Главная Случайная страница


Полезное:

Как сделать разговор полезным и приятным Как сделать объемную звезду своими руками Как сделать то, что делать не хочется? Как сделать погремушку Как сделать так чтобы женщины сами знакомились с вами Как сделать идею коммерческой Как сделать хорошую растяжку ног? Как сделать наш разум здоровым? Как сделать, чтобы люди обманывали меньше Вопрос 4. Как сделать так, чтобы вас уважали и ценили? Как сделать лучше себе и другим людям Как сделать свидание интересным?


Категории:

АрхитектураАстрономияБиологияГеографияГеологияИнформатикаИскусствоИсторияКулинарияКультураМаркетингМатематикаМедицинаМенеджментОхрана трудаПравоПроизводствоПсихологияРелигияСоциологияСпортТехникаФизикаФилософияХимияЭкологияЭкономикаЭлектроника






Жұмыс мазмұны





Өндіріс ғимараттарындағы микроклимат түсінігі, адам ағзасына әсер ететін температура, ылғалдылық, жұмыс ауырлығы, ауа қозғалысының жылдамдығының арқасында анықталатын ғимараттың ішкі ортасының метеорологиялық шарттары деп түсінеді. Өзіндік жылу өнімімен ортаның өзгеруіне қарамастан,тарлы шекаралардағы мидың және ішкі ағзалардың температурасын қалыпты нормада сақтауға бағытталған, физиологиялық процесстердің жиынтығы термореттеуіш деп аталады.

Термореттеуіш жүйесі жылу орталығын іске қосады, ол ішкі ағзалардың терморецепторлары, сілекейлі беткейлер мен жүйке жүйесі өтетін терінің бөлшектері, эфферентты жүйке жолдары және тері жасушасы ретіндегі эффекторлы ағзалар, сүйек буындары.

Адамның қоршаған ортамен жылу алмасуын келесі теңдікпен көруге болады:

cmΔT=Q1+Q2-Q3-Q4-Q5-Q6-Q7, (34)

мұндағы: с – дененің жылу сыйымдылығы;

т– дене массасы;

Q1 – жылу;

Q2 – сыртқы жылу;

Q3 – сәулелену арқылы жылу беру;

Q4 – конвекция арқылы жылу беру;

Q5 – кондукция арқылы жылу беру;

Q6 – тері беткейінен диффузионды ылғалдылықтың жоғалуы

барысындағы жылу берілісі;

Q7 ~ демалатын ауаның қыздыруы нәтижесіндегі жылу берілісі.

Адам ағзасында физиологиялық процесстердің дұрыс жүруі үшін, адам ағзасындағы жылудың балансы сақталуы қажет және сыртқа шығарылатын жылудын да балансы болу керек. Мүндай шаралар орындалған болса, онда қоршаған орта ыңғайлы орта болып саналмақ.

Ағзаның қызып кетуі немесе ағзаға түскен қуат мөлшері шамадан тыс көп болса, онда термореттеуіштің жылу берілісі арта түседі. Ол қанайналым мен тер бөлімдері арқылы жүзеге асады.

Адамның қоршаған орта жылу ықпалына реакциясы жеті параметрмен беріледі:

- Ауа температурасы;

- Салыстырмалы ылғалдылық. Температура мен салыстырмалы ылғалдылықты өлшейтін ең қарапайым құрал психрометр;

- Сәулелену ортасының орташа температурасы, температураны бейнелейді. Сәулелену ортасының орташа температурасын есептеу үшін қолданылатын құралдың ішінде қараланған сфера, термобу болу керек;

- Ауа қозғалысының жылдамдығы. Ауа қозғалысының жылдамдығы 0,15 м/с аспайды, тіпті сезілмейді де, жылдамдықты өлшеу анемометрмен жүргізіледі;

- Киімнің жылуизоляционды қабілеті. Адамның денесі үздіксіз метаболикалық жылу шығарады, ол кло – мен (clo) өлшенеді. 20 °С температура кезіндегі киім жылуизоляциясы 1 клоға тең болса, онда 27,20 С температурада шешініп тұрған адам өзін осылай сезінеді;

- Физикалық белсенділік. Белсенділікті метпен (mets) өлшеуге болады. Тыныш отырған адамның метаболикалық жылу бөлінуінің қарқындылығы 1 метқа тең.

