Главная Случайная страница


Полезное:

Как сделать разговор полезным и приятным Как сделать объемную звезду своими руками Как сделать то, что делать не хочется? Как сделать погремушку Как сделать так чтобы женщины сами знакомились с вами Как сделать идею коммерческой Как сделать хорошую растяжку ног? Как сделать наш разум здоровым? Как сделать, чтобы люди обманывали меньше Вопрос 4. Как сделать так, чтобы вас уважали и ценили? Как сделать лучше себе и другим людям Как сделать свидание интересным?


Категории:

АрхитектураАстрономияБиологияГеографияГеологияИнформатикаИскусствоИсторияКулинарияКультураМаркетингМатематикаМедицинаМенеджментОхрана трудаПравоПроизводствоПсихологияРелигияСоциологияСпортТехникаФизикаФилософияХимияЭкологияЭкономикаЭлектроника






Часть 1. Тестовая работа по высшей математике

Тестовая работа по высшей математике

Нулевой вариант

Первый курс

Часть 1

A1. Вычислите определитель .

1) –1 2) 1 3) –20 4) 0

А2. Как изменится определитель 4-го порядка, если первый столбец поставить после четвертого?

1) изменит знак 2) не изменится 3) увеличится в 4 раза 4) обратится в нуль

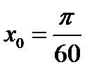
А3. Найдите аргумент комплексного числа .

1) 2) 3) 4) 0

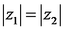
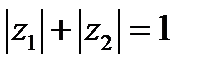
А4. Что можно сказать о модулях чисел , ?

1) 2) 3) 4)

А5. Даны точки , , . Найдите в .

1) 2) 3) 4)

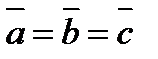
А6. Какому условию должны удовлетворять векторы ,чтобы из них можно было образовать треугольник?

1) 2) 3) 4)

А7. Найдите расстояние от точки до плоскости, проходящей через две прямые и

1) 2) 3) 4)

А8. Найдите предел .

1) 2) 3) 4)

А9. Всегда ли справедливо утверждение: предел суммы бесконечно малых (в некоторой точке) равен нулю?

1) справедливо всегда 2) справедливо, если число слагаемых конечно

3) всегда несправедливо 4) справедливо, если число слагаемых бесконечно

А10. Найдите производную функции в точке .

1) 2) 3) 4)

А11. Найдите интеграл .

1) 2) 3) 4)

А12. Найдите интеграл .

1) 2)

3) 4)

 



<== предыдущая | следующая ==>
Квантовая оптика | 





Date: 2015-05-17; view: 549; Нарушение авторских прав



mydocx.ru - 2015-2026 year. (3.703 sec.) Все материалы представленные на сайте исключительно с целью ознакомления читателями и не преследуют коммерческих целей или нарушение авторских прав - Пожаловаться на публикацию