Главная Случайная страница


Полезное:

Как сделать разговор полезным и приятным Как сделать объемную звезду своими руками Как сделать то, что делать не хочется? Как сделать погремушку Как сделать так чтобы женщины сами знакомились с вами Как сделать идею коммерческой Как сделать хорошую растяжку ног? Как сделать наш разум здоровым? Как сделать, чтобы люди обманывали меньше Вопрос 4. Как сделать так, чтобы вас уважали и ценили? Как сделать лучше себе и другим людям Как сделать свидание интересным?


Категории:

АрхитектураАстрономияБиологияГеографияГеологияИнформатикаИскусствоИсторияКулинарияКультураМаркетингМатематикаМедицинаМенеджментОхрана трудаПравоПроизводствоПсихологияРелигияСоциологияСпортТехникаФизикаФилософияХимияЭкологияЭкономикаЭлектроника






Микотоксины





Микотоксины (от греч. mukes - гриб и toxicon - яд) - это вторичные метаболиты микроскопических плесневых грибов, обладающие выраженными токсическими свойствами. Они не являются эссенциальны-ми для роста и развития продуцирующих их микроорганизмов.

В настоящее время из кормов и продуктов питания выделено около 250 видов плесневых грибов, большинство из которых продуцирует высокотоксичные метаболиты, в том числе около 120 микотоксинов. Предполагают, что с биологической точки зрения микотоксины выполняют в обмене веществ микроскопических грибов функции, направленные на выживание и конкурентоспособность в различных экологических нишах.

С гигиенических позиций - это особо опасные токсические вещества, загрязняющие корма и пищевые продукты. Высокая опасность микотоксинов выражается в том, что они обладают токсическим эффектом в чрезвычайно малых количествах и способны весьма интенсивно диффундировать в глубь продукта.

В настоящее время еще не сформирована единая классификация и номенклатура микотоксинов. В одних случаях в основу группового деления микотоксинов положена их химическая структура, в других - характер действия, в третьих - видовая принадлежность грибов-продуцентов.

Афлатоксины. Афлатоксины представляют собой одну из наиболее опасных групп микотоксинов, обладающих сильными канцерогенными свойствами.

Структура и продуценты афлатоксинов. В настоящее время семейство афлатоксинов включает четыре основных представителя (афлатоксины В1, В2, G1, G2) и еще более 10 соединений, являющихся производными или метаболитами основной группы (М1, М2, В, G2a, GM1, Р1, Q1 и другие).

По своей химической структуре афлатоксины являются фурокумаринами. Это видно из приведенных ниже структурных формул.

Продуцентами афлатоксинов являются некоторые штаммы 2 видов микроскопических грибов: Aspergillus flavus (Link.) и Aspergillus parasiticus (Speare).

Физико-химические свойства афлатоксинов. Афлатоксины обладают способностью сильно флуоресцировать при воздействии длинноволнового ультрафиолетового излучения. Афлатоксины В1 и В2 обладают сине-голубой флуоресценцией, G1 и G2 - зеленой флуоресценцией, М1 и М2 - сине-фиолетовой. Это свойство лежит в основе практически всех физико-химических методов их обнаружения и количественного определения.

Афлатоксины слаборастворимы в воде (10-20 мкг/мл), нерастворимы в неполярных растворителях, но легко растворяются в растворителях средней полярности, таких как хлороформ, метанол и др. В химически чистом виде они относительно нестабильны и чувствительны к действию воздуха и света, особенно к ультрафиолетовому облучению. Растворы афлатоксинов стабильны в хлороформе и бензоле в течение нескольких лет при хранении в темноте и на холоде.

Следует обратить особое внимание на то, что афлатоксины практически не разрушаются в процессе обычной кулинарной и технологической обработки загрязненных пищевых продуктов.

