Главная Случайная страница


Полезное:

Как сделать разговор полезным и приятным Как сделать объемную звезду своими руками Как сделать то, что делать не хочется? Как сделать погремушку Как сделать так чтобы женщины сами знакомились с вами Как сделать идею коммерческой Как сделать хорошую растяжку ног? Как сделать наш разум здоровым? Как сделать, чтобы люди обманывали меньше Вопрос 4. Как сделать так, чтобы вас уважали и ценили? Как сделать лучше себе и другим людям Как сделать свидание интересным?


Категории:

АрхитектураАстрономияБиологияГеографияГеологияИнформатикаИскусствоИсторияКулинарияКультураМаркетингМатематикаМедицинаМенеджментОхрана трудаПравоПроизводствоПсихологияРелигияСоциологияСпортТехникаФизикаФилософияХимияЭкологияЭкономикаЭлектроника






Относительные показатели





В случае, когда одно или несколько неравенств системы имеют противоположный знак от зафиксированного в оптимальном варианте, ликвидность баланса в большей или меньшей степени отличается от абсолютной. При этом недостаток средств по одной группе активов компенсируется их избытком по другой группе в стоимостной оценке, в реальной же ситуации менее ликвидные активы не могут заместить более ликвидные.

Сопоставление ликвидных средств и обязательств позволяет вычислить следующие показатели:

- текущая ликвидность, которая свидетельствует о платежеспособности (+) или неплатежеспособности (-) организации на ближайший к рассматриваемому моменту промежуток времени:

 

ТЛ = (А1 + А2)-(П1 + П2), (1)

 

где А1 – Наиболее ликвидные активы

А2 – Быстро реализуемые активы

П1 – Наиболее срочные обязательства

П2 - Краткосрочные пассивы

 

- перспективная ликвидность - это прогноз платежеспособности на основе сравнения будущих поступлений и платежей:

 

ПЛ = A3 – ПЗ, (2)

 

где A3 - Медленно реализуемые активы

ПЗ - Долгосрочные пассивы

 

Для анализа ликвидности баланса составляется таблица. В графы этой таблицы записываются данные на начало и конец отчетного периода из сравнительного аналитического баланса по группам актива и пассива. Сопоставляя итоги этих групп, определяют абсолютные величины платежных излишков или недостатков на начало и конец отчетного периода.

Анализ ликвидности баланса сводится к проверке того, покрываются ли обязательства в пассиве баланса активами, срок превращения которых в денежные средства равен сроку погашения обязательств.

Сопоставление итогов I группы по активу и пассиву, т.е. А1 и П1 (сроки до 3-х месяцев), отражает соотношение текущих платежей и поступлений. Сравнение итогов II труппы по активу и пассиву, т.е. А2 и П2 (сроки от 3-х до 6-ти месяцев), показывает тенденцию увеличения или уменьшения текущей ликвидности в недалеком будущем. Сопоставление итогов по активу и пассиву для III и IV групп отражает соотношение платежей и поступлений в относительно отдаленном будущем. Анализ, проводимый по данной схеме, достаточно полно представляет финансовое состояние с точки зрения возможностей своевременного осуществления расчетов.

Различные показатели ликвидности не только дают характеристику устойчивости финансового состояния организации при разной степени учета ликвидности средств, но и отвечают интересам различных внешних пользователей аналитической информации. Например, для поставщиков сырья и материалов наиболее интересен коэффициент абсолютной ликвидности. Банк, дающий кредит данной организации, больше внимания уделяет коэффициенту «критической» оценки.

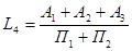
Коэффициент текущей ликвидности (L4) позволяет установить, в какой кратности текущие активы покрывают краткосрочные обязательства. Это главный показатель платежеспособности. Нормальным значением для данного показателя считаются соотношения от 2 до 3. Если соотношение текущих активов и краткосрочных обязательств ниже, чем 1:1, то можно говорить о высоком финансовом риске, связанным с тем, что организация не в состоянии оплатить свои счета. Если же значение коэффициента L4 превышает 1 то можно сделать вывод о том, что организация располагает некоторым объемом свободных ресурсов (чем выше коэффициент, тем больше этот объем), формируемых за счет собственных источников.

В финансовой теории есть положение, что чем выше оборачиваемость оборотных средств, тем меньше может быть нормальный уровень коэффициента текущей ликвидности. Связь нормального коэффициента текущей ликвидности с материалоемкостью может быть объяснена логически: чем меньше необходимая потребность в материальных ресурсах, тем меньшая часть средств расходуется на приобретение материалов и тем большая часть оставляется на погашение долгов. Иными словами, организация может считаться платежеспособной при условии, что сумма ее оборотных активов равна сумме краткосрочно задолженности.

Коэффициент текущей ликвидности (L4) обобщает предыдущие показатели и является одним из показателей, характеризующие удовлетворительность (неудовлетворительность) бухгалтерское баланса [2].

 

Таблица 1.- Коэффициенты, характеризующие платежеспособность.

 

№ п. п. Наименование показателя Способ расчета Нормальное ограничение Пояснения
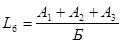
    Общий пока­затель ликвид­ности     XXX        
  Коэффициент абсолютной ликвидности L2>0.2/0.7 показывает, какую часть краткосрочной задолженности орга­низация может пога­сить в ближайшее время
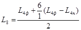
  Коэффициент «критической оценки» L3>0.7/1.0 opt. ~ 0.7/0.8 показывает, какая часть краткосрочных обязательств органи­зации может быть немедленно погаше­на за счет средств на различных счетах, в краткосрочных цен­ных бумагах, а также поступлений по рас­четам
  Коэффициент текущей лик­видности необходимое значение 1; оптимальное не менее 2,0 показывает, какую часть текущих обя­зательств по креди­там и расчетам мож­но погасить, мобили­зовав все оборотные средства  
    Продолжение таблицы 1
  Коэффициент маневренности функционирующего капитала   уменьшение показателя в динамике -положительный факт показывает, какая часть функциони­рующего капитала обездвижена в про­изводственных за­пасах
 
  Доля оборот­ных средств в активах XXX  
  Коэффициент обеспеченнос­ти собствен­ными средст­вами не менее 0,1 характеризует нали­чие собственных оборотных средств у организации, необ­ходимых для ее фи­нансовой устойчи­вости
  Коэффициент восстановления платежеспособности организации не менее 1,0 рассчитывается в случае, если хотя бы один из коэффициентов L4 или L7 принимает значение меньшее критичного
  Коэффициент утраты платежеспособности организации не менее 1,0 рассчитывается в случае, если оба коэффициента L4 и L7 принимает значение меньшее критериального







Date: 2015-05-22; view: 651; Нарушение авторских прав



mydocx.ru - 2015-2026 year. (0.075 sec.) Все материалы представленные на сайте исключительно с целью ознакомления читателями и не преследуют коммерческих целей или нарушение авторских прав - Пожаловаться на публикацию