Главная Случайная страница


Полезное:

Как сделать разговор полезным и приятным Как сделать объемную звезду своими руками Как сделать то, что делать не хочется? Как сделать погремушку Как сделать так чтобы женщины сами знакомились с вами Как сделать идею коммерческой Как сделать хорошую растяжку ног? Как сделать наш разум здоровым? Как сделать, чтобы люди обманывали меньше Вопрос 4. Как сделать так, чтобы вас уважали и ценили? Как сделать лучше себе и другим людям Как сделать свидание интересным?


Категории:

АрхитектураАстрономияБиологияГеографияГеологияИнформатикаИскусствоИсторияКулинарияКультураМаркетингМатематикаМедицинаМенеджментОхрана трудаПравоПроизводствоПсихологияРелигияСоциологияСпортТехникаФизикаФилософияХимияЭкологияЭкономикаЭлектроника






от 12 ноября 2013 г. N 533





НОРМЫ

БРАКОВКИ ЭЛЕМЕНТОВ РЕЛЬСОВЫХ ПУТЕЙ ОПОРНЫХ И ПОДВЕСНЫХ

ПОДЪЕМНЫХ СООРУЖЕНИЙ

 

Рельсовый путь опорных ПС на рельсовом ходу подлежит браковке при наличии следующих дефектов и повреждений:

трещин и сколов рельсов любых размеров;

вертикального, горизонтального или приведенного (вертикального плюс половина горизонтального) износа головки рельса более 15% от соответствующего размера неизношенного профиля.

Браковку шпал (или полушпал) наземного кранового пути производят при наличии следующих дефектов и повреждений:

в железобетонных шпалах не должно быть сколов бетона до обнажения арматуры, а также иных сколов бетона на участке длиной более 250 мм;

в железобетонных шпалах не должно быть сплошных опоясывающих или продольных трещин длиной более 100 мм с раскрытием более 0,3 мм;

в деревянных полушпалах не должно быть излома, поперечных трещин глубиной более 50 мм и длиной свыше 200 мм, поверхностной гнили размером более 20 мм под накладками и более 60 мм на остальных поверхностях.

Монорельсовый путь подвесных кранов, электрических талей и монорельсовых тележек подлежит браковке при наличии:

трещин и выколов рельсов любых размеров;

уменьшения ширины пояса рельса вследствие износа ;

уменьшения толщины полки рельса вследствие износа при одновременном отгибе полки .

 

 

Рисунок. Схема проведения измерений величин износа и отгиба полки монорельса при проведении его дефектации:

B - первоначальная ширина полки; - износ полки; t - толщина стенки;

- отгиб полки; - первоначальная толщина полки на расстоянии (B-t)/4 от края;

- уменьшение толщины полки вследствие износа.

 


 

Приложение N 4

к Федеральным нормам и правилам

в области промышленной безопасности

"Правила безопасности опасных

производственных объектов,

на которых используются подъемные

сооружения", утвержденным

приказом Федеральной службы

по экологическому, технологическому

и атомному надзору

от 12 ноября 2013 г. N 533

 

НОРМЫ БРАКОВКИ СТАЛЬНЫХ КАНАТОВ ПОДЪЕМНЫХ СООРУЖЕНИЙ

 

Для оценки безопасности использования канатов применяют следующие критерии:

а) характер и число обрывов проволок (рисунки 1 - 3), в том числе наличие обрывов проволок у концевых заделок, наличие мест сосредоточения обрывов проволок, интенсивность возрастания числа обрывов проволок;

б) разрыв пряди;

в) поверхностный и внутренний износ;

г) поверхностная и внутренняя коррозия;

д) местное уменьшение диаметра каната, включая разрыв сердечника;

е) уменьшение площади поперечного сечения проволок каната (потери внутреннего сечения);

ж) деформация в виде волнистости, корзинообразности, выдавливания проволок и прядей, раздавливания прядей, заломов, перегибов;

з) повреждения в результате температурного воздействия или электрического дугового разряда.

