Главная Случайная страница


Полезное:

Как сделать разговор полезным и приятным Как сделать объемную звезду своими руками Как сделать то, что делать не хочется? Как сделать погремушку Как сделать так чтобы женщины сами знакомились с вами Как сделать идею коммерческой Как сделать хорошую растяжку ног? Как сделать наш разум здоровым? Как сделать, чтобы люди обманывали меньше Вопрос 4. Как сделать так, чтобы вас уважали и ценили? Как сделать лучше себе и другим людям Как сделать свидание интересным?


Категории:

АрхитектураАстрономияБиологияГеографияГеологияИнформатикаИскусствоИсторияКулинарияКультураМаркетингМатематикаМедицинаМенеджментОхрана трудаПравоПроизводствоПсихологияРелигияСоциологияСпортТехникаФизикаФилософияХимияЭкологияЭкономикаЭлектроника






Химия и обмен нуклеиновых кислот

 

Нуклеиновые кислоты встречаются в организме не в свободном виде, а в составе нуклеопротеинов.

Молекулы нуклеиновых кислот заряжены отрицательно. Белковые компоненты нуклеопротеинов - положительно, потому что в них много аргинина и лизина. Связи между нуклеиновыми кислотами и белками - ионные.

Нуклеиновые кислоты - гетерополимеры, их мономерами являются мононуклеотиды. Мононуклеотид состоит из азотистого основания+рибоза у РНК (или дезоксирибоза у ДНК) - вместе они составляют нуклеозид, и остатка фосфорной кислоты.

НОМЕНКЛАТУРА НУКЛЕОТИДОВ

Азотистое основание Нуклеозид Нуклеотид
аденин аденозин аденозинмонофосфат(АМФ)
гуанин гуанозин гуанозинмонофосфат(ГМФ)
урацил уридин уридинмонофосфат (УМФ)
тимин тимидин тимидинмонофосфат (ТМФ)
цитозин цитидин цитидинмонофосфат (ЦМФ)

 

 

ТМФ встречается только в ДНК, а УМФ - только в РНК.

В составе нуклеиновых кислот мононуклеотиды связаны 3’,5’-диэфирными связями между рибозами (d-рибозами) соседних мононуклеотидов через остаток фосфорной кислоты.

БИОЛОГИЧЕСКАЯ РОЛЬ НУКЛЕИНОВЫХ КИСЛОТ.

1. ДНК: хранение генетической информации.

2. РНК:

а) хранение генетической информации у некоторых вирусов;

б) реализация генетической информации: и-РНК (м-РНК) - информационная (матричная), т-РНК (транспортная), р-РНК (рибосомальная)

в) некоторые молекулы РНК способны катализировать реакции гидролиза 3’,5’-фосфодиэфирной связи в самой молекуле РНК. Такие РНК называют рибозимами.

ФУНКЦИИ МОНОНУКЛЕОТИДОВ.

1. Структурная.

Из мононуклеотидов построены нуклеиновые кислоты, некоторые коферменты и простетические группы ферментов.

2. Энергетическая.

Мононуклеотиды удерживают макроэргические связи - являются аккумуляторами энергии. АТФ - это универсальный аккумулятор энергии, энергия УТФ используется для синтеза гликогена, ЦТФ - для синтеза липидов, ГТФ - для движения рибосом в ходе трансляции (биосинтез белка).

Синтез АТФ из АДФ происходит двумя способами: окислительное и субстратное фосфорилирование, синтез любых других нуклеотидтрифосфатов (НТФ) из дифосфатных форм - через АТФ:

НМФ + АТФ <-----> НДФ + АДФ

Фермент: нуклеотидмонофосфокиназа

НДФ + АТФ <-----> НТФ + АДФ

Фермент: нуклеотиддифосфокиназа

3. Регуляторная.

Мононуклеотиды - аллостерические эффекторы многих ключевых ферментов, цАМФ и цГМФ являются посредниками в передаче гормонального сигнала при действии многих гормонов на клетку (аденилатциклазная система).

