Дуализм свойств микрочастиц. Соотношение неопределенностей Гейзенберга
-----------------------------------------------------------------------
1. Неопределенность в определении местоположения частицы, движущейся вдоль оси x, равна длине волны де Бройля для этой частицы. Относительная неопределенность ее скорости не меньше _____ %.
-----------------------------------------------------------------------
Решение: Из соотношения неопределенностей Гейзенберга для координаты и соответствующей компоненты импульса следует, что . Здесь – неопределенность координаты, – неопределенность x-компоненты импульса, – неопределенность x-компоненты скорости, – масса частицы; – постоянная Планка, деленная на . По условию , где – длина волны де Бройля, определяемая соотношением . Здесь – постоянная Планка. Подставляя это выражение в соотношение неопределенностей, получаем: 
-----------------------------------------------------------------------
2. Ширина следа электрона на фотографии, полученной с использованием камеры Вильсона, составляет 1 мм. Учитывая, что постоянная Планка , а масса электрона неопределенность в определении скорости электрона будет не менее …
-----------------------------------------------------------------------
Решение: Из соотношения неопределенностей Гейзенберга для координаты и соответствующей компоненты импульса следует, что , где – неопределенность координаты, – неопределенность x-компоненты импульса, – неопределенность x-компоненты скорости, – масса частицы; – постоянная Планка, деленная на . Неопределенность x-компоненты скорости электрона можно найти из соотношения 
-----------------------------------------------------------------------
3. Если протон и -частица прошли одинаковую ускоряющую разность потенциалов, то отношение их длин волн де Бройля равно …
-----------------------------------------------------------------------
Решение: -частица – это ядро атома гелия, состоящее из двух протонов и двух нейтронов. Длина волны де Бройля определяется по формуле , где p – импульс частицы. Импульс частицы можно выразить через ее кинетическую энергию: . По теореме о кинетической энергии, согласно которой работа сил электрического поля идет на приращение кинетической энергии, . Отсюда можно найти , полагая, что первоначально частица покоилась: Окончательное выражение для длины волны де Бройля через ускоряющую разность потенциалов имеет вид: Учитывая, что и отношение длин волн де Бройля протона и -частица равно: 
-----------------------------------------------------------------------
4. Отношение длин волн де Бройля для протона и α-частицы, имеющих одинаковую кинетическую энергию, равно …
|
| |
| 1/2
| |
|
| |
| 1/4
| -----------------------------------------------------------------------
Решение: Длина волны де Бройля определяется по формуле где p – импульс частицы. Импульс частицы можно выразить через ее кинетическую энергию: Тогда отношение длин волн де Бройля для протона и α-частицы, имеющих одинаковую кинетическую энергию, При этом учтено, что α-частица, состоящая из двух протонов и двух нейтронов, имеет массу 
-----------------------------------------------------------------------
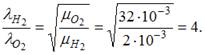
5. Отношение длин волн де Бройля для молекул водорода и кислорода, соответствующих их наиболее вероятным скоростям при одной и той же температуре, равно …
-----------------------------------------------------------------------
Решение: Длина волны де Бройля определяется формулой где – постоянная Планка, и – масса и скорость частицы. Наиболее вероятная скорость молекулы Здесь k – постоянная Больцмана, R – универсальная газовая постоянная, – молярная масса газа. Тогда 
-----------------------------------------------------------------------
6. Время жизни атома в возбужденном состоянии 10 нс. Учитывая, что постоянная Планка , ширина энергетического уровня (в эВ) составляет не менее …
-----------------------------------------------------------------------
Решение: Соотношение неопределенностей для энергии и времени имеет вид , где неопределенность в задании энергии (ширина энергетического уровня), время жизни частицы в данном состоянии. Тогда 
-----------------------------------------------------------------------
7. Если молекула водорода, позитрон, протон и -частица имеют одинаковую длину волны де Бройля, то наибольшей скоростью обладает …
| позитрон
| |
| молекула водорода
| |
| протон
| |
| -частица
| -----------------------------------------------------------------------
Решение: Длина волны де Бройля определяется формулой , где – постоянная Планка, и – масса и скорость частицы. Отсюда скорость частицы равна . По условию задания , следовательно, . Тогда наибольшей скоростью обладает частица с наименьшей массой. Известно, что . Следовательно, наибольшей скоростью обладает позитрон.