 

 

Рисунок 1. Обрывы и смещения проволок каната крестовой

свивки

 

 

Рисунок 2. Сочетание обрывов проволок с их износом:

а - в канате крестовой свивки; б - в канате

односторонней свивки

 

 

Рисунок 3. Обрывы проволок в зоне уравнительного блока:

а - в нескольких прядях каната; б - в двух прядях

в сочетании с местным износом

 

2. Браковка канатов, работающих со стальными и чугунными блоками, должна производиться по числу обрывов проволок в соответствии с таблицей 1 и рисунком 4.

Канаты кранов, предназначенных или используемых для подъема людей, для перемещения расплавленного или раскаленного металла, огнеопасных и ядовитых веществ, бракуют при вдвое меньшем числе обрывов проволок.

3. При уменьшении диаметра каната в результате поверхностного износа (рисунок 5) или коррозии (рисунок 6) на 7 процентов и более по сравнению с номинальным диаметром канат подлежит браковке даже при отсутствии видимых обрывов проволок.

При уменьшении диаметра каната в результате повреждения сердечника - внутреннего износа, обмятая, разрыва (на 3 процента от номинального диаметра у некрутящихся канатов и на 10 процентов у остальных канатов) канат подлежит браковке даже при отсутствии видимых обрывов проволок (рисунок 7).


 

Приложение N 5

к Федеральным нормам и правилам

в области промышленной безопасности

"Правила безопасности опасных

производственных объектов,

на которых используются подъемные

сооружения", утвержденным

приказом Федеральной службы

по экологическому, технологическому


и атомному надзору

от 12 ноября 2013 г. N 533

 

ПОРЯДОК

ПРОВЕДЕНИЯ ИСПЫТАНИЙ СТРЕЛОВЫХ КРАНОВ

НА ГРУЗОВУЮ УСТОЙЧИВОСТЬ

 

1. Испытания на грузовую устойчивость проводят с целью проверки устойчивости крана. Кран считается выдержавшим испытание, если не произойдет его опрокидывания при статическом приложении нагрузки на крюке.

2. При испытании на устойчивость стреловых самоходных кранов испытательную нагрузку определяют по формуле

 

; (1)

 

где ( или ) - вес стрелы G или вес гуська g, приведенный к оголовку стрелы или гуська, кН;

P - масса груза, равная номинальной грузоподъемности крана, умноженная на ускорение свободного падения, кН.

Если вес стрелы G велик и гусек предназначен для сравнительно небольших грузов, то испытания на устойчивость не следует проводить по формуле 1 с испытательным грузом, поднятым на оголовке гуська.

В этом случае требования к устойчивости должны быть проверены путем расчета.

Примечание. Значение 1,25P может изменяться в тех случаях, где требуются более высокие значения.

 

На рисунке 1 показан вид сбоку типичного крана с обозначениями рассматриваемых параметров:

L и l - длины стрелы и гуська (для телескопических стрел длина рассматриваемой стрелы), в метрах;

X, Y и x, y - координаты центра тяжести стрелы и гуська, в метрах;

j и k - вылеты стрелы и гуська, в метрах;

m, n - вылет центра тяжести для стрелы и гуська, в метрах.

 

 

Рисунок 1. Обозначение параметров для определения испытания

кранов на устойчивость

 

рассчитывают по формуле:

 

; кН (1)

 

Для кранов, оборудованных только стрелой

 

k = n = g = 0 и ; кН

 

Для кранов, оборудованных стрелой и гуськом, если груз поднимается на оголовке стрелы

 

k = 0 и ; кН,

 

если груз поднимается на оголовке гуська

 

; кН

 

Примечание. Значения P, G, g и координаты центров тяжести X, Y, x, y должны быть установлены в технической документации крана для каждого значения L и l.


 

Приложение N 6

к Федеральным нормам и правилам в области промышленной безопасности

"Правила безопасности опасных производственных объектов, на которых используются подъемные сооружения", утвержденным приказом Федеральной службы по экологическому, технологическому и атомному надзору от 12 ноября 2013 г. N 533

 

ОПРЕДЕЛЕНИЕ

ГРУППЫ КЛАССИФИКАЦИИ МЕХАНИЗМА ПОДЪЕМНОГО СООРУЖЕНИЯ

 

Если в паспорте ПС не указана группа классификации его механизма, то она определяется расчетом исходя из выбора соответствующего класса использования механизма согласно данным, приведенным в таблице 1, и режима нагружения механизма согласно данным, приведенным в таблице 2.