Азотистое основание аденин является более универсальным, чем остальные: у него такое взаимное расположение аминогруппы с фосфатом, что возможен синтез АТФ из АДФ и неферментативным путем.

 

ОБМЕН НУКЛЕИНОВЫХ КИСЛОТ

Нуклеиновые кислоты в организме постоянно обновляются.

 

КАТАБОЛИЗМ НУКЛЕИНОВЫХ КИСЛОТ

Начинается с гидролиза 3',5'-фосфодиэфирной связи под действием ферментов нуклеаз:

- ДНКазы - расщепляют ДНК

- РНКазы - расщепляют РНК

Среди ДНКаз и РНКаз различают:

- экзонуклеазы (5' и 3');

- эндонуклеазы - специфичны к мононуклеотидной последовательности, есть высокоспецифичные: рестриктазы - используются в генной инженерии.

Далее происходит отщепление фосфата от мононуклеотида с участием ферментов нуклеотидаз с образованием нуклеозидов.

Нуклеозид может расщепляться путем гидролиза под действием фермента нуклеозидазы на азотистое основание и пентозу, но чаще происходит фосфоролиз - при этом нуклеозид расщепляется на азотистое основание и фосфорибозу.

 

Далее пентозы могут быть утилизированы во II-м этапе ГМФ-пути.

 

Различия в катаболизме пуриновых и пиримидиновых азотистых оснований.

Пиримидиновые азотистые основания подвергаются тотальному разрушению до СО2, Н2О и NH3.

Пуриновые азотистые основания сохраняют циклическую структуру пурина. Конечный продукт: мочевая кислота - вещество пуриновой природы.

 

КАТАБОЛИЗМ ПИРИМИДИНОВЫХ АЗОТИСТЫХ ОСНОВАНИЙ

Возможны несколько вариантов катаболизма. Разберем более простой вариант.

Аминогруппа может отщепляться, когда азотистое основание еще находится в составе нуклеозида, мононуклеотида и даже в составе нуклеиновой кислоты. Но поскольку в организме урацил не входит в состав ДНК, то дезаминирование цитозина и превращение его в урацил воспринимается клеткой как ошибка и исправляется.

 

Бета-аланин обычно разрушается до CO2, H2O и NH3, но частично может использоваться для синтеза пептидов карнозина и ансерина в мышечной ткани и для синтеза КоА. Конечным продуктов распада пиримидиновых азотистых оснований можно считать и мочевину, которая образуется из аммиака по известному механизму, изложенному в лекциях по обмену белков.


 

Тимин распадается подобно урацилу, но вместо бета-аланина образуется бета-аминоизобутират (альфа-метил-бета-аланин).

Бета-аминоизобутират выводится из организма и определение его количества в моче может использоваться для оценки катаболизма ДНК.

 

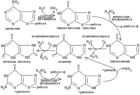
КАТАБОЛИЗМ ПУРИНОВЫХ АЗОТИСТЫХ ОСНОВАНИЙ

Распад начинается с отщепления аминогруппы (ее отщепление также возможно в составе ДНК).

 

 

Такой путь распада характерен для человека. Мочевая кислота образуется еще у обезьян, ящериц, змей и долматской собаки.

При наследственном дефиците фермента аденозиндезаминазы наблюдается синдром врожденного иммунодефицита.

Мочевая кислота выводится из организма с мочой - это обычный ее компонент, но в почках организма человека происходит ее интенсивная реабсорбция и концентрация мочевой кислоты в крови поддерживается на постоянном уровне 0.12-0.30 ммоль/л.

Функции мочевой кислоты в крови:

1. Является мощным стимулятором центральной нервной системы - ингибирует фосфодиэстеразу цАМФ (посредник действия гормонов адреналина и норадреналина). Мочевая кислота пролонгирует (продлевает) действие этих гормонов на ЦНС.

2. Обладает антиоксидантными свойствами.

