Главная Случайная страница


Полезное:

Как сделать разговор полезным и приятным Как сделать объемную звезду своими руками Как сделать то, что делать не хочется? Как сделать погремушку Как сделать так чтобы женщины сами знакомились с вами Как сделать идею коммерческой Как сделать хорошую растяжку ног? Как сделать наш разум здоровым? Как сделать, чтобы люди обманывали меньше Вопрос 4. Как сделать так, чтобы вас уважали и ценили? Как сделать лучше себе и другим людям Как сделать свидание интересным?


Категории:

АрхитектураАстрономияБиологияГеографияГеологияИнформатикаИскусствоИсторияКулинарияКультураМаркетингМатематикаМедицинаМенеджментОхрана трудаПравоПроизводствоПсихологияРелигияСоциологияСпортТехникаФизикаФилософияХимияЭкологияЭкономикаЭлектроника






Экспериментальные исследования учащихся по геометрической оптике в средней школе. Изучение преломления света призмой





Экспериментальные исследования – это особый вид школьного физического эксперимента, а исследование является одним из методов познания мира. Значит, экспериментальные исследования учащихся по физике – это их деятельность по изучению физической реальности с целью ее познания.

Программные экспериментальные исследования- Обязательны для выполнения всеми учащимися; Целевая установка-Получение новых знаний о физических явлениях и процессах, развитие исследовательских умений; Содержание работы учащихся-Установление зависимостей физических величин; Деятельность учащихся- Продуктивная; Функции учителя- Подготовка приборов и материалов, организация работы, консультирование, организация оценки полученных результатов, возможно, контроль; Представление результатов эксперимента-В тетрадях для экспериментальных исследований; Отметки за работу- Выставляются по усмотрению учителя.

Проводя самостоятельные исследования, учащиеся начинают «понимать работу ученых», а для этого очень важно своими руками проделывать «часть научной работы».

Многие учащиеся осознают, что экспериментальное исследование – это метод проверки гипотезы, в которой в неявном виде потенциально содержится новое для исследователя знание. Сначала учащимся предполагается наличие того или иного эффекта, та или иная закономерность в зависимости между физическими величинами, а затем с помощью исследования это гипотетическое знание подтверждается или опровергается.

Экспериментальные исследования преследуют несколько важных целей: глубокое понимание учащимися физических явлений; умение применять научные методы исследования; развитие научного стиля мышления; способность видеть и решать проблемы, планировать и оценивать свою деятельность и ее результаты т.п.

Большое практическое значение имеет прохождение света через прозрачные тела различной формы. Рассмотрим наиболее простые случаи.

Направим луч света сквозь толстую плоскопараллельную пластинку (пластинку, ограниченную параллельными гранями). Проходя через пластинку, луч света преломляется дважды: один раз при входе в пластинку, второй раз при выходе из пластинки в воздух.

Прошедший через пластинку луч света остаётся параллельным своему первоначальному направлению и только немного смещается. Это смещение тем больше, чем толще пластинка и чем больше угол падения. Величина смещения зависит и от того, из какого вещества изготовлена пластинка. Примером плоскопараллельной пластинки служит оконное стекло. Но рассматривая предметы через стекло, мы не замечаем изменений в их расположении и форме потому, что стекло тонкое; лучи света, проходя оконное стекло, смещаются незначительно.

Опыт. Если рассматривать какой-либо предмет через призму, то предмет кажется смещённым. Идущий от предмета луч света падает на призму в точке А, преломляется и идёт внутри призмы по направлению АВ Дойдя до второй грани призмы.луч света ещё раз преломляется, отклоняясь к основанию призмы. Поэтому кажется, что луч идет из точки, расположенной на продолжении луча ВС, то есть предмет кажется смещённым к вершине угла, образованного преломляющими гранями призмы.

 

34.

 

35. Микроскоп предназначен для наблюдения мелких предметов, не раз-личаемых глазом. На рис. 2 представлена схема оптической системы мик-роскопа. Микроскоп состоит из двух систем: короткофокусного объектива

1 и окуляра 2, фокусное расстояние которого может быть значительно большим, чем у объектива. Предмет располагается вблизи первого фокуса Fоб объектива так, что его действительное, увеличенное, обратное изображение у / получается вблизи первого фокуса Fок окуляра – между ним и окуляром. Окуляр дей-ствует как лупа, давая мнимое изображение у // на расстоянии наилучшего зрения l н.з от глаза (l н.з. = 0,25 м), который помещается непосредственно за окуляром. Лучи I и II позволяют получить изображение

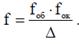
у /; лучи I/ и II/, по-падая в систему глаза 3, сходятся на сетчатке, где дают изображение, соот-ветствующее мнимому изображению у //, даваемому окуляром как лупой. Без участия глаза изображения не видно, а из окуляра выходит расходя-щийся пучок лучей. Расстояние Δ между вторым фокусом объектива и первым фокусом окуляра называется оптическим интервалом, от него за-висит увеличение микроскопа. Если фокусные расстояния объектива и окуляра соответственно fоб и fок, то фокусное расстояние всей системы есть

Тогда увеличение, даваемое микроскопом, определяется по формуле


или, полагая l н.з = 0,25 м, получим

 

10. Оптическая система, свободная от аббераций, дающая изображение конечной величины при помощи широких пучков, называется идеальной оптической системой.

 

11.

 

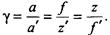
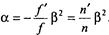
Угловое увеличение:

Продольное увеличение:

Между увеличениями существуют зависимости.

В общем случае, когда n не = n':

 







Date: 2015-05-18; view: 814; Нарушение авторских прав



mydocx.ru - 2015-2026 year. (0.345 sec.) Все материалы представленные на сайте исключительно с целью ознакомления читателями и не преследуют коммерческих целей или нарушение авторских прав - Пожаловаться на публикацию