 

1. Класс использования механизма

Класс использования механизма характеризуется предполагаемой общей продолжительностью эксплуатации в часах и номинальными классами, приведенными в таблице 1.

Максимальную общую продолжительность эксплуатации определяют исходя из предполагаемого среднего суточного времени использования в часах, числа рабочих дней в году и ожидаемого срока службы в годах.

Для классификации установлено под временем работы механизма время, в течение которого данный механизм находился в движении.


 

Таблица 1

Класс использования механизма

Класс использования Общая продолжительность испытания, часы Примечание
  Нерегулярное использование
   
   
   
  Регулярное использование в легких условиях
  Регулярное использование с перерывами
  Регулярное интенсивное использование
  Интенсивное использование
   
   

 

2. Режим нагружения

Режим нагружения определяет относительную длительность, с которой механизм подвергается действию максимальной или пониженной нагрузки. В таблице 2 приведены номинальные коэффициенты распределения нагрузок в зависимости от режимов нагружения механизма.

 

Таблица 2

 

Номинальные коэффициенты распределения нагрузок

механизмов

 

Режим нагружения Номинальный коэффициент распределения нагрузки Примечание
L1 - легкий 0,125 Механизмы, подвергаемые действию малых нагрузок регулярно, наибольших нагрузок редко
L2 - умеренный 0,25 Механизмы, подвергаемые действию умеренных нагрузок регулярно, наибольших нагрузок довольно часто
L3 - тяжелый 0,50 Механизмы, подвергаемые действию больших нагрузок регулярно, наибольших нагрузок часто
L4 - весьма тяжелый 1,00 Механизмы, подвергаемые действию наибольших нагрузок регулярно

 

Коэффициент распределения нагрузки для механизма вычисляют по формуле:

 

;

 

где - средняя продолжительность использования механизма при частных уровнях нагрузки - ,

- общая продолжительность при всех частных уровнях нагрузки, ;

- значение наибольшей нагрузки, приложенной к механизму;

m - 3.

Номинальные значения коэффициента нагрузки для механизма устанавливают по таблице 2 (принимается ближайшее большее значение).

4.3. Определение группы классификации механизма в целом. Установив класс использования и режим нагружения, по таблице 3 определяют группу классификации данного механизма в целом.

 

Таблица 3

 

Группы классификации (режима) механизмов в целом

 

Режим нагружения Коэффициент распределения нагрузки Класс использования
общая продолжительность использования, часов
                   
L1 - легкий 0,125     М1 М2 М3 М4 М5 М6 М7 М8
L2 - умеренный 0,250   М1 М2 М3 М4 М5 М6 М7 М8  
L3 - тяжелый 0,500 М1 М2 М3 М4 М5 М6 М7 М8    
L4 - весьма тяжелый 1,000 М2 М3 М4 М5 М6 М7 М8      

 



 

Приложение N 7

к Федеральным нормам и правилам

в области промышленной безопасности

"Правила безопасности опасных

производственных объектов,

на которых используются подъемные

сооружения", утвержденным

приказом Федеральной службы

по экологическому, технологическому

и атомному надзору

от 12 ноября 2013 г. N 533

 

НОРМЫ

БРАКОВКИ КАНАТНЫХ И ЦЕПНЫХ СТРОПОВ, А ТАКЖЕ ТЕКСТИЛЬНЫХ

СТРОПОВ НА ПОЛИМЕРНОЙ ОСНОВЕ

 

Канатный строп из стальных канатов подлежит браковке, если число видимых обрывов наружных проволок каната превышает указанное в таблице.

 

Стропы из канатов двойной свивки Число видимых обрывов проволок на участке канатного стропа длиной
3d 6d 30d
     

 

Примечание. d - диаметр каната, в миллиметрах.