Факторы, влияющие на токсинообразование. Продуценты афлатоксинов - микроскопические грибы рода Aspergillus могут достаточно хорошо развиваться и образовывать токсины на различных естественных субстратах (продовольственное сырье, пищевые продукты, корма), причем не только в странах с тропическим и субтропическим климатом, как полагали ранее, но практически повсеместно, за исключением, быть может, наиболее холодных районов Северной Европы и Канады.

Оптимальной температурой для образования токсинов является температура 27-30°С, хотя синтез афлатоксинов возможен и при более низкой (12-13°С) или при более высокой (40-42°С) температуре. Например, в условиях производственного хранения зерна максимальное образование афлатоксинов происходит при температуре 35-45°С, что значительно

превышает температурный оптимум, установленный в лабораторных условиях.

Другим критическим фактором, определяющим рост микроскопических грибов и синтез афлатоксинов, является влажность субстрата и атмосферного воздуха. Максимальный синтез токсинов наблюдается обычно при влажности выше 18% для субстратов, богатых крахмалом (пшеница, ячмень, рожь, овес, рис, кукуруза, сорго), и выше 9-10% - для субстратов с высоким содержанием липидов (арахис, подсолнечник, семена хлопчатника, различные виды орехов). При относительной влажности атмосферного воздуха ниже 85% синтез афлатоксинов прекращается.

Биологическое действие афлатоксинов. Действие афлатоксинов на организм животных и человека может быть охарактеризовано с двух позиций. Во-первых, с точки зрения острого токсического действия и, во-вторых, с точки зрения оценки опасности отдаленных последствий. Острое токсическое действие афлатоксинов связано с тем, что они являются одними из наиболее сильных гепатропных ядов, органом-мишенью которых является печень. Отдаленные последствия действия афлатоксинов проявляются в виде канцерогенного, мутагенного и тератогенного эффектов.


Механизм действия афлатоксинов. Афлатоксины или их активные метаболиты действуют практически на все компоненты клетки. Афлатоксины нарушают проницаемость плазматических мембран. В ядрах они связываются с ДНК, ингибируют репликацию ДНК, ингибируют активность ДНК-зависимой-РНК-полимеразы - фермента, осуществляющего синтез матричной РНК, и тем самым подавляют процесс транскрипции. В митохондриях афлатоксины вызывают повышение проницаемости мембран, блокируют синтез митохондриальных ДНК и белка, нарушают функционирование системы транспорта электронов, вызывая тем самым энергетический голод клетки. В эндоплазматическом ретикулуме под воздействием афлатоксинов наблюдаются патологические изменения: ингибируется белковый синтез, нарушается регуляция синтеза триглициридов, фосфолипидов и холестерина. Афлатоксины оказывают прямое действие на лизосомы, что приводит к повреждению их мембран и высвобождению активных гидролитических ферментов, которые, в свою очередь, расщепляют клеточные компоненты.

Все вышеперечисленные нарушения приводят к так называемому метаболистическому хаосу и гибели клетки.

Одним из важных доказательств реальной опасности афлатоксинов для здоровья человека явилось установление корреляции между частотой и уровнем загрязнения пищевых продуктов афлатоксинами и частотой первичного рака печени среди населения.

Загрязнение пищевых продуктов афлатоксинами. Как уже отмечалось, продуценты афлатоксинов встречаются повсеместно и этим объясняются значительные масштабы загрязнения кормов и пищевых продуктов и их существенная роль в создании реальной опасности для здоровья человека.

Частота обнаружения и уровень загрязнения афлатоксинами в значительной степени зависят от географических и сезонных факторов, а также от условий выращивания, уборки и хранения сельскохозяйственной продукции.

В природных условиях чаще и в наибольших количествах афлатоксины обнаруживаются в арахисе, кукурузе, семенах хлопчатника. Кроме того, в значительных количествах они могут накапливаться в различных орехах, семенах масличных культур, пшенице, ячмене, зернах какао и кофе.

