Главная Случайная страница


Полезное:

Как сделать разговор полезным и приятным Как сделать объемную звезду своими руками Как сделать то, что делать не хочется? Как сделать погремушку Как сделать так чтобы женщины сами знакомились с вами Как сделать идею коммерческой Как сделать хорошую растяжку ног? Как сделать наш разум здоровым? Как сделать, чтобы люди обманывали меньше Вопрос 4. Как сделать так, чтобы вас уважали и ценили? Как сделать лучше себе и другим людям Как сделать свидание интересным?


Категории:

АрхитектураАстрономияБиологияГеографияГеологияИнформатикаИскусствоИсторияКулинарияКультураМаркетингМатематикаМедицинаМенеджментОхрана трудаПравоПроизводствоПсихологияРелигияСоциологияСпортТехникаФизикаФилософияХимияЭкологияЭкономикаЭлектроника






Статистика цен





Статистика цен – один из разделов экономической статистики, изучающий цены в различных секторах экономики: промышленности, сельском хозяйстве, строительстве, тарифы на разные услуги. Статистика цен исследует их уровень, структуру, закономерности изменения, динамику, изучает принципы и методы регистрации цен и тарифов, исследует колебание и соотношение цен, изучает информационные процессы и индексацию денежных доходов населения. Особое внимание статистика цен уделяет проблемам оценки влияния индекса потребительских цен на объем, структуру потребления и уровень реальных доходов различных социальных групп населения, исследует проблемы цен в конкретных условиях, с учетом места, времени и периода экономического развития.

Выделяют три этапа статистического исследования цен: статистическое наблюдение, сводку и группировку наблюдений, анализ полученных обобщенных материалов и показателей. Регистрация цен может проходить двумя способами. В условиях стабильных цен, устанавливаемых государством, применялся статистический учет. С переходом к рынку в отечественной экономике стал использоваться выборочный метод, применяемый в странах с поточной экономикой и основанный на принципах репрезентативной статистики и сопоставимости. На втором этапе репрезентативные данные подвергаются систематизации и обобщению. На третьей стадии статистического исследования сводной статистический материал о ценах анализируется, выявляются тенденции, закономерности, дается их характеристика и оценка. В ходе статистического исследования цен проводится расчет уровня цен и его динамики.

Уровень цен – обобщающий показатель, характеризующий состояние цен за определенный период времени, на определенной территории, по совокупности товаров и товарных видов с близкими потребительскими свойствами. Уровень цен показывает имеющуюся вариацию и проявляется как средняя величина.

Можно выделить индивидуальный, средний и обобщающий уровни цен.

Индивидуальный уровень цен – это сумма денег, уплаченная на рынке за товарную единицу.

Средняя цена – обобщенная характеристика для цен однородных товарных групп, для цен, варьирующих во времени или пространстве. Средние цены исчисляются за определенный период времени (за месяц, квартал, год), по территории (при различии по отдельным территориальным единицам в уровнях цен на данный вид товара), по группам товаров (средняя цена на товар различных категорий и сортов).

В экономико-статистическом анализе цен применяются различные статистические методы, среди которых особое место занимает индексный метод. В статистике цен широко используются различные виды динамических и территориальных индексов. Первые служат для характеристики изменения уровня отдельных видов цен (закупочных, оптовых, розничных и т. д.) во времени, вторые – для выражения соотношения, степени различия одновременно существующих уровней цен одинаковых товаров по разным городам, экономическим регионам, социальным группам.

Чтобы представить динамику цен на какой-либо товар, достаточно располагать ценами за сравниваемые периоды (или на определенные даты). Простое отношение новой цены к ранее действующей позволяет установить не только направление изменения цены на данный товар, но и степень ее изменения. Такую относительную величину принято называть индивидуальным индексом цен (i = p1 / p0).

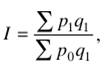
Распространенными типами индексов цен являются агрегатный и средний гармонический. Большинство индексов цен исчисляется по агрегатной формуле с весами текущего периода:

 

где Р1 и po – цены товара в текущем и базисном периодах; д1 – количество продукции текущего периода.

Каждая часть этого индекса имеет ясное экономическое содержание: ΣР1д1 – фактический объем реализованной (или произведенной) продукции текущего периода, ΣР0Ч1 – условный объем реализации (производства) продукции текущего периода в ценах базисного периода.

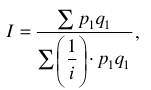
Агрегатный индекс цен исчисляется во всех случаях, когда имеются отчетные данные о количестве реализованной (произведенной) продукции в натуральном выражении. Если же учет продукции ведется только в стоимостной форме, то расчет индекса цен осуществляется по формуле среднего гармонического индекса:

 

где i =p1/p0

По экономическому содержанию приведенные индексы цен идентичны. Обе формы индекса характеризуют относительное изменение среднего уровня цен. При выборе формы индекса прежде всего исходят из специфики ценообразования на конкретные товары и наличия в отчетности исходных данных, получаемых на основе сплошного или выборочного учета.


Индексы цен рассчитываются как для всей совокупности определенного вида цен, так и для отдельных ее частей. В практике по каждому виду цен исчисляются годовые индексы, а также за более короткие периоды – квартальные и месячные.

В анализе динамики цен наряду с индексами широко используются динамические ряды цен, средние групповые цены, данные о затратах и структуре цен отдельных видов товаров. Применяются различные способы расчета средних цен, выбор которых зависит от наличия информации. Для ряда экономических расчетов широко используются средние групповые цены, например цена 1 т мяса всех видов и сортов. Они могут быть исчислены как средняя арифметическая взвешенная, так и как средняя гармоническая взвешенная. Кроме того, средняя групповая цена зависит как от уровня цен каждого вида продукта, так и от структуры продаж – удельного веса каждого вида продукта в объеме реализации. Уровень цен неразрывно связан с покупательной способностью дохода населения – величиной, измеряемой товарным эквивалентом денежному доходу и представляющей относительный уровень цен.

Покупательная способность денежного дохода показывает возможность купить какое-либо количество товара на величину среднедушевого денежного дохода, средней заработной платы, среднего размера пенсий и т. д. Расчет можно вести как для всего населения, так и для отдельных социальных групп в целом по стране или по отдельным регионам:

 

где ПС – покупательная способность; Д – среднедушевой денежный доход; P – средняя цена товара.

Таким образом, цена выражает стоимость товара в денежных единицах, а покупательная способность – это стоимость денег, выраженная в товарах, т. е. она показывает, сколько товаров можно купить на одну денежную единицу. При росте покупательной способности рубля необходимо использовать уровень только потребительских цен, и следует иметь в виду, что покупательная способность денег находится под влиянием одних лишь цен только при неизменности вида и качества товаров, структуры цен, отсутствия черного рынка. На уровень цен оказывают влияние многообразные ассортиментные сдвиги: появление новых видов товаров, исчезновение старых, изменение доли отдельных товаров в структуре потребления, сезонные колебания цен.

 







Date: 2015-05-22; view: 543; Нарушение авторских прав



mydocx.ru - 2015-2026 year. (1.596 sec.) Все материалы представленные на сайте исключительно с целью ознакомления читателями и не преследуют коммерческих целей или нарушение авторских прав - Пожаловаться на публикацию