-----------------------------------------------------------------------
8. Положение пылинки массой можно установить с неопределенностью . Учитывая, что постоянная Планка , неопределенность скорости (в м/с) будет не менее …
-----------------------------------------------------------------------
Решение: Из соотношения неопределенностей Гейзенберга для координаты и соответствующей компоненты импульса следует, что , где – неопределенность координаты, – неопределенность x-компоненты импульса, – неопределенность x-компоненты скорости, – масса частицы; – постоянная Планка, деленная на . Неопределенность x-компоненты скорости пылинки можно найти из соотношения 
-----------------------------------------------------------------------
УРАВНЕНИЯ ШРЕДИНГЕРА (ОБЩИЕ СВОЙСТВА)
-----------------------------------------------------------------------
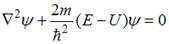
1. Стационарное уравнение Шредингера имеет вид . Это уравнение описывает …
| линейный гармонический осциллятор
| |
| движение свободной частицы
| |
| электрон в трехмерном потенциальном ящике
| |
| электрон в водородоподобном атоме
| -----------------------------------------------------------------------
Решение: Стационарное уравнение Шредингера в общем случае имеет вид . Здесь – потенциальная энергия микрочастицы. В данной задаче соответствует гармоническому осциллятору, то есть движению частицы под действием квазиупругой силы. Следовательно, данное уравнение описывает движение частицы под действием квазиупругой силы, то есть линейный гармонический осциллятор.
-----------------------------------------------------------------------
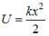
2. Стационарное уравнение Шредингера описывает линейный гармонический осциллятор, если потенциальная энергия имеет вид …
-----------------------------------------------------------------------
Решение: Стационарное уравнение Шредингера в одномерном случае имеет вид Здесь – потенциальная энергия. Выражение представляет собой потенциальную энергию линейного гармонического осциллятора. В этом случае уравнение Шредингера описывает линейный гармонический осциллятор.
-----------------------------------------------------------------------
3. Верным для уравнения Шредингера является утверждение, что оно …
| является нестационарным
| |
| соответствует одномерному случаю
| |
| является стационарным
| |
| описывает состояние микрочастицы в одномерном бесконечно глубоком прямоугольном потенциальном ящике
| -----------------------------------------------------------------------
Решение: Уравнение называют нестационарным (временным) уравнением Шредингера, так как функция является функцией не только пространственных координат, но и времени, и оно содержит производную от функции по времени.
-----------------------------------------------------------------------
4. Верным для уравнения Шредингера , где = const является утверждение:
| Уравнение характеризует движение микрочастицы в области пространства, где потенциальная энергия – постоянная величина.
| |
| Уравнение соответствует трехмерному случаю.
| |
| Уравнение является нестационарным.
| |
| Уравнение описывает линейный гармонический осциллятор.
| -----------------------------------------------------------------------
Решение: Уравнение стационарно, так как волновая функция не зависит от времени (отсутствует производная по времени). Стационарное уравнение Шредингера в общем случае имеет вид: . Здесь потенциальная энергия микрочастицы. По условию const. Для гармонического осциллятора . Поэтому из приведенных утверждений верным является следующее: «Уравнение характеризует движение микрочастицы в области пространства, где потенциальная энергия – постоянная величина».
-----------------------------------------------------------------------
5. Стационарное уравнение Шредингера в общем случае имеет вид . Здесь потенциальная энергия микрочастицы. Трехмерное движение свободной частицы описывает уравнение …
-----------------------------------------------------------------------
Решение: Свободной называется частица, не подверженная действию силовых полей. Это означает, что . Поэтому трехмерное движение свободной частицы описывает уравнение .
-----------------------------------------------------------------------
6. Стационарное уравнение Шредингера в общем случае имеет вид . Здесь потенциальная энергия микрочастицы. Электрону в одномерном потенциальном ящике с бесконечно высокими стенками соответствует уравнение …
-----------------------------------------------------------------------
Решение: Для одномерного случая . Кроме того, внутри потенциального ящика U = 0, а вне ящика частица находиться не может, так как его стенки бесконечно высоки. Поэтому уравнение Шредингера для частицы в одномерном ящике с бесконечно высокими стенками имеет вид .
-----------------------------------------------------------------------
7. Верным для уравнения Шредингера является утверждение:
| Уравнение характеризует движение электрона в водородоподобном атоме.
| |
| Уравнение соответствует одномерному случаю.
| |
| Уравнение является нестационарным.
| |
| Уравнение описывает состояние микрочастицы в бесконечно глубоком прямоугольном потенциальном ящике.
| -----------------------------------------------------------------------
Решение: Уравнение стационарно, так как волновая функция не зависит от времени (отсутствует производная по времени). Стационарное уравнение Шредингера в общем случае имеет вид: . Здесь потенциальная энергия микрочастицы. В данном случае . Это выражение представляет собой потенциальную энергию электрона в водородоподобном атоме. Поэтому приведенное уравнение Шредингера характеризует движение электрона в водородоподобном атоме.