Адамның жылу жағдайының жетінші параметрі уақыт.

2. Адам ағзасында биохимиялық процесстер нәтижесінде үздіксіз жылу бөліну жүріп отырады. Адам ағзасында жылу пайда болумен қатар сыртқы ортаға жылу бөлінуде жүреді. Бұл адамның тұрақты дене температурасын сақтауға мүмкіндік береді. Орта температура +36,5 °С.

Адам ағзасының сыртқа ортаға жылу беруі келесідей орындалады.

1. Дене беткейінен (радиация) жылудың сәулеленуі – 45 %.

2. Дененің беткейін (конвекция) жуып өтетін, ауаның жылу орымы – 30 %.

3. Өкпе және тыныс жолдарымен, дене беткейінен ауаның жоғалуы – 25 %.

сыртқы ортаға жылу метереологиялық әсерлердің арқасында өзгеріп отыруы мүмкін.


Адам ағзасындағы жылу беру мен алудың жағдайлары қалыпты болуы қажет.

Температура жоғарылап кетсе, адам ағзасы қызып кетеді. Ал егер керісінше температура қажетті көлемде берілмей суып кетсе, онда адам денесінің мүшелері үсіп, түрлі ауруларға шалдығуы мүмкін (тұмау, радикулит, ангина, бронхит). Адам ағзасы өзін жақсы сезіну үшін қалыпты микрокоимат жағдайлары сақталып тұруы керек. Ыңғайлылық жағдай 11 кестеде берілген.

 

11 кесте – Өндіріс ғимараттарындағы оптималды микроклимат жағдайлары

Жұмыс пен энергия жұмсалуының категориялары Суық және ауыспалы мезгілдер (tH<+10 °C) Жылы мезгілдер (tH+10 °C)
t,°C φ, % v, м/с t,°C φ, % v, м/с
Жеңіл 1 72 ж/с – ге дейін 20-23 40-60 ≤0,2 22-25 40-60 ≤0,2
Орташа, α 1 72– ден 232 Дж/с – ге дейін Дж/с 18-20 40-60 ≤0,2 21-23 40-60 ≤0,3
Орташа, δ 232 – ден 293 Дж/с – ге дейін 17-19 40-60 ≤0,3 20-22 40-60 ≤0,5
Ауыр, 293 Дж/с астам 16-18 40-60 ≤0,3 18-21 40-60 ≤0,5

 

4. Ауа ылғалдылығының абсолютті және салыстырмалы түрі бар. Абсолютті ылғалдылық кезінде ауа көлеміндегі ылғалдылық массасы ескеріледі. Ал, салыстырмалы ылғалдылық кезінде абсолютті ауа ылғалдығының оның максималды ылғалдылығына қатынасты. Салыстырмалы ауа ылғалдылығын психрометр, гигрометр, гигрофтармен өлшейді.Психрометрдің бірнеше конструкциясы болады: жұпты термометрлі психрометр, аспирационды, электрлі және т.б.

5. Ауаның жылдамдық қозғалысын өлшеу анемометрлермен шығарылады: қанатшалылар (крыльчатыми) АСО-3 (сурет 7 а), ауа ағынының жылдамдығын 6 м/с-қа дейін өлшеуге арналған, және табақшалы анемометрмен МС-13 (сурет 7 б)20 м/с дейін өлшеуге болады.

Анемометрлер ауалы тахометр принципі бойынша істейді, ауақабылдағыштың (ветроприемника) айналым санын жылдамдықпен санайды, ол ауа ағынын жылдамдығына пропорционал болып келеді.


Сурет 6 – Психометр

Қанатшалы анемометр қанатшасымен ауа ағынына қатан қарсы орналасу керек, қанатшанының (крыльчатки) айналуы червяк көмегімен есептік механизміне беріледі. Есептік механизм анемометрінің қосылуы және өшірілуі

арретирмен жасалады.