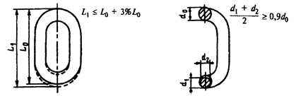
Цепной строп подлежит браковке при удлинении звена цепи более 3 процентов от первоначального размера (рисунок 1) и при уменьшении диаметра сечения звена цепи вследствие износа более 10 процентов (рисунок 2).

 

Рисунок 1. Увеличение звена цепи - первоначальная длина звена, мм - увеличенная длина звена, мм   Рисунок 2. Уменьшение диаметра сечения звена цепи: - первоначальный диаметр, в миллиметрах; , - фактические диаметры сечения звена, измеренные во взаимно перпендикулярных направлениях, мм

При осмотре текстильных стропов на полимерной основе необходимо обратить внимание на состояние лент, швов, крюков, скоб, замыкающих устройств, обойм, карабинов и мест их креплений. Стропы не должны допускаться к работе, если:

отсутствует клеймо (бирка) или не читаются сведения о стропе, которые содержат информацию об изготовителе, грузоподъемности;

имеются узлы на несущих лентах стропов;

имеются поперечные порезы или разрывы ленты независимо от их размеров;

имеются продольные порезы или разрывы ленты, суммарная длина которых превышает 10 процентов длины ленты ветви стропа, а также единичные порезы или разрывы длиной более 50 миллиметров;

имеются местные расслоения лент стропа (кроме мест заделки краев лент) на суммарной длине более 0,5 метра на одном крайнем шве или на двух и более внутренних швах, сопровождаемые разрывом трех и более строчек шва;

имеются местные расслоения лент стропа в месте заделки краев ленты на длине более 0,2 метра на одном из крайних швов или на двух и более внутренних швах, сопровождаемые разрывом трех и более строчек шва, а также отслоение края ленты или сшивки лент у петли на длине более 10 процентов длины заделки (сшивки) концов лент;

имеются поверхностные обрывы нитей ленты общей длиной более 10 процентов ширины ленты, вызванные механическим воздействием (трением) острых кромок груза;

имеются повреждения лент от воздействия химических веществ (кислоты, щелочи, растворителя, нефтепродуктов) общей длиной более 10 процентов ширины ленты или длины стропа, а также единичные повреждения более 10 процентов ширины ленты и длиной более 50 миллиметров;

присутствует выпучивание нитей из ленты стропа на расстояние более 10 процентов ширины ленты;

имеются сквозные отверстия диаметром более 10 процентов ширины ленты от воздействия острых предметов;

имеются прожженные сквозные отверстия диаметром более 10 процентов ширины ленты от воздействия брызг расплавленного металла или наличие трех и более отверстий при расстоянии между ними менее 10 процентов ширины ленты независимо от диаметра отверстий;

имеется загрязнение лент (нефтепродуктами, смолами, красками, цементом, грунтом) более 50 процентов длины стропа;

присутствует совокупность всех вышеперечисленных дефектов на площади более 10 процентов ширины и длины стропа;

присутствует размочаливание или износ более 10 процентов ширины петель стропа.

Запрещается эксплуатация стропов со следующими дефектами и повреждениями металлических элементов (колец, петель, скоб, подвесок, обойм, карабинов, звеньев):

трещинами любых размеров и расположения;

износом поверхности элементов или наличием местных вмятин, приводящих к уменьшению площади поперечного сечения на 10 процентов и более;

наличием остаточных деформаций, приводящих к изменению первоначального размера элемента более чем на 3 процента;

повреждением резьбовых соединений и других креплений.