-----------------------------------------------------------------------
8. Стационарное уравнение Шредингера описывает движение свободной частицы, если потенциальная энергия имеет вид …
-----------------------------------------------------------------------
Решение: Стационарное уравнение Шредингера в общем случае имеет вид Здесь – потенциальная энергия частицы. Свободной называется частица, не подверженная действию силовых полей. Это означает, что В этом случае приведенное уравнение Шредингера описывает движение свободной частицы.
-----------------------------------------------------------------------
9. Стационарное уравнение Шредингера имеет вид . Это уравнение описывает движение …
| частицы в трехмерном бесконечно глубоком потенциальном ящике
| |
| частицы в одномерном бесконечно глубоком потенциальном ящике
| |
| линейного гармонического осциллятора
| |
| электрона в водородоподобном атоме
| -----------------------------------------------------------------------
Решение: Бесконечная глубина ящика (ямы) означает, что потенциальная энергия частицы внутри ящика равна нулю, а вне ящика – бесконечности. Таким образом, 0. Поэтому движение частицы в трехмерном бесконечно глубоком потенциальном ящике описывает уравнение .
-----------------------------------------------------------------------
УРАВНЕНИЕ ШРЕДИНГЕРА (КОНКРЕТНЫЕ СИТУАЦИИ)
-----------------------------------------------------------------------
1. На рисунках схематически представлены графики распределения плотности вероятности по ширине одномерного потенциального ящика с бесконечно высокими стенками для состояний электрона с различными значениями главного квантового числа n: В состоянии с n = 2 вероятность обнаружить электрон в интервале от до равна …
| 1/2
| |
| 1/4
| |
| 3/4
| |
| 3/8
| -----------------------------------------------------------------------
Решение: Вероятность обнаружить микрочастицу в интервале (a, b) для состояния, характеризуемого определенной -функцией, равна . Из графика зависимости от х эта вероятность находится как отношение площади под кривой в интервале (a, b) к площади под кривой во всем интервале существования , то есть в интервале (0, l). При этом состояниям с различными значениями главного квантового числа n соответствуют разные кривые зависимости : n = 1 соответствует график под номером 1, n = 2 – график под номером 2 и т.д. Тогда в состоянии с n = 2 вероятность обнаружить электрон в интервале от до равна .
-----------------------------------------------------------------------
2. Момент импульса электрона в атоме и его пространственные ориентации могут быть условно изображены векторной схемой, на которой длина вектора пропорциональна модулю орбитального момента импульса электрона. На рисунке приведены возможные ориентации вектора . Минимальное значение главного квантового числа n для указанного состояния равно …
-----------------------------------------------------------------------
Решение: Магнитное квантовое число m определяет проекцию вектора орбитального момента импульса на направление внешнего магнитного поля: , где (всего 2 l + 1 значений). Следовательно, для указанного состояния . Квантовое число l не может превышать n – 1. Поэтому минимальное значение главного квантового числа n равно 3.
-----------------------------------------------------------------------
3. В результате туннельного эффекта вероятность прохождения частицей потенциального барьера уменьшается с …
| увеличением ширины барьера
| |
| уменьшением массы частицы
| |
| увеличением энергии частицы
| |
| уменьшением высоты барьера
| -----------------------------------------------------------------------
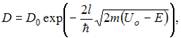
Решение: Вероятность прохождения частицей потенциального барьера или коэффициент прозрачности определяется формулой: где постоянный коэффициент, близкий к единице, ширина барьера, масса частицы, высота барьера, энергия частицы. Следовательно, вероятность прохождения уменьшается с увеличением ширины барьера.
-----------------------------------------------------------------------
4. В результате туннельного эффекта вероятность прохождения частицей потенциального барьера увеличивается с …
| уменьшением массы частицы
| |
| увеличением ширины барьера
| |
| уменьшением энергии частицы
| |
| увеличением высоты барьера
| -----------------------------------------------------------------------
Решение: Вероятность прохождения частицей потенциального барьера прямоугольной формы или коэффициент прозрачности определяется формулой: где постоянный коэффициент, близкий к единице, ширина барьера, масса частицы, высота барьера, энергия частицы. Следовательно, вероятность прохождения увеличивается с уменьшением массы частицы.
