Главная Случайная страница


Полезное:

Как сделать разговор полезным и приятным Как сделать объемную звезду своими руками Как сделать то, что делать не хочется? Как сделать погремушку Как сделать так чтобы женщины сами знакомились с вами Как сделать идею коммерческой Как сделать хорошую растяжку ног? Как сделать наш разум здоровым? Как сделать, чтобы люди обманывали меньше Вопрос 4. Как сделать так, чтобы вас уважали и ценили? Как сделать лучше себе и другим людям Как сделать свидание интересным?


Категории:

АрхитектураАстрономияБиологияГеографияГеологияИнформатикаИскусствоИсторияКулинарияКультураМаркетингМатематикаМедицинаМенеджментОхрана трудаПравоПроизводствоПсихологияРелигияСоциологияСпортТехникаФизикаФилософияХимияЭкологияЭкономикаЭлектроника






Ядерная физика. 1. Какие из указанных ниже ядер являются наиболее устойчивыми?

 

1. Какие из указанных ниже ядер являются наиболее устойчивыми?

A) (Энергия связи 482,0 МэВ)

B) (Энергия связи 28,3 МэВ)

C) (Энергия связи 147,8 МэВ)

D) (Энергия связи 1158,5 МэВ)

E) (Энергия связи 00,7 МэВ)

 

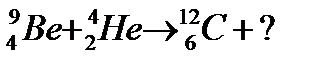
2. Какая частица образуется в результате ядерной реакции

A) Нейтрон

B) Протон

C) - частица

D) - квант

E) Электрон

 

3. Для тяжелых ядер соотношение числа нейтронов N и протонов Z имеет вид ….

A)

B)

C)

D)

E)

 

4. Что называется массовым числом ядра?

A) Количество нуклонов в ядре

B) Количество электронов

C) Количество протонов в ядре

D) Количество нейтронов в ядре

E) Количество позитронов в ядре

 

5. Атомы какого из указанных элементов содержат наименьшее количество электронов?

A)

B)

C)

D)

E)

 

6. Постоянная распада радиоактивного изотопа равна . Чему равен его период полураспада?

A)

B)

C)

D) 6,93 с

E) 1,4 с

 

7. Чему равен заряд ядра?

A) 18

B) 39

C) 57

D) 21

E) 28

 

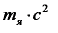
8. Укажите формулу, выражающую энергию связи ядра.

A)

B)

C)

D)

E)

 

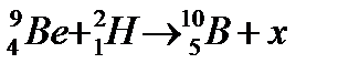
9. Укажите зарядовое Z и массовое А числа частицы х, образовавшейся в результате ядерной реакции

A) Z =0, А = 1

B) Z =3, А = 7

C) Z =1, А = 1

D) Z =0, А = 12

E) Z =5, А=11

 

10. Свойства разрешённых энергетических зон в кристалле: 1-каждая зона содержит столько энергетических уровней, сколько атомов в кристалле; 2-расстояние между уровнями в зоне ; 3-расстояние между уровнями в зоне ; 4-ширина зоны зависит от числа атомов в кристалле; 5-ширина зоны не зависит от числа атомов.

A) 1, 2 и 5

B) 1, 3 и 4

C) 3 и 5

D) Только 4

E) Только 5

 

11. Как изменится порядковый номер химического элемента в периодической системе в результате - распада ядер его атомов

A) Увеличится на единицу

B) Уменьшится на два

C) Не изменится

D) Уменьшится на единицу

E) Уменьшится на единицу или в два раза

 

12. Атом лития содержит 3 электрона, 3 протона и 4 нейтрона. Массовое число ядра атома равно …

A) 7

B) 3

C) 4

D) 6

E) 10

 

13. Укажите закон радиоактивного распада ядер.

A)

B)

C)

D)

E)

 

14. Примерно во сколько раз радиус атома больше радиуса атомного ядра?

A)

B)

C)

D)

E)

 

15. Сколько нейтральных частиц в ядре

A) 4

B) 10

C) 0

D) 7

E) 3

 

16. Ядро претерпело радиоактивное превращение с испусканием позитрона. Каковы характеристики дочернего ядра У.