Табақшалы анемометрдің қанатшалыдан конструкциясының өзгешілігі, оның

жел қабылдағышы төрт жартылай сфералық

табақшадан тұрады және төмеңгі бөлігі конусты

винттен тұратын, приборды ағаш бағанасына бекіту

үшін, берілу бөлімі корпусқа бекітіледі.


Өлшеу кезінде бұл анемометр вертикальді тұру керек.

Ауаның жылдамдық қозғалысын өлшеу тәртібі

келесідей: басында бастапқы есепті барлық шкаласы

бойынша алады – мыңдық, жүздік, ондық және бірлік.

Содан кейін анемометрдә ауа ағынына орналастырады,

есептік механизмді қосады және уақытын белгілейді.

а б Сурет7 – а) Табақшалыанемометр; б) Қанатшалыанемометр

 

 

ОРЫНДАЛУ ТӘРТІБІ

 

1. Жұмыс орнының ауа температурасын өлшеу

2. Ауаның ылғалдығын өлшеу. Абсолютті және салыстырмалы ауа ылғалдылығын анықтау.

3. Ауаның жылдамдық қозғалысын өлшеу, ауа жылдамдығының қозғалысын өлшеуіш приборларды қолданып өлшеу.

 

ПРАКТИКАЛЫҚ САБАҚТАРҒА ТАПСЫРМА

 

1. Минимальді термометр белгілі бір мерзім аралығында ең төмен температураны анықтауға арналған

Өлшеу жүргізгенде термометр көлденең қалыпта орналасу керек. Капиллярдағы спирт бағанасының ішіне шыны штифтик қойылған. Ауа температурасы төмендесе спирт бағанасы қысқарып, оның беттік керілу пленкасы штифтик резервуар жаққа қарай жылжиды. Ал кейіннен температура көтерілсе спирт бағанасы ұзарып, бет пленкасы штифтиктен ажырайды. Сондықтан штифтик орнында қалып, болған ең төмен температураны көрсетеді.

2. Ауаның ылғалдылығын өлшеу үшін ВИТ психометрлық гигрометрді қолдану керек. Өлшендің нәтижесі 12-кестеге енгізіледі.

 

12-кесте – Салыстырмалы ығалдылық нәтижесін анықтау

 

Термометрлердің көрсеткіштері Көрсеткіштердің айырымы At=tқ- tы,°C Ауаның салыстырмалы ылғалдылық, φ, % Ауаның салыстырмалы орташа ылғалдылық, φ, %
Құрғақ tқ,0C Ылғалtы°С
           
           

Гигрометр майсызданған қылдан тұрады, яғни ылғалда ұзаратын және құрғақ ауада қысқаратын әрекетіне негізделген. Қылдың бір ұшы 1 тілге 2 жалғанған, ол шкала бойынша қозғалып уақыт ішінде салыстырмалы ауа ылғалдылығын көрсетеді.

3.Көрсетілген уақыты бойынша (30...100 С) есептік механизм қосылады және шкала бойыншасоңғы есеп алады. Содан кейін бір секундта өтетін бөліну саны анықталады.


(35)

 

мұндағы N1,N2 — бастапқы және соңғы есеп;

t – өлшеу уақыты, с.

Алынған m саны ағын жылдамдығына пропорционал болады. Сондықтан т шамасы бойынша қозғалыс ауа жылдамдығы график көмегі бойынша анықталады, ол әр приборда болады. Алынған нәтиже нақты болу үшін 3....5 рет өлшенеді.

 

 

БАҚЫЛАУ СҰРАҚТАРЫ

 

1. Жұмыс аумағындағы ауа температурасы қандай құралмен өлшенеді?

2. Абсолют ылғалдылықтың салыстырмалы ылғалдылықтан айырмашылығы?

3. Жұмыс аумағындағы ауаның қозғалу жылдамдығын қандай құралмен өлшейді?

4. Анеометр көрсеткіші бойынша ауа қозғалысының жылдамдығы қалай анықталады?