-----------------------------------------------------------------------
5. Момент импульса электрона в атоме и его пространственные ориентации могут быть условно изображены векторной схемой, на которой длина вектора пропорциональна модулю орбитального момента импульса электрона. На рисунке приведены возможные ориентации вектора : Величина орбитального момента импульса (в единицах ) для указанного состояния равна …
-----------------------------------------------------------------------
Решение: Магнитное квантовое число m определяет проекцию вектора орбитального момента импульса на направление внешнего магнитного поля , где (всего 2 l + 1 значений). Поэтому для указанного состояния . Величина момента импульса электрона определяется по формуле Тогда (в единицах ).
-----------------------------------------------------------------------
6. На рисунках схематически представлены графики распределения плотности вероятности обнаружения электрона по ширине одномерного потенциального ящика с бесконечно высокими стенками для состояний с различными значениями главного квантового числа n. В состоянии с n = 3 вероятность обнаружить электрон в интервале от до равна …
| 1/3
| |
| 1/2
| |
| 1/6
| |
| 2/3
| -----------------------------------------------------------------------
Решение: Вероятность обнаружить микрочастицу в интервале (a, b) для состояния, характеризуемого определенной -функцией, равна . Из графика зависимости от х эта вероятность находится как отношение площади под кривой в интервале (a, b) к площади под кривой во всем интервале существования , то есть в интервале (0, l). При этом состояниям с различными значениями главного квантового числа n соответствуют разные кривые зависимости : n = 1 соответствует график под номером 1, n = 2 – график под номером 2 и т.д. Тогда в состоянии с вероятность обнаружить электрон в интервале от до равна .
-----------------------------------------------------------------------
7. Момент импульса электрона в атоме и его пространственные ориентации могут быть условно изображены векторной схемой, на которой длина вектора пропорциональна модулю орбитального момента импульса электрона. На рисунке приведены возможные ориентации вектора . Значение орбитального квантового числа и минимальное значение главного квантового числа для указанного состояния соответственно равны …
-----------------------------------------------------------------------
Решение: Магнитное квантовое число m определяет проекцию вектора орбитального момента импульса на направление внешнего магнитного поля: , где (всего 2 l + 1 значений). Поэтому для указанного состояния . Квантовое число l не может превышать n – 1. Поэтому минимальное значение главного квантового числа .
-----------------------------------------------------------------------
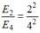
8. Энергия электрона в атоме водорода определяется значением главного квантового числа . Если , то равно …
-----------------------------------------------------------------------
Решение: Собственные значения энергии электрона в атоме водорода обратно пропорциональны ( , где и – масса и заряд электрона соответственно). Тогда . Откуда получаем .
-----------------------------------------------------------------------
9. Квантовая и классическая частицы с энергией Е, движущиеся слева направо, встречают на своем пути потенциальный барьер высоты и ширины . Если P − вероятность преодоления барьера, то для …
| квантовой частицы при , а при
| |
| классической частицы при , а при
| |
| квантовой частицы при , а при
| |
| квантовой частицы зависит только от и не зависит от
| -----------------------------------------------------------------------
Решение: Поведение микрочастицы, встречающей на своем пути потенциальный барьер, существенно различается с точки зрения классической и квантовой механики. По классическим представлениям, если энергия частицы больше высоты барьера ( ), частица беспрепятственно проходит над барьером, то есть вероятность преодоления барьера . Если же , то частица отражается от барьера, сквозь барьер она проникнуть не может и . Согласно квантовой механике даже при имеется отличная от нуля вероятность отражения частицы от барьера и, следовательно, вероятность преодоления барьера . При имеется отличная от нуля вероятность того, что частица проникнет сквозь барьер и окажется в области, где , то есть .
-----------------------------------------------------------------------
10. Частица находится в прямоугольном одномерном потенциальном ящике с непроницаемыми стенками шириной 0,2 нм. Если энергия частицы на втором энергетическом уровне равна 37,8 эВ, то на четвертом энергетическом уровне равна _____ эВ.
| 151,2
| |
| 75,6
| |
| 18,9
| |
| 9,45
| -----------------------------------------------------------------------
Решение: Собственные значения энергии частицы в прямоугольном одномерном потенциальном ящике определяются формулой: , где номер энергетического уровня. Следовательно, и .
-----------------------------------------------------------------------
Date: 2015-05-19; view: 2820; Нарушение авторских прав | Понравилась страница? Лайкни для друзей: |
|
|