В организме мочевая кислота находится в основном в лактимной форме.

Гуанин также превращается в мочевую кислоту, но под действием гуаназы сразу образуется ксантин, поскольку в 6-м положении в кольце гуанина находится оксигруппа.

За 1 сутки в организме образуется около 1 грамма мочевой кислоты. Сама мочевая кислота и ее соли ураты (натриевые соли мочевой кислоты) плохо растворимы в воде и могут выпадать в осадок и откладываться в сосудах. Осадок уратов фагоцитируется макрофагами, которые погибают, и при этом освобождаются гидролитические ферменты, действие этих ферментов на окружающие ткани приводит к воспалению. Даже незначительное повышение концентрации уратов или мочевой кислоты приводит к образованию осадков. Такие явления наблюдаются при генетически обусловленном повышении содержания мочевой кислоты в крови. Это ведет к развитию заболеваний - МОЧЕКАМЕННОЙ БОЛЕЗНИ (при отложении кристаллов в почечной лоханке или в мочевом пузыре) и ПОДАГРЫ (при отложении солей мочевой кислоты в суставах).

При лечении подагры используются ингибиторы фермента ксантиноксидазы, потому что гипоксантин лучше растворим в воде; соли лития, так как ураты лития лучше растворимы в воде: чем ураты натрия. Используется также диетическое питание, исключающее продукты, богатые нуклеиновыми кислотами, пуринами и их аналогами: икра рыб, мясо, кофе и чай.

 

АНАБОЛИЗМ НУКЛЕИНОВЫХ КИСЛОТ

Нуклеиновые кислоты (НК) являются полимерами. Поэтому их синтез представляет собой цепочку реакций полимеризации мононуклеотидов. В ходе этих реакций идет постепенное удлинение полинуклеотида.

Субстратами для синтеза являются мононуклеотиды в трифосфатной форме - нуклеозидтрифосфаты (НТФ).

НТФ + НKn -------> HКn+1 + ФФ


Образующийся пирофосфат (ФФ) разрушается пирофосфатазой.

В синтезе РНК в качестве НТФ используются АТФ, ГТФ, ЦТФ, УТФ. Для синтеза ДНК - dАТФ, dГТФ, dЦТФ, ТТФ (всегда синтезируется с дезоксирибозой).

Синтез идет в направлении 5'--->3'.

Синтез НК - это матричный процесс, порядок присоединения мононуклеотидов определяется строением материнской НК.

Фермнты синтеза НК называются полимеразами. Полимеразы относятся к классу синтетаз. Их биосинтез контролируют сами субстраты - НК.

В организме человека встречаются следующие полимеразы:

ДНК-ПОЛИМЕРАЗЫ:

- альфа-полимеразы отвечают за синтез основной цепи;

- бета-полимеразы устраняют дефекты, возникающие при синтезе ДНК;

- гамма-полимеразы - митохондриальные ферменты.

 

РНК-ПОЛИМЕРАЗЫ:

I - участвуют в синтезе рибосомальной РНК(рРНК);

II - участвуют в синтезе информационной (матричной) РНК(иРНК, мРНК);

III - участвуют в синтезе транспортной РНК (тРНК).

 

Ингибитором РНК-полимеразы-II является пептид L-амонитин. Встречается в ядовитых грибах Amonyta(бледная поганка).