A)

B)

C)

D)

E)

 

17. Из каких элементарных частиц состоит атомное ядро?

A) Протонов и нейтронов

B) Протонов и электронов

C) Нейтронов и электронов

D) Нейтронов и позитронов

E) Протонов и позитронов

 

18. Активностью радиоактивного препарата называется...

A) число распадов, происходящих в препарате за единицу времени

B) суммарная энергия частиц, излучаемых препаратом за единицу времени

C) время, за которое распадается половина первоначального количества ядер

D) среднее время жизни радиоактивного ядра

E) число распадов, приводящих к уменьшению первоначального количества ядер на 1 %

 

19. Энергия Ферми определяется формулой.

A)

B)

C)

D)

E)

 

20. Какие частицы входят в состав атомного ядра.

A) Нейтроны и протоны

B) , нейтроны, протоны

C) Электроны, нейтроны, протоны

D) Нейтроны и электроны

E) Только протоны

 

21. Чему примерно равно отношение массы атома к массе его атомного ядра?

A) 1

B) 4000

C) 2000

D) 1/2000

E) 1/1000

 

22. Что называется периодом полураспада радиоактивного элемента?

A) Время, за которое число ядер элемента уменьшается в 2 раза

B) Число распадов, происходящих в препарате за единицу времени

C) Число распадов приводящих к уменьшению первоначального количества ядер на 1 %

D) Среднее время жизни радиоактивного ядра

E) Время, за которое число ядер элемента уменьшается в е раз

 

23. Укажите зарядовое Z и массовое А числа частицы Х, образовавшейся в ядерной реакции

A) Z = 2, А = 4

B) Z = 4, А = 2

C) Z = 0, А = 4

D) Z = 1, А = 2

E) Z = 2, А = 2

 

24. Как связаны между собой период полураспада Т радиоактивного элемента и постоянная распада

A)

B)

C)

D)

E)

 

25. Какая из формул выражает закон радиоактивного превращения.

A)

B)

C)

D)

E)

26. Какая из указанных ниже групп атомов образует семейство изотопов одного химического элемента?


A) Атомы, ядра которых отличаются только числом нейтронов в них

B) Атомы, отличающиеся числом электронов в них

C) Атомы, ядра которых содержат различное число протонов

D) Атомы, ядра которых содержат одинаковое суммарное число протонов и нейтронов, но различное число этих частиц по отдельности

E) Молекулы, ядра которых содержат различное число протонов

 

27. Ниже перечислены некоторые свойства известных в природе сил:

- Силы уменьшаются с расстоянием, дальнодействующие

- Обладают свойством насыщения

- Уменьшаются с расстоянием, короткодействующие

- Центральные силы

Какие из указанных свойств присущи ядерным силам.

A) 2 и 3

B) 1 и 2

C) 3 и 4

D) 1 и 4

E) 2 и 4

 

28. Каким из перечисленных свойств не обладают ядерные силы?

A) Центральные силы

B) Короткодействующие силы

C) Зарядовая независимость сил

D) Насыщение сил

E) Ядерные силы зависят от спинов нуклонов

 

29. Какова величина запрещённой зоны (по порядку величины) для диэлектриков.

A)

B)

C)

D)

E)

 

30. На рисунке схематически представлены энергетические спектры электронов двух кристаллов. Укажите принадлежность их определённому типу веществ.

A) 1-полупроводник n-типа, 2- полупроводник p-типа

B) 1-полупроводник n-типа, 2-металл

C) 1- металл, 2- полупроводник р-типа

D) Оба - собственные полупроводники

E) 1- полупроводник р-типа, 2- полупроводник n-типа

 

31. Через р/n-переход протекает ток основных носителей, если потенциал полупроводника р-типа и потенциал полупроводника n-типа имеют значения

A)

B)

C)

D)

E)

 

32. Если валентная зона энергетических уровней в кристалле, граничащая с запрещённой зоной, полностью заполнена, то кристалл является.