5. Табақшалы анеометр қандай жылдамдықтарды анықтайды?

 

СӨЖ тапсырмалары

 

1. Метеорологиялық жағдайлар (микроклимат) немен сипатталады?

2. Ауа температурасын өлшеу әдістері мен құралдары.

3. Абсолют ылғалдылық деген не?

4. Салыстырмалы ылғалдылық деген не?

5. Табақшалы және қанатшалы анеометрлердің жұмыс істеу принципі.

6. Гигрометрдің жұмыс істеу принципі.

 

№8 ПРАКТИКАЛЫҚ САБАҚ

 

Тақырыбы: «Жұмыс істеу орнының еңбек жағдайын бағалау».

Сабақтың мақсаты мен міндеттері:студенттерді еңбек ауырлығының көрсеткішін және жұмыс орнындағы ауырлықтың интегралды бағасын анықтаумен таныстыру.

 

САБАҚТЫҢ МАЗМҰНЫ

Жұмыс орнындағы еңбек жағдайын талдау барысында жұмыстың маусымдылығын ескеру қажет.Әрбір орындағы еңбек жағдайын бағалауды еңбек ауырлығының сандық бағасы әдісімен бағалайды.Бұл әдіс практика үшін қажетті дәлдікпен еңбек ауырлығы категориясын анықтауды, ол үшін еңбек жағдайын сипаттайтын сандық-балдық балансты есепке алады.Бұл әдіс бойынша еңбек жағдайының биологиялық маңызды элементтерін алады.Биологиялық маңызды элементтер деп жұмыскер организмінің реакциясын қалыптастыратын (қалыпты, шекаралық, патологиялық) атайды.Еңбек жағдайының әрбін элементін балмен бағалайды (қосымша 1). Балдар саны 1-денс(оптималды жағдай) 6-ға (ауыр жағдайлар) дейін ауысады.Еңбек жағдайы элементі 8-сағаттық жұмыс уақытының 70% аз емес уақытындай болғанда толық балды алады.Кері жағдайда балды бір бірлікке шегереді.Алынған есептеулермен еңбек ауырлығының интегралды бағасын есептейді.

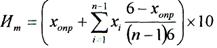
Еңбек ауырлығының интегралды бағасын балмен есептеу:

, (36)

 

мұнда Ит - жұмыс орын ауырлығының интегралды бағасы;

Хопр - балмен жоғары бағаға ие фактор;

- хопр - сіз еңбек жағдайының элементтерінің балл соммасы;

хi - балмен берілген еңбектің биологиялық маңызды элементтері;

n - өндіріс факторларының саны.

 

Егер де фактордың уақыт ұзақтығы ауысым ұзақтығынан аз болса,онда xi балл бағасының берілген фактор әсері уақытына көбейтіндісін есепке алу керек.Бірлік ретінде 8-сағаттық жұмыс күні есептеледі(480 мин).

Химиялық заттардың 1 және 2 қауіптілік топтары, канцерогендік заттар және иондаушы сәулелермен жұмыс жасалмайды.

Ит есептеп, еңбек ауырлығы категориясын анықтайды (кесте 13).

 

Кесте13- Еңбек ауырлығы категориясы

 

Ауырлық категориясы индексі Еңбек ауырлығының Ит интегралды сандық бағасы
  18 дейін
  19,7...33,0
  34,4...45,0
  45,7...53,0
  53,9...58,5
  58,9...60,0

 

ЖҰМЫСТЫ ОРЫНДАУ ТӘРТІБІ

 

Есепті орындау. Жұмыс орнында жұмысшыға 3,3,4,5,6 балмен бағаланған бес элемент әсер етеді.Оның бәрі толық жұмыс уақыты(480 мин) кезінде әсер етеді.Интегралды бағаны және еңбек ауырлығы категориясын анықтаймыз

Иm= =60.

Жауап: ауырлық категориясы - 6.

