинів солі треба взяти, щоб отримати 40 г дванадцятивідсоткового розчину?








Date: 2015-04-23; view: 625; Нарушение авторских прав



mydocx.ru - 2015-2026 year. (0.548 sec.) Все материалы представленные на сайте исключительно с целью ознакомления читателями и не преследуют коммерческих целей или нарушение авторских прав - Пожаловаться на публикацию