 

Приложение N 8

к Федеральным нормам и правилам

в области промышленной безопасности

"Правила безопасности опасных

производственных объектов,

на которых используются подъемные

сооружения", утвержденным

приказом Федеральной службы

по экологическому, технологическому

и атомному надзору

от 12 ноября 2013 г. N 533

 

ПРЕДЕЛЬНЫЕ ВЕЛИЧИНЫ

ОТКЛОНЕНИЙ РЕЛЬСОВОГО ПУТИ ОТ ПРОЕКТНОГО ПОЛОЖЕНИЯ В ПЛАНЕ

И ПРОФИЛЕ

Отклонение, мм Графическое представление отклонения Тип кранов
мостовые башенные козловые портальные мостовые перегружатели
Разность отметок головок рельсов в одном поперечном сечении , мм S - размер колеи (пролет)   45 - 60      
Разность отметок рельсов на соседних колоннах , мм   - - - -
Сужение или расширение колеи рельсового пути (отклонение размера пролета - S в плане)          
Взаимное смещение торцов стыкуемых рельсов в плане и по высоте          
Зазоры в стыках рельсов при температуре 0 °C и длине рельса 12,5 м  
Разность высотных отметок головок рельсов на длине 10 м кранового пути (общая) -        
               

 

Примечания.

1. Измерения отклонений и выполняют на всем участке возможного движения ПС через интервалы не более 5 м.

2. При изменении температуры на каждые 10 °C устанавливаемый при устройстве зазор изменяют на 1,5 мм, например при температуре плюс 20 °C установленный зазор между рельсами должен быть равен 3 мм, а при температуре минус 10 °C - 7,5 мм.

3. Величины отклонений для козловых кранов пролетом 30 м и более принимают, как для кранов-перегружателей.

4. При установке импортного ПС, величина отклонения - должна быть приведена в соответствие с фактическим зазором между ребордами его ходовых колес (или направляющими роликами, при безребордных колесах) и головкой рельса. Если, например, этот зазор составляет 15 мм, то отклонение должно быть принято равным 7,5 мм.

 

Таблица 1

 

Число обрывов проволок, при наличии которых

бракуются стальные канаты ПС, работающие со стальными

и чугунными блоками

 

Число несущих проволок в наружных прядях Конструкции канатов Тип свивки Группа классификации (режима) механизма
М1, М2, М3 и М4 М5, М6, М7 и М8
Крестовая свивка Односторонняя свивка Крестовая свивка Односторонняя свивка
на участке длиной
6d 30d 6d 30d 6d 30d 6d 30d
N 50 6 x 7(6 / 1)                  
6 x 7(1 + 6) + 1 x 7(1 + 6) ЛК-О
6 x 7(1 + 6) + 1 о.с. ЛК-О
8 x 6(0 + 6) + 9 о.с. ЛК-О
51 N 75 6 x 19(9 / 9 / 1)*                  
6 x 19(1 + 9 + 9) + 1 о.с. ЛК-О
6 x 19(1 + 9 + 9) + 7 x 7(1 + 6)* ЛК-О
76 N 100 18 x 7(1 + 6) + 1 о.с. ЛК-О                
101 N 120 8 x 19(9 / 9 / 1)*                  
6 x 19(12 / 6 / 1)  
6 x 19(12 / 6 + 6F / 1)  
6 x 25FS(12 / 12 / 1)*  
6 x 19(1 + 6 + 6 / 6) + 7 x 7(1 + 6) ЛК-Р
6 x 19(1 + 6 + 6 / 6) + 1 о.с. ЛК-Р
6 x 25(1 + 6; 6 + 12) + 1 о.с. ЛК-З
6 x 25(1 + 6; 6 + 12) + 7 x 7(1 + 6) ЛК-З
121 N 140 8 x 16(0 + 5 + 11) + 9 о.с. ТК                
141 N 160 8 x 19(12 / 6 + 6F / 1)                  
8 x 19(1 + 6 + 6 / 6) + 1 о.с. ЛК-Р
161 N 180 6 x 36(14 / 7 + 7 / 7 / 1)*                  
6 x 30(0 + 15 + 15) + 7 о.с. ЛК-0
6 x 36(1 + 7 + 7 / 7 + 14) + 1 о.с.* ЛК-РО
6 x 36(1 + 7 + 7 / 7 + 14) + 7 x 7(1 + 6)* ЛК-РО
181 N 200 6 x 31(1 + 6 + 6 / 6 + 12) + 1 о.с.                  
6 x 31 (1 + 6 + 6 / 6 + 12) + 7 x 7(1 + 6)  
6 x 37(1 + 6 + 15 + 15) + 1 о.с. ТЛК-О
201 N 220 6 x 41(16 / 8 + 8 / 8 / 1)*                  
221 N 240 6 x 37(18 / 12 / 6 / 1)                  
18 x 19(1 + 6 + 6 / 6) + 1 о.с. ЛК-Р
241 N 260                    
261 N 280                    
281 N 300                    
300 N     0,04 N 0,08 N 0,02 N 0,04 N 0,08 N 0,16 N 0,04 N 0,08 N
                       

 

Примечания.

