Главная Случайная страница


Полезное:

Как сделать разговор полезным и приятным Как сделать объемную звезду своими руками Как сделать то, что делать не хочется? Как сделать погремушку Как сделать так чтобы женщины сами знакомились с вами Как сделать идею коммерческой Как сделать хорошую растяжку ног? Как сделать наш разум здоровым? Как сделать, чтобы люди обманывали меньше Вопрос 4. Как сделать так, чтобы вас уважали и ценили? Как сделать лучше себе и другим людям Как сделать свидание интересным?


Категории:

АрхитектураАстрономияБиологияГеографияГеологияИнформатикаИскусствоИсторияКулинарияКультураМаркетингМатематикаМедицинаМенеджментОхрана трудаПравоПроизводствоПсихологияРелигияСоциологияСпортТехникаФизикаФилософияХимияЭкологияЭкономикаЭлектроника






Задание 2.5





Рассчитать, в соответствии с номером варианта, и заполнить табл. 3.

Таблица 3

 

Номер варианта Период сейсми­ческой волны Т, с Амплитуда ко­лебаний сейсми­ческой волны А, мм Сейсмическое ускорение а, мм/с2 Коэффициент сейсмичности Ks Инерционная сила, S, Т Сила землетря­сения, балл
             
  1,40          
  0,70          
  1,55          
  0,45          
  0,85          
  0,55          
  2,20          
  1,75          
  0,95          
  1,20          

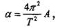
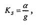
1. Зная период Т и амплитуду А колебаний сейсмической волны (табл. 3), вычислить сейсмическое ускорение а и коэффициент сейсмичности К*:


мм/сек2

где g =9800 мм/с2.

2. Подсчитать сейсмическую инерционную силу S, воздейст­вующую на сооружения при землетрясении. Массу сооружений Р принимают равной 6000 тонн. s = PKS.

3. Используя величину сейсмического ускорения и шкалу Рихтера MSK - 1964 (приложение 2), определить силу землетрясения в баллах.

4. По полученным данным о силе землетрясения в данном рай­оне провести корректировку баллов землетрясения для строитель­ной площадки, сложенной: а) рыхлыми осадочными породами с глубиной залегания грунтовых вод до 3,0м от поверхности; б) скаль­ными породами (гранитами, гнейсами), перекрытыми маломощным слоем сухого аллювия.

Рекомендуемые источники: [1, с. 83-107], [2, с. 212-232, 272-289], [3, с. 26-38], [4, с. 26-27, 36-46, 148-153], [5, с. 71-93, 156-189].


3. ГИДРОГЕОЛОГИЯ ________________________







Date: 2015-04-23; view: 1658; Нарушение авторских прав



mydocx.ru - 2015-2026 year. (0.954 sec.) Все материалы представленные на сайте исключительно с целью ознакомления читателями и не преследуют коммерческих целей или нарушение авторских прав - Пожаловаться на публикацию