В кормах, предназначенных для сельскохозяйственных животных, афлатоксины также обнаруживаются достаточно часто и в значительных количествах. Во многих странах с этим связано и обнаружение афлатоксинов в продуктах животного происхождения. Например, в молоке и тканях сельскохозяйственных животных, получавших корма, загрязненные микотоксинами, обнаружен афлатоксин М,. Причем афлатоксин М, обнаружен как в цельном, так и в сухом молоке, и даже в молочных продуктах, подвергшихся технологической обработке (пастеризация, стерилизация, приготовление творога, йогурта, сыров и т. п.).

Детоксикация загрязненных пищевых продуктов и кормов. Установление высокой токсичности и канцерогенности афлатоксинов и обнаружение их в значительных количествах в основных пищевых продуктах во всем мире привело к необходимости разработки эффективных методов детоксикации сырья, пищевых продуктов и кормов.


В настоящее время с этой целью применяют комплекс мероприятий, которые можно разделить на механические, физические и химические методы детоксикации афлатоксинов. Механические методы детоксикации связаны с отделением загрязненного сырья (материала) вручную или с помощью электронно-колориметрических сортировщиков. Физические методы основаны на достаточно жесткой термической обработке материала (например, автоклавирование), а также связаны с ультрафиолетовым облучением и озонированием. Химический метод предполагает обработку материала сильными окислителями. К сожалению, каждый из названных методов имеет свои существенные недостатки: применение механических и физических методов не дает высокого эффекта, а химические методы приводят к разрушению не только афлатоксинов, но и полезных нутриентов и, кроме этого, нарушают их всасывание.

Согласно данным ВОЗ, человек при благоприятной гигиенической ситуации потребляет с суточным рационом до 0,19 мкг афлатоксинов. В России приняты следующие санитарно-гигиенические нормативы по афлатоксинам: ПДК афлатоксина В, для всех пищевых продуктов, кроме молока, составляет - 5 мкг/кг, для молока и молочных продуктов - 1 мкг/кг (для афлатоксина М1 - 0,5 мкг/кг). Допустимая суточная доза (ДСД) - 0,005-0,01 мкг/кг массы тела.

Охратоксины. Охратоксины - соединения высокой токсичности, с ярко выраженным тератогенным эффектом.

Структура и продуценты охратоксинов. Охратоксины А, В, С представляют собой группу близких по структуре соединений, являющихся изокумаринами, связанными с L-фенилаланином пептидной связью.

В зависимости от природы радикалов R′ и R″ образуются охратоксины различных типов:

  R′ R″
Охратоксин А С1 Н
Охратоксин В Н Н
Охратоксин С С1 С2Н5

Продуцентами охратоксинов являются микроскопические грибы рода Aspergillus и Penicillium. Основными продуцентами являются A. ochraceus и P. viridicatum. Многочисленными исследованиями показано, что природным загрязнителем чаще всего является охратоксин А, в редких случаях охратоксин В.

Физико-химические свойства. Охратоксин А - бесцветное кристаллическое вещество, слабо растворимое в воде, умеренно растворимое в полярных органических растворителях (метанол, хлороформ), а также в водном растворе гидрокарбоната натрия. В химически чистом виде он нестабилен и очень чувствителен к воздействию света и воздуха, однако в растворе этанола может сохраняться без изменений в течение длительного времени. В ультрафиолетовом свете обладает зеленой флуоресценцией. Охратоксин В - кристаллическое вещество, аналог охратоксина А, не содержащий атом хлора. Он примерно в 50 раз менее токсичен, чем охратоксин А. В ультрафиолетом свете обладает голубой флуоресценцией. Охратоксин С - аморфное вещество, этиловый эфир охратоксина А, близок к нему по токсичности, но в качестве природного


загрязнителя пищевых продуктов и кормов не обнаружен. В ультрафиолетовом свете обладает бледно-зеленой флуоресценцией.

Биологическое действие. Охратоксины входят в группу микотоксинов, преимущественно поражающих почки. При остром токсикозе, вызванном охратоксинами, патологические изменения выявляются и в печени, и в лимфоидной ткани, и в желудочно-кишечном тракте. В настоящее время уже доказано, что охратоксин А обладает сильным тератогенным действием. Вопрос о канцерогенности охратоксинов для человека остается нерешенным.