Жұмыс орнында еңбек жағдайының төрт элементі келесі сәйкес бағаға ие: 3, 3, 4, 6, ал оларға әсер ету уақыты әр түрлі, сәйкесінше 380таймыз, 240, 120, 240 мин, бұл бірлік шамасында: 0,8; 0,5; 0,25; 0,5. Факттық балдық бағаны анық: x1=3×0,8=24; х2= 3×0,5=1,5; х3=4×0,25=1; х4=6×0,5=3.

Иm= =38,1.

Жауап: ауырлық категориясы - 3.Интегралды балдық баға тең.

 

 

ПРАКТИКАЛЫҚ САБАҚҚА ТАПСЫРМА

 

Жұмыс орнының аттестациясы - әрбір жұмыс орнына оның ғылыми-техникалық және ұйымдасу деңгейіне, өндірістің жеткен деңгейіне талдау, жұмыс орындарын әрі қарай қолдану және оны жетілдірудің негізгі бағыттарына баға беретін шаралар жиынтығы.Аттестациялау барысында әрбір жұмыс орны кешенді екі деңгей бойынша бағаланады:еңбек жағдайы және жарақат сақтығы.

Еңбек жағдайын талдау және механикалық жинастыру цехіндегі жұмыс орындарына баға беру, жұмыс орындарының аттестациялау карталарын жасау. 14-кестеде жұмыс орнының аттестациялау картасын жасаудың үлгісі көрсетілген.Әрбір жұмыс орнына картаны жасағанда цехка тән биологиялық маңызды химиялық заттарды белгілеу керек

Интегралды бағаны есептеу және еңбек ауырлығы категориясын анықтау.

 

Кесте 14 - Жұмыс орнының аттестациялау картасы(жұмыс орындарының тобы)

Көрсеткіш Жұмыс орнының атауы
Қыздыру-босату агрегаты Майлы қыздыру ванналары
Берілуі Берілуі
АШК Факт. Бас тарту. + АШК Факт. Бас тарту. +
Химиялық зиянды заттар, мг/м СО - 20   +10 3- 1 0,7 -0,3
Шаң, мг/м3     +5     -1
Вибрация, дБ - - - - - -
Шу (шум), дБА     +40     -20
Жарықтылық, лк     -120     -10
Ауа температурасы, °С     +22     +1
Ауа жылдамдығы, м/с 0,5 1,5 +1 0,5 0,6 +0,1
Еңбек ауырлығы категориясы V III
Жұмыс орнына қорытынды баға рационализцияға жарамды аттестатталды

 

 

БАҚЫЛАУ СҰРАҚТАРЫ

 

1. Еңбек ауырлығы категориясын қалай анықтайды?

2. Жұмыс орнындағы еңбек ауырлығының интегралды сандық бағасын қалай анықтайды?

3. Еңбек процесі барысында жұмысшының патологиялық жағдайы?

 

СӨЖ ТАПСЫРМАСЫ

 

1. Жұмыс орындарын аттестациялау карталары

2. Еңбек ауырлығының категориялары

3. Еңбек ауырлығының интегралды сандық бағасы

4. Ауырлық категориясы индексі



ҚОСЫМША

Қосымша 1 – Өндірістік факторларды бағалау үшін категориялар (еңбек шарттар элементтері)

Фактор атаулары Фактор бағасы, балдар
           
             
А. Санитарлы-гигиеналық факторлар            
2 Жұмыс орнындағы тиімді-эквивалентті ауа температурасы, °С
а) бөлмеде: жылыуақытта суықуақытта     +18...20 +20...22   +21...22 +17...19   +23...28 +15...16   +29...32 +7...14   +33...35 <+7   >+35 <0
б) ашық ауада: қыста жазда - -   0…(-9) +27...35   -10...-14 +36...39   -15...-20 +40...45 <-20 >+45
3 Атмосфералық қысым:  
Жоғары, Мпа Төмеңгі (биіктігі теңіз деңгейінен жоғары, м) - - 0.12...0,16 100..500 0.17..0.22 600..1000 0.23..0.28 1100...2000 0.29...0.3 2100..4000 >0.4 >4000
4 Химиялық заттар АШК бары және еселі жоғарлауы Жоқ АШК 2.5 дейін 2.5 тен 4 ке дейін 4.1 тен 6 ке дейін >6
5 Өндірістік шаң. АШК құрамды және еселі жоғарлауы » АШК »5 »6»10 »11»30 >30
6 Діріл (Вибрация). ҚұрамдаплюсдБ саны, ПДУ асатын, дБ » Жоқ АШД АШД   АШД +3 АШД +5 дейін АШД +6 дейін АШД +10 дейін АШД +9 дейін АШД + дан 10 жоғары АШД + 9 дейін +салқындау АШД дан + 10 жоғары + вибрация
7 Өндірістік шу. Құрамда плюсдБ саны, нормадан асатын, дБ            
                 

