Главная Случайная страница


Полезное:

Как сделать разговор полезным и приятным Как сделать объемную звезду своими руками Как сделать то, что делать не хочется? Как сделать погремушку Как сделать так чтобы женщины сами знакомились с вами Как сделать идею коммерческой Как сделать хорошую растяжку ног? Как сделать наш разум здоровым? Как сделать, чтобы люди обманывали меньше Вопрос 4. Как сделать так, чтобы вас уважали и ценили? Как сделать лучше себе и другим людям Как сделать свидание интересным?


Категории:

АрхитектураАстрономияБиологияГеографияГеологияИнформатикаИскусствоИсторияКулинарияКультураМаркетингМатематикаМедицинаМенеджментОхрана трудаПравоПроизводствоПсихологияРелигияСоциологияСпортТехникаФизикаФилософияХимияЭкологияЭкономикаЭлектроника






Определение ресурса электрооборудования





1) Ресурс контактов по сопротивлению:

Метод многоступенчатого линейного прогнозирования базируется на данных измерений, проводимых при систематических диагностированиях через определенные промежутки времени [1]. Метод позволяет определить гарантированный ресурс безотказной работы элементов электрооборудования:

Изм.Изм.
ЛистЛист
№ докум.№докум.
ПодписьПодпись
ДатаДата
Лист
 
03.24.163.14-ПЗ 03.24.229.11-ПЗ  
(4)

где Пп, Пи – соответственно предельное, измеренное и начальное значения параметра;

tо – период между данным и предыдущим диагностированием,

принимаем tо=1260 ч; [1] c. 30.

– корректирующий коэффициент;

–изменения величины параметра при предыдущем диагностировании.

=213 мкОм

= Rип=50,5 мкОм

= Rин=42 мкОм

= Rи =238,2 мкОм

Так как параметр изменяется по уменьшающейся криволинейной зависимости с убывающей интенсивностью, то принимаем ко=1 согласно

[1] с.30.

Определим гарантированный ресурс безотказной работы контактов:

 

 

Так как ресурс контактов исчерпан принимаем

2. Определим ресурс спирали ТЭНов, используя метод линейного прогнозирования, так как зависимость величины сопротивление спирали ТЭНов в холодном состоянии от времени линейная.

Остаточный ресурс объекта диагностирования:

 

, (5)

 

 

где t – наработка от начала эксплуатации, ч;

Кост – коэффициент остаточного ресурса.

Коэффициент остаточного ресурса определяется по формуле:

Изм.Изм.
ЛистЛист
№ докум.№докум.
ПодписьПодпись
ДатаДата
Лист
 
03.24.163.14-ПЗ 03.24.229.11-ПЗ  
(6)

где Пн – начальное значения параметра.

= Rкп=50,5 Ом

= Rкн=42 Ом

= Rк =47,3 Ом

Кост =0,37

 

tост =3700 ч.

3. Определим ресурс сопротивления изоляции используя метод многоступенчатого линейного прогнозирования:

Рассчитаем гарантированный ресурс безотказной работы:

=2,18 МОм

= Rип=0,9 МОм

= Rин=150МОм

= Rи =0,75 МОм

Так как параметр изменяется по уменьшающейся криволинейной зависимости с убывающей интенсивностью, то принимаем ко=1 согласно [1] с.30.

 

 

Так как ресурс контактов исчерпан принимаем

На основании проведенных расчетов остаточного (гарантированного) ресурса определяем наработку на отказ:

, (7)

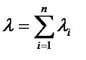
Интенсивность отказов оборудования определяется суммированием интенсивностей отказов отдельных его элементов λі:

, (8)

где n – число элементов электрооборудования.

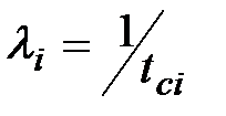
Интенсивность отказов і-го элемента:

Изм.Изм.
ЛистЛист
№ докум.№докум.
ПодписьПодпись
ДатаДата
Лист
 
03.24.163.14-ПЗ 03.24.229.11-ПЗ  
, (9)

где tсi – срок службы і-го элемента оборудования, ч.

Срок службы определяется суммированием наработки элемента и остаточного ресурса (гарантированного ресурса) – см. раздел 3.1:

(10)

Или:

(11)

1) Определяем наработку на отказ для контактов:

2) Определяем наработку на отказ для изоляции питающего кабеля:

;

3) Определяем наработку на отказ для величины сопротивление спирали ТЭНов:

;

Интенсивность отказов водонагревателя определяется суммированием интенсивностей отказов отдельных его элементов λі:

Определяем наработку на отказ для заданного электрооборудования:







Date: 2015-05-19; view: 1369; Нарушение авторских прав



mydocx.ru - 2015-2026 year. (1.118 sec.) Все материалы представленные на сайте исключительно с целью ознакомления читателями и не преследуют коммерческих целей или нарушение авторских прав - Пожаловаться на публикацию