Синтез ДНК называется репликацией. Направление фосфодиэфирных связей одной из синтезируемых полинуклеотидных цепей ДНК совпадает с направлением синтеза (5'--->3'), поэтому она синтезируется непрерывно и сразу целиком. А у другой - не совпадает (3'--->5'). Поэтому она синтезируется частями. Эти части называются "фрагменты Оказаки". Синтезировать фрагменты Оказаки de novo (с нуля) ДНК-полимеразы не могут, поэтому для синтеза каждого фрагмента нужна "затравка" - праймер. Праймер - это кусочек цепи РНК. Синтез праймеров катализируют специальные ферменты - праймазы (это один из вариантов РНК-полимераз). Синтез РНК происходит на определенных участках молекулы ДНК и называется транскрипцией. В цепи ДНК существуют специальные участки: промоторы, которые указывают на начало транскрипции и терминаторы, указывающие на конец транскрипции. При транскрипции образуется высокомолекулярный предшественник РНК - первичный транскрипт. Затем здесь же, в ядре клетки, идет постсинтетическая модификация РНК - сплайсинг. Этот процесс катализируют ферменты эндонуклеазы - из первичного транскрипта вырезаются интроны. Оставшиеся экзоны сшиваются РНК-лигазами. Далее к 5'-концу молекулы РНК присоединяется 7-метил-ГТФ (КЭП-фрагмент) - этот процесс называется "кэпирование". К 3'-концу присоединяется полиадениловый "хвост" (полиАМФ) - реакцию катализирует полиаденилатполимераза.

Особенностью посттранскрипционной модификации рибосомальной РНК (р-РНК) является метилирование азотистых оснований.

При синтезе транспортной РНК (т-РНК) к концу каждой молекулы присоединяется последовательность из трех мононуклеотидов: ЦМФ-ЦМФ-АМФ (ЦЦА). Эта последовательность необходима для присоединения аминокислоты к т-РНК.

СИНТЕЗ МОНОНУКЛЕОТИДОВ


Для синтеза нуклеотидов требуется активная форма рибозо-фосфата - фосфорибозилпирофосфат (ФРПФ).

Особенностью синтеза пуриновых нуклеотидов является то, что их структура пуринового азотистого основания постепенно достраивается на рибозофосфате.

При синтезе пиримидиновых мононуклеотидов сначала образуется циклическа структура азотистого основания, а затем в готовом виде присоединяется к рибозофосфату.

 

СИНТЕЗ ПУРИНОВЫХ МОНОНУКЛЕОТИДОВ

Пуриновое кольцо строится из СО2, аспарагиновой кислоты, глутамина, глицина и серина. Эти вещества либо полностью включаются в пуриновую структуру, или передают для ее построения отдельные группировки.

Глутамин отдает амидную группу и превращается в глутаминовую кислоту.

Аспарагиновая кислота отдает аминогруппу и превращается в фумаровую кислоту.

Глицин: 1) полностью включается в структуру пуринового азотистого основания; 2) является источником одноуглеродного радикала.

Серин: тоже является донором одноуглеродного радикала.

ФРПФ + глутамин -------> глутамат + ФФ + фосфорибозиламин

Фермент, который катализирует эту реакцию, называется фосфорибозиламидотрансфераза. Он является ключевым ферментом синтеза всех пуриновых мононуклеотидов. Регулируется по принципу отрицательной обратной связи. Аллостерическими ингибиторами этого фермента являются АМФ и ГМФ.

На второй стадии ФРПФ-амин взаимодействует с глицином.

Третья стадия - включение углеродного атома, донором которого является глицин или серин. Затем достраивается шестичленный фрагмент пуринового кольца:

4-ая стадия - карбоксилирование с помощью активной формы СО2 при участии витамина Н - биотина.

5-ая стадия - аминирование с участием аминогруппы из аспартата.

6-ая стадия - аминирование за счет аминогруппы глутамина.

7-ая, заключительная стадия - включение одноуглеродного фрагмента (с участием ТГФК).

Образуется пуриновая структура только на рибозо-фосфате. Предшественник всех пуриновых мононуклеотидов - инозинмонофосфат (ИМФ) или инозиновая кислота. Азотистое основание в ИМФ называется гипоксантин.

Активный С­1 извлекается из глицина или серина с помощью фермента, в небелковой части которого содержится производное витамина Вc - фолиевой кислоты.­ Фолиевая кислота два раза восстанавливается в организме ­­­(к ней присоединяется водород).

ТГФК является коферментом ферментов, переносящих одноуглеродные радикалы.