 

 

Қосымша1 жалғасы

             
8 Ультрадыбыс (төмеңгі жиілікті, ауада тарайтын). ҚұрамдаплюсдБ саны,ПДУ асатын, дБ 9 Инфрақызыл (жылулық) сәулелену, Вт/м2 10 Радиожиіліктегі электромагниттіөріс. Құрамда плюс нормалаушы параметр, ПДУ асатын: а) 60 кГц...300 МГц, В/м, А/м б) 300 МГц...300 ГГц,, Вт/м2 11. Иондық сәулелену (шекті қабылданатын доға, ШҚД), Зв » » » » » АШД     -     АШД АШД ШҚД төмен АШД +5     »350     АШД +10 АШД +5 ШҚД деңгейінде АШД +10     420 дан14000 ға дейін   АШД +20 АШД +10 >ШҚД әрекетінен уақыт аралығында >25% кезектің ұзақтығы АШД +20     1750 ден 3500 ға дейін   АШД+>20 АШД+10 >ШҚД әрекетінен уақыт аралығында >50% кезектің ұзақтығы АШД дейін +20 жоғары   >3500
12. Өндірістік биологиялық факторлар: микроорганизмдержәне макроорганизмдер Жоқ байланыс Байланысу барысында объектілер
    Қатты емес емделетін аурулар Қатты аурулар, олардан сенімді сақтандыру болады Өте қауіпті инфекциялық аурулар, олардан сенімді сақтандыру бар Өте қауіпті инфекциялық аурулар, олардан сенімді сақтандыру жоқ
Б. Психологиялық факторлар 13. Кезекте физикалық, динамикалық жүктеме, Дж: а) жалпы (корпустың және аяқтың бұлшық еттерінің ерекше қатысуымен) 42х104дейін 43х104тан 83x104дейін 84х104тен 125х104дейін 126х104 дан 170х104дейін >170х104 Басқа қауіпті және зиянды өндірістік факторлардың үйлесуімен >170х104
               

 

 

Қосымша1 жалғасы

             
б) жергілікті (білек бұлшық етінің ерекше қатысуымен) >24х104 22х104ден 42х104дейін 43 х 104тең 62х104дейін 63х104 тең 83х104дейін >83х104 Басқа қауіпті және зиянды өндірістік факторлардың үйлесуімен >83х104
14. Кезек ішінде статистикалық физикалық жүктеме (жүкті көтерген кезде немесе күш жұмсаған кезде), Нхс           Басқа қауіпті және зиянды өндірістік факторлардың үйлесуімен >97х104
бір қолға 18х104дейін 19 х104 тан 36 х104дейін 37 х104ден 70х104дейін 70 х104тен 97 х104дейін >97х104
екі қолға да »43 х104 44х104тен 86 х104дейін 87 х104ден144х104дейін 145 х104тен 220 х104дейін >220 х104 >220 х104
корпус және аяқ бұлшық етіне »61 х104 62 х104тен 123 х104дейін от 124х104 210х104дейін 21 х104ден 300x104 дейін > 300 х104 > 300 х104
Стационарлы жұмыс орны
15. Жұмыстық кейіпте және кеңістікте ауысуы Еркін кейіпте (поза) (кезек кейпі «отырып-тұрып» жұмыскердің қарауынша),корпус және аяқ қолды ыңғайлы жағдайда ауысуы және детальді 5 кг массаға дейін өңдеуі Еркін кейіпте (поза) (кезек кейпі «отырып-тұрып» жұмыскердің қарауынша),корпус және аяқ қолды ыңғайлы жағдайда ауысуы және детальді 5 кг массадан жоғары өңдеуі Еркін емес кейіпте (поза) (отырып немесе тұрып),корпус және аяқ қол ыңғайлы жағдайда Еріксіз кейіпте (поза),корпус және аяқ қол ыңғайлы жағдайда, бірақ жұмыс тар, шектелген кеңістікте (мысалы, транспорт кабинетінде) Еріксіз, ыңғайсыз кейіпте (поза) (тізеде, жүрісінен, жатып, ілініп немесе ременде) қысылған, шектелген кеңістікте(мысалы, забойды тазалауда) жүксіз, кезектің ұзақтығы 50% аса Еріксіз, ыңғайсыз кейіпте (поза) (тізеде, жүрісінен, жатып, ілініп немесе ременде) қысылған, шектелген кеңістікте(мысалы, забойды тазалауда) жүксіз, кезектің ұзақтығы 50% аса
 
