Главная Случайная страница


Полезное:

Как сделать разговор полезным и приятным Как сделать объемную звезду своими руками Как сделать то, что делать не хочется? Как сделать погремушку Как сделать так чтобы женщины сами знакомились с вами Как сделать идею коммерческой Как сделать хорошую растяжку ног? Как сделать наш разум здоровым? Как сделать, чтобы люди обманывали меньше Вопрос 4. Как сделать так, чтобы вас уважали и ценили? Как сделать лучше себе и другим людям Как сделать свидание интересным?


Категории:

АрхитектураАстрономияБиологияГеографияГеологияИнформатикаИскусствоИсторияКулинарияКультураМаркетингМатематикаМедицинаМенеджментОхрана трудаПравоПроизводствоПсихологияРелигияСоциологияСпортТехникаФизикаФилософияХимияЭкологияЭкономикаЭлектроника






Завдання 2. Визначення концентрації розчину цукру





 

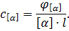
Використавши знайдені значення питомого кута обертання і виміряні значення кута обертання площини поляризації , визначити невідому концентрацію за формулою:

(4)


 

Контрольні запитання

1. Що таке поляризація світла?

2. Які речовини називаються оптично активними?

3. Навести приклади оптично активних речовин.

4. Що таке площина поляризації та площина коливань?

5. Яке світло називається природним та поляризованим?

6. Що таке призма Ніколя і для чого її використовують?

7. Які основні властивості електромагнітної хвилі?

8. Що таке поляриметр і для чого його використовують?

9. Як пояснити явище обертання площини поляризації?

10. У чому полягає ефект Фарадея?

11. Які є способи отримання поляризованого світла?

12. Де використовують явище обертання площини поляризації?


 







Date: 2015-05-18; view: 560; Нарушение авторских прав



mydocx.ru - 2015-2026 year. (1.363 sec.) Все материалы представленные на сайте исключительно с целью ознакомления читателями и не преследуют коммерческих целей или нарушение авторских прав - Пожаловаться на публикацию