Главная Случайная страница


Полезное:

Как сделать разговор полезным и приятным Как сделать объемную звезду своими руками Как сделать то, что делать не хочется? Как сделать погремушку Как сделать так чтобы женщины сами знакомились с вами Как сделать идею коммерческой Как сделать хорошую растяжку ног? Как сделать наш разум здоровым? Как сделать, чтобы люди обманывали меньше Вопрос 4. Как сделать так, чтобы вас уважали и ценили? Как сделать лучше себе и другим людям Как сделать свидание интересным?


Категории:

АрхитектураАстрономияБиологияГеографияГеологияИнформатикаИскусствоИсторияКулинарияКультураМаркетингМатематикаМедицинаМенеджментОхрана трудаПравоПроизводствоПсихологияРелигияСоциологияСпортТехникаФизикаФилософияХимияЭкологияЭкономикаЭлектроника






Классификация дубильных веществ





 

Так как дубильные вещества представляют собой смеси различных полифенолов с разнообразным химическим составом, классификация их затруднена.

Наибольшее признание получила классификация Г. Поварнина (1911 г.) и К. Фрейденберга (1933 г.), основанная на химической природе дубильных веществ и их отношении к гидролизующим агентам. Согласно этой классификации дубильные вещества делятся на две большие группы:

1. гидролизуемые танниды;

2. конденсированные танниды.

1. Гидролизуемые дубильные вещества - это смеси сложных эфиров фенолкарбоновых кислот с сахарами и несахаридами. В водных растворах под действием кислот, щелочей и ферментов они способны гидролизоваться на составные части фенольной и нефенольной природы. Гидролизуемые дубильные вещества можно разделить на три группы.

1.1. Галлотаннины – сложные эфиры кислоты галловой, дигалловой и других ее полимеров с циклическими формами cахаров (обычно D-глюкозой).

Кислота галловая бета -Глюкогаллин

 

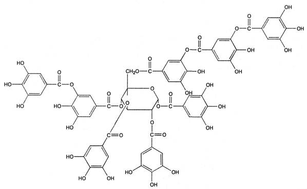
Промышленными источниками галлотаннинов, применяемых в медицине (медицинского таннина), являются галлы турецкие – патологические наросты, образующиеся на дубе красильном (Quercus infectoria Oliv.), галлы китайские, образующиеся на сумахе китайском (Rhus chinensis Mill.), листья сумаха дубильного (Rhus coriaria L.) и листья скумпии кожевенной (Cotinus coggygria Scop.). Таннин представляет собой гетерогенную смесь веществ различного строения. Встречаются моно-, ди-, три-, тетра-, пента- и полигаллоильные эфиры.

Детальная расшифровка строения таннина была дана в 1961-1963 гг. В. Хэуорсом. Китайский таннин, выделенный из китайских галлов, является окта- и нонагаллоилглюкозой.

Структура китайского таннина

 

Турецкий таннин, выделенный из турецких галлов, представляет собой гекса- и гептагаллоилглюкозу.

Структура турецкого таннина

(R3 = кислота галловая; R4 = кислота m-дигалловая)

 

Дубильные вещества этой группы содержатся и преобладают в корневищах и корнях кровохлебки, корневищах змеевика, корневищах бадана, соплодиях ольхи, коре дуба.

1.2. Эллаготаннины - эфиры кислоты эллаговой и других кислот, имеющих с ней биогенетическое родство, с циклическими формами cахаров (D-глюкозой).

Эллаготаннины сложны по структуре и содержатся главным образом в тропических и субтропических растениях. Найдены в околоплоднике плодов гранатника, коре эвкалипта, околоплоднике грецкого ореха, коре дуба, соплодиях ольхи, листьях и соцветиях кипрея узколистного (иван-чая).

Галлотаннины и эллаготаннины в растениях могут встречаться одновременно.

1.3. Несахаридные эфиры фенолкарбоновых кислот представляют собой эфиры кислоты галловой с кислотами хинной, гидроксикоричными (хлорогеновой, кофейной, гидроксикоричной), а также с флаванами (катехингаллат).

Эта группа широко распространена в растениях. Эфиры кислоты галловой и катехинов находятся в листьях чая китайского – Camellia sinensis (L.) Kuntze. Из зеленого чая выделен теогаллин, представляющий собой эфир кислот хинной и галловой (кислота 3-О-галлоилхинная).

2. Конденсированные дубильные вещества не обладают характером эфиров, полимерная цепь этих соединений образована посредством углерод-углеродных связей (-С-С-), что обусловливает их устойчивость к воздействию кислот, щелочей и ферментов. При действии минеральных кислот они не расщепляются, а увеличивают молекулярную массу с образованием продуктов окислительной конденсации – флобафенов, или красеней, красно-коричневого цвета.

Конденсированные дубильные вещества - это продукты конденсации катехинов (флаван-3-олов), лейкоантоцианидинов (флаван-3,4-диолов), реже гидроксистильбенов (фенилэтиленов).

Образование конденсированных дубильных веществ может идти двумя путями. По К. Фрейденбергу, оно сопровождается разрывом пиранового кольца катехинов, и С2-атом одной молекулы соединяется углерод-углеродной связью с С6- или С8-атомом другой молекулы.

По Д. Е. Хатуэю, конденсированные дубильные вещества образуются в результате ферментативной окислительной конденсации молекул катехинов и лейкоантоцианидинов по типу «голова к хвосту» (кольцо А к кольцу В) или «хвост к хвосту» (кольцо В к кольцу В) по положениям 5'→8; 5'→2'' и др.

Конденсированные дубильные вещества содержатся и преобладают в коре калины, корневищах лапчатки, плодах черники, плодах черемухи, траве зверобоя, листьях чая.

В состав смесей дубильных веществ входят также простые фенолы (резорцин, пирокатехин, пирогаллол, флороглюцин и др.) и свободные фенолкарбоновые кислоты (галловая, эллаговая, протокатеховая и др.).

Чаще всего в растениях встречается смесь гидролизуемых и конденсированных таннидов с преобладанием той или иной группы, поэтому классифицировать лекарственное растительное сырье по типу дубильных веществ достаточно сложно. В некоторых видах сырья отмечено почти одинаковое содержание обеих групп дубильных веществ (например, корневища змеевика).

 







Date: 2015-05-22; view: 1310; Нарушение авторских прав



mydocx.ru - 2015-2026 year. (1.418 sec.) Все материалы представленные на сайте исключительно с целью ознакомления читателями и не преследуют коммерческих целей или нарушение авторских прав - Пожаловаться на публикацию