Главная Случайная страница


Полезное:

Как сделать разговор полезным и приятным Как сделать объемную звезду своими руками Как сделать то, что делать не хочется? Как сделать погремушку Как сделать так чтобы женщины сами знакомились с вами Как сделать идею коммерческой Как сделать хорошую растяжку ног? Как сделать наш разум здоровым? Как сделать, чтобы люди обманывали меньше Вопрос 4. Как сделать так, чтобы вас уважали и ценили? Как сделать лучше себе и другим людям Как сделать свидание интересным?


Категории:

АрхитектураАстрономияБиологияГеографияГеологияИнформатикаИскусствоИсторияКулинарияКультураМаркетингМатематикаМедицинаМенеджментОхрана трудаПравоПроизводствоПсихологияРелигияСоциологияСпортТехникаФизикаФилософияХимияЭкологияЭкономикаЭлектроника






Задание 1





Квадрат модуля волновой функции ψ, входящей в уравнение Шредингера, равен…

Варианты ответов:

1) плотности вероятности обнаружения частицы в соответствующем месте пространства;

2)энергии частицы в соответствующем месте пространства;

3) импульсу частицы в соответствующем месте пространства.

Задание 2

Задана пси-функция Ψ(x,y,z) частицы. Вероятность того, что частица будет обнаружена в объёме V, определяется выражением …

Варианты ответов: 1) 2) 3) 4) 5)

 

 

1) 2) 3) 4) 5)

Задание 3

Нестационарным уравнением Шредингера является уравнение…

Варианты ответов:

1) ;

 

2);

 

3) ;

 

4)

Задание 4

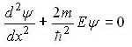
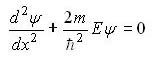
Стационарным уравнением Шредингера является уравнение…

Варианты ответов:

1) ;

 

2) ;

 

3) ;

 

4)

Уравнение Шредингера (конкретные ситуации)

 







Date: 2015-05-18; view: 1143; Нарушение авторских прав



mydocx.ru - 2015-2026 year. (0.949 sec.) Все материалы представленные на сайте исключительно с целью ознакомления читателями и не преследуют коммерческих целей или нарушение авторских прав - Пожаловаться на публикацию