Главная Случайная страница


Полезное:

Как сделать разговор полезным и приятным Как сделать объемную звезду своими руками Как сделать то, что делать не хочется? Как сделать погремушку Как сделать так чтобы женщины сами знакомились с вами Как сделать идею коммерческой Как сделать хорошую растяжку ног? Как сделать наш разум здоровым? Как сделать, чтобы люди обманывали меньше Вопрос 4. Как сделать так, чтобы вас уважали и ценили? Как сделать лучше себе и другим людям Как сделать свидание интересным?


Категории:

АрхитектураАстрономияБиологияГеографияГеологияИнформатикаИскусствоИсторияКулинарияКультураМаркетингМатематикаМедицинаМенеджментОхрана трудаПравоПроизводствоПсихологияРелигияСоциологияСпортТехникаФизикаФилософияХимияЭкологияЭкономикаЭлектроника






Световому потоку





Закон внешнего фотоэффекта: максимальная скорость фотоэлектронов пропорциональна... частоте излучения

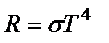
Закон Стефана-Больцмана:....

Закон смещения Вина:...

Закон Вульфа-Брэгга:...

Интенсивность света после прохождения отверстия, размером в две зоны Френеля:... ноль

Интенсивность света после прохождения отверстия, размером в одну зону Френеля:... 2 I 0

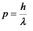
Импульс фотона:... .

Кольца Ньютона образуются при интерференции лучей, отраженных от поверхностей... и....

2…3

Критерий Релея определяет... разрешающую способность спектральных приборов

Монохроматические волны, имеющие одинаковую частоту, поляризацию и разность фаз, не зависящую от времени, называются... когерентными

Мощность потока излучения, испускаемого единицей поверхности тела во всем диапазоне длин волн, называется... тела. энергетической светимостью

Наложение двух световых волн, приводящее к возникновению в различных точках экрана максимумов и минимумов интенсивности называется... света.







Date: 2015-05-17; view: 525; Нарушение авторских прав



mydocx.ru - 2015-2026 year. (1.346 sec.) Все материалы представленные на сайте исключительно с целью ознакомления читателями и не преследуют коммерческих целей или нарушение авторских прав - Пожаловаться на публикацию