1. N - число несущих проволок в наружных прядях каната; d - диаметр каната, мм.

2. Если группа классификации механизма - М не указана в паспорте ПС, то ее определяют согласно приложению N 6 к настоящим ФНП.

3. Проволоки заполнения не считаются несущими, поэтому не подлежат учету. В канатах с несколькими слоями прядей учитываются проволоки только видимого наружного слоя. В канатах со стальным сердечником последний рассматривается как внутренняя прядь и не учитывается.

4. Число обрывов не следует путать с количеством оборванных концов проволок, которых может быть в 2 раза больше.

5. Для канатов конструкции с диаметром наружных проволок во внешних прядях, превышающим диаметр проволок нижележащих слоев, класс конструкции понижен и отмечен звездочкой.

6. При работе каната полностью или частично с блоками из синтетического материала или из металла с синтетической футеровкой отмечается появление значительного числа обрывов проволок внутри каната до появления видимых признаков обрывов проволок или интенсивного износа на наружной поверхности каната.

Такие канаты отбраковываются с учетом потери внутреннего сечения с применением методов неразрушающего контроля.

7. Незаполненные строки в графе "Конструкции канатов" означают отсутствие конструкций канатов с соответствующим числом проволок. При появлении таких конструкций канатов, а также для канатов с общим числом проволок более 300 число обрывов проволок, при которых канат бракуется, определяется по формулам, приведенным в нижней строке таблицы, причем полученное значение округляется до целого в большую сторону.

 

 

Рисунок 4. Пример определения числа обрывов наружных

проволок стального каната:

 

1 - на участке контроля у оборванной проволоки обнаружен только один конец, ответный конец оборванной проволоки отсутствует. Данный дефект соответствует одному обрыву;

2 - на участке контроля у оборванной проволоки в наличии два конца. Данный дефект соответствует одному обрыву;

3 - на участке контроля одна из проволок имеет двукратное нарушение целостности. Поскольку нарушения целостности принадлежат только одной проволоке, данный дефект суммарно соответствует одному обрыву

 

При наличии у каната поверхностного износа или коррозии проволок число обрывов как признак браковки должно быть уменьшено в соответствии с данными таблицы 2.

При уменьшении первоначального диаметра наружных проволок в результате износа (см. рисунок 5, д) или коррозии (см. рисунок 6, д) на 40 процентов и более канат бракуется.

Определение износа или коррозии проволок по диаметру производится с помощью микрометра или иного инструмента, обеспечивающего аналогичную точность.

При меньшем, чем указано в таблице 1, числе обрывов проволок, а также при наличии поверхностного износа проволок без их обрыва канат может быть допущен к работе при условии тщательного наблюдения за его состоянием при периодических осмотрах с записью результатов в журнал осмотров и смены каната по достижении степени износа, указанной в таблице 2.

 

Таблица 2

Нормы браковки каната в зависимости от поверхностного

износа или коррозии

Уменьшение диаметра проволок в результате поверхностного износа или коррозии, в процентах Количество обрывов проволок, в процентах от норм, указанных в таблице 1
   
   
   
   
30 и более  

 

Если груз подвешен на двух канатах, то каждый бракуется в отдельности, причем допускается замена одного, более изношенного, каната.

8. Для оценки состояния внутренних проволок, т.е. для контроля потери металлической части поперечного сечения каната (потери внутреннего сечения), вызванной обрывами, механическим износом и коррозией проволок внутренних слоев прядей (рисунок 8), канат необходимо подвергать дефектоскопии по всей его длине (последнее обязательно только для канатов ПС, транспортирующих опасные грузы, предназначенных или используемых для подъема людей, а также канатов, работающих с блоками из синтетического материала или блоками из металла с синтетической футеровкой поверхности, контактирующей с канатом).