Механизм действия охратоксинов. Биохимические, молекулярные, клеточные механизмы действия охратоксинов изучены недостаточно. В исследованиях in vitro показано, что они активно связываются с различными белками: альбуминами сыворотки крови, тромбином, альдолазой, каталазой, аргиназой, карбоксипептидазой А. Некоторые моменты подтверждены и в исследованиях in vivo. Результаты изучения влияния охратоксинов на синтез макромолекул свидетельствуют о том, что охратоксин А ингибирует синтез белка и матричной РНК (токсин действует как конкурентный ингибитор), но не действует на синтез ДНК.

Загрязнение пищевых продуктов. Основными растительными субстратами, в которых обнаруживаются охратоксины, являются зерновые культуры и среди них, в первую очередь, кукуруза, пшеница, ячмень. С сожалением приходится констатировать тот факт, что уровень загрязнения кормового зерна и комбикормов выше среднего во многих странах (Канада, Польша, Югославия, Австрия), в связи с чем охратоксин А был обнаружен в животноводческой продукции (ветчина, бекон, колбасы). С практической точки зрения весьма важно, что охратоксины являются стабильными соединениями. Так, например, при длительном прогревании пшеницы, загрязненной охратоксином А, его содержание снижалось лишь на 32% (при температуре 250-300°С).

Все вышеперечисленное не оставляет сомнения в том, что охратоксины создают реальную опасность для здоровья человека.

Трихотеценовые микотоксины. В настоящее время известно более 40 трихотеценовыхмикотоксинов (ТТМТ), вторичных метаболитов различных представителей микроскопических грибов рода Fusarium.

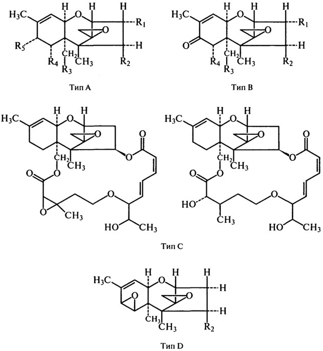
Структура и продуценты ТТМТ. По своей структуре ТТМТ относятся к сесквитерпенам. Они содержат основное ядро из трех колец, названное трихотеканом. В зависимости от структуры трихотеценового ядра эти микотоксины подразделяются на 4 группы: А, В, С, Д. Структура различных типов трихотеценовых микотоксинонов очень сложна и имеет свои характерные особенности, что наглядно демонстрируют приведенные ниже структурные формулы ТТМТ.

В качестве природных загрязнителей пищевых продуктов и кормов к настоящему времени выявлены только четыре: Т-2 токсин и диацетоксискирпенол, относящиеся к типу А, а также ниваленол и дезоксиниваленол, относящиеся к типу В. Природа радикалов у этих четырех природных загрязнителей такова:

  R1 R2 R3 R4 R5
Тип А          
Т-2 токсин Н ОСОСН3 ОСОСН3 Н Н
Диацетоксискирпенол ОН ОСОСН3 ОСОСН3 Н ОСОСН2СН(СН3)2
Тип В          
Ниваленол ОН ОН ОН ОН  
Дезоксиниваленол ОН Н ОН ОН  

Продуцентами ТТМТ типа А и В, обладающих высокой токсичностью, являются многие грибы рода Fusarium. Микроскопические грибы этого рода являются возбудителями так называемых гнилей корней, стеблей, листьев, семян, плодов, клубней и сеянцев сельскохозяйственных растений. Таким образом, поражаются корма и пищевые продукты, и как следствие наблюдается возникновение алиментарных токсикозов у животных и человека.