НАДН2, который образуется в обратной реакции, может быть использован для восстановления пирувата в лактат (гликолитическая оксидоредукция). Реакция катализируется глицинснтетазой.В составе кофермента метиленовая группировка может видоизменяться до

Эти группировки связаны только с одним из атомов азота ТГФК.

Любая из группировок, связанная с ТГФК, называется активным С1.

ИМФ превращается в АМФ: вместо ОН-группы появляется NH2-группа. Источником азота является аспарагиновая кислота, а для бразования ГМФ - глутамин.

Затем АМФ--->АДФ--->АТФ. Другие монофосфаты с помощью АТФ превращаются в дифосфаты и трифосфаты. Этот способ синтеза является энергетически невыгодным.

Другой способ синтеза пуриновых мононуклеотидов - повторная утилизация или реутилизация пуриновых азотистых оснований.

 

Реакции реутилизации аденина и гуанина, которые образуются при распаде нуклеиновых кислот.

аденин + ФРПФ ---> ФФ + АМФ

Фермент: аденинфосфорибозилпирофосфаттрансфераза

 

гуанин + ФРПФ ---> ФФ + ГМФ

Фермент: гуанингипоксантинфосфорибозилпирофосфаттрансфераза. Этот фермент обладает более широкой субстратной специфичностью, может переносить гипоксантин - образуется ИМФ. У человека встречается генетический дефект этого фермента - “болезнь Леша-Нихана”. У таких больных наблюдаются выраженные морфологические изменения в головном и костном мозге, умственная отсталость, аутоагрессия.

СИНТЕЗ ПИРИМИДИНОВЫХ МОНОНУКЛЕОТИДОВ.

 

Образуется сначала циклическая структура азотистого основания, а затем присоединяется рибозо-фосфат.

Первая реакция синтеза пиримидиновых монуклеотидов приводит к образованию карбамоилфосфата.

Одна из молекул АТФ является донором фосфата.

 

 

Оротидинмонофосфат (ОМФ) является общим предшественником всех пиримидиновых мононуклеотидов.

Карбамоиласпартаттрансфераза является ключевым ферментом синтеза пиримидиновых мононуклеотидов. Ингибируется по принципу обратной связи ЦТФ, а активируется - АТФ. Благодаря такой регуляции достигается необходимый баланс между пуриновыми и пиримидиновыми мононуклеотидами - то есть происходит перекрестная регуляция.

 

Тимидиновые мононуклеотиды необходимы для синтеза ДНК. Они должны содержать дезоксирибозу. В состав тимидина входит дезоксирибоза. Мононуклеотиды, содержащие дезоксирибозу синтезируются из рибонуклеотидов (содержащих рибозу). Субстратом для синтеза дезоксирибонуклеотидов является уридиндифосфат. Происходит восстановление рибозы в дезоксирибозу.

Фермент, катализирующий реакцию превращения рибонуклеотида в дезоксирибонуклеотид, обладает специфичностью к дифосфатной форме.

Источником протонов и электронов является НАДН2, а переносятся они специальным белком - тиоредоксином, который затем способен восстанавливаться.

У тимина имеется дополнительная метильная группа. Фермент, который переносит метильную группировку, специфичен к мононуклеотиду.

Источником метильной группы является метилТГФК. На этот фермент направлено действие некоторых лекарственных препаратов. Ингибиторы этого фермента тормозят синтез ДНК опухолевых клеток. Для создания эффективных ингибиторов используются антивитамины ТГФК. При ингибировании превращения фолиевой кислоты в тетрагидрофолиевую замедляется синтез ДНК.



<== предыдущая | следующая ==>
 | 





Date: 2015-05-23; view: 926; Нарушение авторских прав



mydocx.ru - 2015-2026 year. (1.839 sec.) Все материалы представленные на сайте исключительно с целью ознакомления читателями и не преследуют коммерческих целей или нарушение авторских прав - Пожаловаться на публикацию