При регистрации при помощи дефектоскопа потери сечения металла проволок, достигшей 17,5 процентов и более, канат бракуется. Необходимость применения дефектоскопии стальных канатов определяют согласно требованиям нормативной документации в зависимости от типа и назначения ПС.

9. При обнаружении в канате одной или нескольких оборванных прядей канат бракуется и к дальнейшей работе не допускается.

10. Волнистость каната характеризуется шагом и направлением ее спирали (рисунок 9). При совпадении направлений спирали волнистости и свивки каната и равенстве шагов спирали волнистости и свивки каната канат бракуется при , где - диаметр спирали волнистости, - номинальный диаметр каната.

При несовпадении направлений спирали волнистости и свивки каната и неравенстве шагов спирали волнистости и свивки каната или совпадении одного из параметров канат подлежит браковке при . Длина рассматриваемого отрезка каната не должна превышать .

11. Канаты должны выбраковываться и не допускаться к дальнейшей работе при обнаружении: корзинообразной деформации (рисунок 10); выдавливания сердечника (рисунок 11); выдавливания или расслоения прядей (рисунок 12); местного увеличения диаметра каната (рисунок 13); местного уменьшения диаметра каната (рисунок 7); раздавленных участков (рисунок 14); перекручиваний (рисунок 15); заломов (рисунок 16); перегибов (рисунок 17); повреждений в результате температурных воздействий или электрического дугового разряда.

 

 

Рисунок 5. Износ наружных Рисунок 6. Поверхностная коррозия

проволок каната крестовой проволок каната крестовой свивки:

свивки: а - начальное окисление

а - небольшие лыски на поверхности;

проволоках; б - общее окисление поверхности;

б - увеличенная длина лысок на в - заметное окисление; г -

отдельных проволоках; в - сильное окисление; д -

удлинение лысок в отдельных интенсивная коррозия

проволоках при заметном

уменьшении диаметра проволок;

г - лыски на всех проволоках,

уменьшение диаметра каната;

д - интенсивный износ всех

наружных проволок каната

(уменьшение диаметра проволок

на 40 процентов)

 

 

Рисунок 7. Местное уменьшение диаметра каната на месте

разрушения органического сердечника

 

 

Рисунок 8. Уменьшение площади поперечного сечения проволок

(интенсивная внутренняя коррозия)

 

 

Рисунок 9. Волнистость каната (объяснение в тексте)

 

 

Рисунок 10. Корзинообразная деформация

 

 

Рисунок 11. Выдавливание сердечника

 

 

Рисунок 12. Выдавливание проволок прядей:

а - в одной пряди; б - в нескольких прядях

 

 

Рисунок 13. Местное увеличение диаметра каната

 

 

Рисунок 14. Раздавливание каната

 

 

Рисунок 15. Перекручивание каната

 

 

Рисунок 16. Залом каната

 

 

Рисунок 17. Перегиб каната


 

Приложение N 9

к Федеральным нормам и правилам

в области промышленной безопасности

"Правила безопасности опасных

производственных объектов,

на которых используются подъемные

сооружения", утвержденным

приказом Федеральной службы

по экологическому, технологическому

и атомному надзору

от 12 ноября 2013 г. N 533

 

ЗНАКОВАЯ СИГНАЛИЗАЦИЯ,

ПРИМЕНЯЕМАЯ ПРИ РАБОТЕ ПОДЪЕМНИКА (ВЫШКИ)

 

 

Рисунок 1. Готовность подавать Рисунок. 2. Остановка

команду

 

 

Рисунок 3. Замедление Рисунок 4. Подъем

 

 

Рисунок 5. Опускание Рисунок 6. Указание направления

 

 

Рисунок 7. Поднять колено Рисунок 8. Опустить колено

(стрелу) (стрелу)

 

 