A) Диэлектриком или полупроводником

B) Диэлектриком

C) Полупроводником

D) Металлом или полупроводником

E) Металлом

 

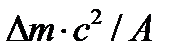
33. Энергия связи нуклонов в ядре равна ….

A) работе, которую нужно совершить, чтобы разделить ядро на составляющие его нуклоны

B) энергии связи, приходящейся на один нуклон

C) количеству энергии, выделяющейся в ядерной реакции.

D) разности между массой данного изотопа и его массовым числом, т.е. числом нуклонов в ядре

E) сумме масс всех частиц, составляющих ядро

 

34. Какой заряд Z и массовое число А будет иметь атомное ядро, получившееся из изотопа полония после - распада.

A) Z=82, А=210

B) Z=84, А=210

C) Z=80, А=214

D) Z=80, А=210

E) Z=82, А=214

 

35. Что называется цепной реакцией?

A) Реакция, в которой частицы, вызывающие ее образуются как продукты этой реакции

B) Реакция синтеза ядер

C) Реакция объединения атомов в молекулы.

D) Термоядерная реакция, в которой получаются изотопы ядер данного вещества

E) Реакция ионизации атомов.

 

36. С помощью счетчика Гейгера можно определить ….

A) количество частиц

B) массу частиц

C) скорость частиц

D) энергию частиц

E) все перечисленное

 

37. Укажите, какие из ядер имеют наибольшее отношение числа нейтронов к числу протонов.

A)

B)

C)

D)

E)

 

38. Каков период полураспада радиоактивного элемента, если его активность уменьшилась в 4 раза за 8 дней?


A) 4 дня

B) 2 дня

C) 1 день

D) 6 дней

E) 8 дней

39. Определить постоянную распада изотопа радия, если период полураспада равен 0,001с

A)

B)

C)

D)

E)

40. Укажите второй продукт ядерной реакции

A)

B)

C)

D)

E)

 

41. Закончить термоядерную реакцию.

A) n

B) 2e

C) 2n

D) p

E) e

 

42. Как изменится полная энергия системы из двух свободных протонов и двух нейтронов при соединении их в атомное ядро гелия?

A) Уменьшится

B) Увеличится

C) Не изменится

D) Может уменьшиться или остаться неизменной

E) Может увеличиться или остаться неизменной

 

43. Какая часть атомов радиоактивного препарата распадается за время, равное двум периодам полураспада?

A) 0,75

B) 0,35

C) 0,5

D) 1,04

E) 0,25

 

44. Определить активность радиоактивного препарата, если за 10 секунд в нем распалось ядер радиоактивного изотопа. Считать активность постоянной в течение данного промежутка времени.

A)

B) 1 Бк

C)

D)

E)

 

45. Чему равен заряд ядра элемента фтора?

A) 9 е

B) 10 е

C) 18 е

D) 28 е

E) е

 

46. Правило смещения при радиоактивном альфа-распаде имеет вид

A)

B)

C)

D)

E)

 

 

47. Ядро состоит из 90 протонов и 144 нейтронов. После испускания двух бета-частиц и одной альфа-частицы, это ядро будет иметь ….

A) 90 протонов и 140 нейтронов

B) 85 протонов и 140 нейтронов

C) 87 протонов и 140 нейтронов

D) 90 протонов и 142 нейтронов

E) 96 протонов и 142 нейтронов

 

48. В результате ряда радиоактивных превращений ядро урана превратилось в ядро свинца. Укажите число альфа- и бета-распадов, в результате которых это произошло.

A)

B)

C)

D)

E)

 

49. При поглощении ядром марганца одного протона образовалось другое ядро и нейтрон. Какое это ядро?

A)

B)

C)

D)

E)

 







Date: 2015-05-18; view: 3109; Нарушение авторских прав



mydocx.ru - 2015-2026 year. (0.473 sec.) Все материалы представленные на сайте исключительно с целью ознакомления читателями и не преследуют коммерческих целей или нарушение авторских прав - Пожаловаться на публикацию