Главная Случайная страница


Полезное:

Как сделать разговор полезным и приятным Как сделать объемную звезду своими руками Как сделать то, что делать не хочется? Как сделать погремушку Как сделать так чтобы женщины сами знакомились с вами Как сделать идею коммерческой Как сделать хорошую растяжку ног? Как сделать наш разум здоровым? Как сделать, чтобы люди обманывали меньше Вопрос 4. Как сделать так, чтобы вас уважали и ценили? Как сделать лучше себе и другим людям Как сделать свидание интересным?


Категории:

АрхитектураАстрономияБиологияГеографияГеологияИнформатикаИскусствоИсторияКулинарияКультураМаркетингМатематикаМедицинаМенеджментОхрана трудаПравоПроизводствоПсихологияРелигияСоциологияСпортТехникаФизикаФилософияХимияЭкологияЭкономикаЭлектроника






Обыкновенные дифференциальные уравнения

Кратные интегралы и дифференциальные уравнения.

Группы ГФ-11-03,ГИ-11-04,ГИ-11-05.

 

Вопросы для подготовки к экзамену.

Кратные интегралы.

1. Двойной интеграл. Определение. Геометрический смысл.

2. Свойства двойного интеграла.

3. Повторные интегралы. Вычисление двойного интеграла через повторные интегралы.

4. Замена переменных в двойном интеграле. Переход к полярным координатам.

5. Геометрические приложения двойного интеграла.(Вычисление площади, объема, площадь поверхности с помощью двойного интеграла.)

6. Тройной интеграл. Определение.

7. Способы вычисления тройного интеграла.

8. Замена переменных в тройном интеграле. Цилиндрические и сферические координаты.

 

Обыкновенные дифференциальные уравнения.

1.Дифференциальные уравнения. Порядок уравнения. Уравнение, разрешенное относительно старшей производной. Общее и частное решения. Задача Коши.

2.Дифференциальные уравнения первого порядка. Геометрическая интерпретация уравнения и его решений. Теорема существования и единственности.

3.Уравнения с разделяющимися переменными и сводящиеся к ним уравнения.

4.Однородные уравнения и сводящиеся к ним уравнения.

5.Линейные уравнения первого порядка. Решение методом подстановки (Бернулли) и методом вариации произвольной постоянной.

6.Уравнения Бернулли. Решение методом Бернулли и сведением к линейному уравнению.

7.Уравнения в полных дифференциалах.

8.Особые решения.

9.Уравнения, не разрешенные относительно старшей производной. Решение методом введения параметра.

10.Уравнения Клеро и Лагранжа.

11.Дифференциальные уравнения высших порядков. Теорема существования и единственности.

12.Решение дифференциальных уравнений высших порядков с помощью понижения порядка.

13.Линейные уравнения порядка выше первого. Теорема существования и единственности.

14.Решение однородного уравнения. Определитель Вронского. Свойства линейно независимых решений. Структура общего решения.

15.Решение неоднородного уравнения. Структура общего решения. Метод вариации постоянной.

16.Линейные уравнения с постоянными коэффициентами. Характеристическое уравнение. Вид общего решения дифференциального уравнения в зависимости от корней характеристического уравнения.

17.Решение неоднородного уравнения с правой частью специального вида методом неопределенных коэффициентов.

18.Уравнения Эйлера.

19.Системы уравнений. Нормальные системы. Фазовое пространство.

20.Связь системы n линейных уравнений с дифференциальным уравнением n-го порядка. Решение нормальной системы первого порядка сведением к уравнению высшего порядка.

21.Линейные системы дифференциальных уравнений. Матричная запись системы. Решение линейной однородной системы дифференциальных уравнений. Определитель Вронского системы. Фундаментальная система решений. Общее решение.

22.Решение неоднородной системы методом вариации постоянной. Структура решения линейной неоднородной системы.

23.Линейные однородные системы с постоянными коэффициентами. Структура общего решения в зависимости от собственных значений и собственных векторов матрицы системы.

24.Решение линейной неоднородной системы с постоянными коэффициентами с правой частью специального вида методом неопределенных коэффициентов.

25.Решение линейной неоднородной системы методом вариации постоянных.

 

Список литературы.

Основная литература.

1. Лекции

2. В.В.Калинин, И.В.Петрова. Математика в нефтегазовом образовании. Теория и задачи. Выпуск 3, часть 2.М.,РГУ нефти и газа им. И.М.Губкина,2005.

3. В.В.Степанов.Курс дифференциальных уравнений.М.,УРСС,2004.

4. Сборник задач по математике для ВТУЗов под редакцией А.В.Ефимова, Б.П.Демидовича. Том 1,том 2..,Наука,1981

5. А.Ф.Филиппов. Сборник задач по дифференциальным уравнениям. М.,Ижевск,РХД,2004.

6. Л.А.Кузнецов.Сборник заданий по высшей математике.М.-Спб-Краснодар,Лань,2005.

Дополнительная литература.

1. Я.С.Бугров, С.М.Никольский. Дифференциальное и интегральное исчислениеМ.,Наука,1980

2. Г.М.Фихтенгольц.Курс дифференциального и интегрального исчисления. Том 3.Спб,Лань,1997.

3. А.Ф.Филиппов. Введение в теорию дифференциальных уравнений.М.,УРСС,2004.

4. А.П.Боярчук,Г.П.Головач. Дифференциальные уравнения в примерах и задачах.М.,УРСС,2003.