1

           
  _ _ Конвейерде жұмыс істеу 1,5 м жоғары биіктікте ауысуы және детальді массасы 5 кг дейін өңдеуі Конвейерде жұмыс істеу 1,5 м жоғары биіктікте ауысуы және детальді 5 кг массадан жоғары өңдеуі 5 м жоғары биіктікте жүксіз жұмыс 5 м асатын биіктікте жүкпен жұмыс
-. - Жұмыс еңкейген жағдайда 30° бұрышта кезек уақыты 25% дейін Жұмыс еңкейген жағдайда 30° бұрышта кезек уақыты 50% дейін немесе 60°-25% дейін Жұмыс еңкейген жағдайда 30° бұрышта кезек уақыты 50%>немесе 60° 50% немесе 90°-25% дейін Жұмыс еңкейген жағдайда 60°бұрышта кезек уақыты 50% асатын немесе 90°- 50% дейін
                 

 
 
 

 


ҰСЫНЫЛҒАН ӘДЕБИЕТТЕР

 

1. Санитарно-гигиеническая оценка условий труда: Учеб. пособие / Коллектив авторов. – М.: Изд-во РУДН, 2002. – 188 с.: ил.

2. Охрана труда и техника безопасности в практической деятельности субъектов Респуб­лики Казахстан / В.И. Скала.- Алматы: Lem, 2002. - 276 с.

3. Шлендер П. Э., Маслова В. М., Подаецкий С. И. Безопасность жизнедеятельности: Учебное пособие/Под. ред. Шлендера П. Э. – М.: Вузовский сборник, 2004.-208с.

4. Мугин О. Г. Безопасность жизнедеятельности. Чрезвычайные ситуации. Практические работы. – М.: Мир, 2003.-80с.

5. Сергеев В. С. Безопасность жизнедеятельности: Учебное пособие./ Под ред. И. Г. Безугенова. - М.: ОАО «Издательский дом Городец», 2004. – 416с.

6. Охрана труда: Служба ОТ в организации. – М.: Инфра – М, 2002. – 376с.

7. Охрана труда: организация и управление: Учебное пособие/ Под.ред. О. Н. Русака. –СПб.: Профессия, 2002. – 240с.

 

 
 

 

КА және ЕҚ кафедра мәжілісінде қарастырылды «__» ___________ 2014 г. № _______хаттама КА және ЕҚ кафедрасфның меңгерушісі _____________Н. Шарипов Тау-кен факултетінің (ГФ) оқу-әдістемелік бюросында бекітілді «_____» _______________ 2014 ж. № _______хаттама УМБ ГФтөрағасы _________________ Ж. Нокина

 







Date: 2015-05-22; view: 1820; Нарушение авторских прав



mydocx.ru - 2015-2026 year. (0.996 sec.) Все материалы представленные на сайте исключительно с целью ознакомления читателями и не преследуют коммерческих целей или нарушение авторских прав - Пожаловаться на публикацию