Рисунок 9. Выдвинуть стрелу Рисунок 10. Втянуть стрелу


 

Приложение N 10

к Федеральным нормам и правилам

в области промышленной безопасности

"Правила безопасности опасных

производственных объектов,

на которых используются подъемные

сооружения", утвержденным

приказом Федеральной службы

по экологическому, технологическому

и атомному надзору

от 12 ноября 2013 г. N 533

 

ЗНАКОВАЯ СИГНАЛИЗАЦИЯ

ПРИ ПЕРЕМЕЩЕНИИ ГРУЗОВ С ПРИМЕНЕНИЕМ ПС

(КРОМЕ ПОДЪЕМНИКОВ (ВЫШЕК))

 

Операция Рисунок Сигнал
Поднять груз или грузозахватный орган (грузозахватное приспособление) Прерывистое движение рукой вверх на уровне пояса, ладонь обращена вверх, рука согнута в локте
Опустить груз или грузозахватный орган (грузозахватное приспособление) Прерывистое движение рукой вниз перед грудью, ладонь обращена вниз, рука согнута в локте
Передвинуть ПС Движение вытянутой рукой, ладонь обращена в сторону требуемого движения
Передвинуть грузовую тележку ПС Движение рукой, согнутой в локте, ладонь обращена в сторону требуемого движения тележки
Повернуть стрелу ПС Движение рукой, согнутой в локте, ладонь обращена в сторону требуемого движения стрелы
Поднять стрелу ПС Движение вверх вытянутой рукой, предварительно опущенной до вертикального положения, ладонь раскрыта
Опустить стрелу ПС Движение вниз вытянутой рукой, предварительно поднятой до вертикального положения, ладонь раскрыта
Стоп (прекратить подъем или передвижение) Резкое движение рукой вправо и влево на уровне пояса, ладонь обращена вниз
Осторожно (применяется перед подачей какого-либо из перечисленных выше сигналов при необходимости незначительного перемещения) Кисти рук обращены ладонями одна к другой на небольшом расстоянии, руки при этом подняты вверх

 


 

Приложение N 11

к Федеральным нормам и правилам

в области промышленной безопасности

"Правила безопасности опасных

производственных объектов,

на которых используются подъемные

сооружения", утвержденным

приказом Федеральной службы

по экологическому, технологическому

и атомному надзору

от 12 ноября 2013 г. N 533

 

ОЦЕНКА

РАБОТОСПОСОБНОСТИ ОГРАНИЧИТЕЛЯ ИЛИ УКАЗАТЕЛЯ ОПАСНОГО

ПРИБЛИЖЕНИЯ К ЛИНИИ ЭЛЕКТРОПЕРЕДАЧИ

 

Для оценки работоспособности ограничителя или указателя опасного приближения к линии электропередачи (далее - ЛЭП) может быть использован макет ЛЭП, состоящий из трехфазной четырехпроводной воздушной электрической линии напряжением 220/380 В, выполненной из изолированных проводов, расположенных на опорах на высоте не менее 6 м, и размещенной на специальной площадке. Расстояние между опорами должно быть не менее 15 метров. Вдоль нижнего провода линии, на его уровне и на расстоянии от него () метра должен быть установлен ограничительный канат (шнур).

 

 

Ограничитель или указатель опасного приближения к ЛЭП считается работоспособным, если срабатывание происходит при выдвижении или наклоне стрелы крана до соприкосновения ее оголовка с ограничительным канатом.

Для установления состояния (работоспособное или неработоспособное) ограничителя или указателя опасного приближения к ЛЭП может быть использован переносной имитатор ЛЭП по методике, указанной в его эксплуатационных документах.

Перед направлением крана в опасную зону ЛЭП ограничитель или указатель опасного приближения к ЛЭП должен быть проверен на макете ЛЭП.

 

 

 

 







Date: 2015-06-05; view: 717; Нарушение авторских прав



mydocx.ru - 2015-2026 year. (0.704 sec.) Все материалы представленные на сайте исключительно с целью ознакомления читателями и не преследуют коммерческих целей или нарушение авторских прав - Пожаловаться на публикацию