Экзаменационный билет № 0.

1.Определение тройного интеграла.

2.Уравнения, не разрешенные относительно старшей производной. Решение методом введения параметра.


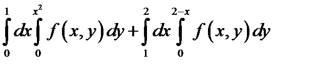
3.Изменить порядок интегрирования: .

4.Вычислить с помощью тройного интеграла объем, ограниченный поверхностями: .

5. Решить задачу Коши:

6. Найти общее решение дифференциального уравнения:

7.Найти общее решение системы дифференциальных уравнений.

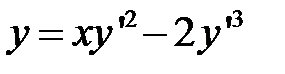
8.Решить уравнение: .

Примечания.

1.Первые два вопроса –теория, из списка вопросов к экзамену. Все вопросы

из списка будут в билетах. Первый вопрос – по интегралам, второй – по дифференциальным уравнениям.

2.Остальные вопросы- задачи, аналогичные тем, что были в контрольных работах. А именно: задача на двойной интеграл, на тройной интеграл, на уравнение первого порядка, линейное уравнение высшего порядка, на систему дифференциальных уравнений, и последняя задача – кому что попадется: понижение порядка, уравнение, не разрешенное относительно производной, уравнение Эйлера.

 

3.Задачи берутся из задачников Кузнецова, Филиппова, задачника под

редакцией Ефимова и Демидовича (том 2) и пособия В.В.Калинина и И.В.Петровой (см. список литературы в вопросах к экзамену).

 

4.В задачнике под редакцией Ефимова и Демидовича подробно разобрано решение типовых примеров. У Филиппова тоже в начале каждого раздела разобраны решения задач. Еще я присылала вам методичку по решению систем дифференциальных уравнений.

 

5.Если будет система с тремя неизвестными, то корни характеристического уравнения будут даны.

6. Каждый вопрос (и теория, и задача, стоит 5 баллов).

 

 

Примеры задач из билетов:

Примеры задач на двойной интеграл, которые могут стоять в билетах:

а).Изменить порядок интегрирования: .

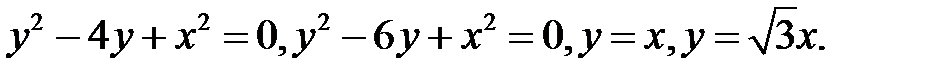
б).Найти площадь плоской фигуры, ограниченной линиями:

в).Преобразовать двойной интеграл

в повторный двумя способами. Перейти к полярным координатам.

г). Вычислить двойной интеграл:

д).Найти массу пластинки D, имеющей плотность μ:

 

Примеры задач на тройной интеграл, которые могут стоять в билетах:

а). Найти объем области , заданной поверхностями: ,

б). Найти массу тела плотности , ограниченного поверхностями: .

В). Найти объем области , заданной поверхностями:

Г). Найти объем области , заданной поверхностями:

д). Вычислить тройной интеграл:

Не забывайте переходить к полярным, цилиндрическим и сферическим координатам там, где это необходимо.

Примеры дифференциальных уравнений первого порядка, которые могут стоять в билетах:

а). Решить уравнение: .

б). Решить уравнение: .

в). Решить задачу Коши: .

г). Решить уравнение: .

д). Решить уравнение: .

е). Решить задачу Коши: .

ж). Решить уравнение:

з). Решить уравнение:

и). Решить уравнение:

к). Решить уравнение:

 

Примеры дифференциальных уравнений старших порядков, которые могут стоять в билетах:

а). Найти все решения дифференциального уравнения(в частных решениях коэффициенты не находить):

б). Решить задачу Коши:

в).Найти общий вид частного решения уравнения (значения коэффициентов не находить):

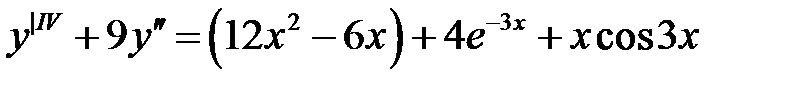
г). Решить уравнение методом неопределенных коэффициентов:

д).Решить уравнение методом вариации постоянной:

Характеристические уравнения могут иметь любые решения: и действительные, и комплексные, и могут быть кратными.


Примеры систем дифференциальных уравнений, которые могут стоять в билетах:

а). Найти общее решение системы:

б).Найти общее решение системы дифференциальных уравнений.

 

в).Найти общее решение системы уравнений методом неопределенных коэффициентов:

г).Найти общее решение системы уравнений(не находить значения коэффициентов в частном решении):

д).Найти общее решение системы уравнений методом вариации постоянной:

Собственные значения матрицы системы могут иметь любые решения: и действительные, и комплексные, и могут быть кратными.

Примеры других дифференциальных уравнений, которые могут стоять в билетах:

а). Решить уравнение Эйлера: .

б). Решить уравнение:

в).Решить задачу Коши:

г).Решить дифференциальное уравнение с помощью понижения порядка:

д).Решить уравнение Эйлера:

е).Решить дифференциальное уравнение с помощью понижения порядка:

 

 

6. Найти объем области , заданной поверхностями:

.

 

 



<== предыдущая | следующая ==>
Изучение Вавилова-Черенкова | Закон электромагнитной индукции





Date: 2015-05-17; view: 645; Нарушение авторских прав



mydocx.ru - 2015-2026 year. (0.814 sec.) Все материалы представленные на сайте исключительно с целью ознакомления читателями и не преследуют коммерческих целей или нарушение авторских прав - Пожаловаться на публикацию