Физико-химические свойства. ТТМТ - это бесцветные кристаллические, химически стабильные соединения, плохо растворимые в воде. ТТМТ типа А растворимы в умеренно полярных растворителях (ацетон, хлороформ), типа В - в более полярных растворителях (этанол, метанол и др.). Эти токсины, за исключением некоторых, не обладают флюоресценцией. В связи с этим, для их обнаружения, после разделения методом тонкослойной хроматографии, используют различные способы (например, нагревание до 100- 150°С после обработки спиртовым раствором серной кислоты) с целью получения окрашенных или флуоресцирующих производных.

Биологическое действие ТТМТ. Алиментарные токсикозы, вызванные потреблением в пищу пищевых продуктов и кормов, пораженных микроскопическими грибами, продуцирующими ТТМТ, можно отнести к наиболее распространенным микотоксикозам человека и сельскохозяйственных животных. Первые сведения о такого рода заболеваниях появились более ста лет тому назад.

Хорошо известен токсикоз "пьяного хлеба" - заболевание человека и животных, причиной которого послужило употребление зерновых продуктов (главным образом хлеба), приготовленных из зерна, пораженного грибами Fusarium graminearum (F. roseum). Кроме того, описан целый ряд тяжелых токсикозов, таких как акабаби-токсикоз (вызывается красной плесенью и связан с поражением зерна грибами F. nivale и F. graminearum); алиментарная токсическая алейкия - АТА (токсикоз, связанный с употреблением в пищу продуктов из зерновых культур, перезимовавших в поле под снегом и пораженных микроскопическими грибами F. sporotri-chiella) и многие другие, приводящие к серьезному нарушению здоровья людей и протекающие по типу эпидемий, т. е. характеризующиеся определенной очаговостью, сезонностью, неравномерностью вспышек в разные годы и употреблением продуктов из зерна, пораженного микроскопическими грибами.

Механизм действия ТТМТ. Многочисленными исследованиями in vitro и in vivo было показано, что ТТМТ являются ингибиторами синтеза белков и нуклеиновых кислот, кроме этого, вызывают нарушения стабильности лизосомных мембран и активацию ферментов лизосом, что в конечном счете приводит к гибели клетки.

Загрязнение пищевых продуктов. Как отмечалось выше, в качестве природных загрязнителей пищевых продуктов и кормов обнаружены лишь четыре из более чем четырех десятков трихотеценовых микотоксинов. Чаще всего они обнаруживаются в зерне кукурузы, пшеницы и ячменя. Микотоксины этой группы отличаются повсеместным распространением, причем в большей степени это касается многих стран Европы, Северной Америки, в меньшей - Индии, Японии, Южной Америки. Необходимо отметить, что часто в одном и том же продукте обнаруживают два или более микотоксинов.

Зеараленон и его производные. Зеараленон и его производные также продуцируются микроскопическими грибами рода Fusarium. Он впервые был выделен из заплесневелой кукурузы.

Структура и продуценты зеараленона. По своей структуре зеараленон является лактоном резорциловой кислоты. Природный зеараленон имеет транс- но" конфигурацию, его структурная формула имеет следующий вид (см. схему).

Основными продуцентами зеараленона являются Fusarium graminea-rum и F. roseum.

Физико-химические свойства. Зеараленон - белое кристаллическое вещество, плохо растворимое в воде, но хорошо растворимое в этаноле, ацетоне, метаноле, бензоле. Имеет три максимума поглощения в ультрафиолете (236 нм, 274 нм, 316 нм) и обладает сине-зеленой флуоресценцией.

Биологическое действие. Зеараленон обладает выраженными гормоноподобными (экстрогенными) свойствами, что отличает его от других микотоксинов. Кроме этого, в опытах на различных лабораторных животных было доказано тератогенное действие зеараленона, хотя он и не обладает острым (летальным) токсическим эффектом даже при введении его животным в очень больших дозах. Сведения о влиянии зеараленона на организм человека отсутствуют, но, учитывая его высокую экстрогенную активность, нельзя полностью исключить негативное воздействие зеараленона на организм человека.

Загрязнение пищевых продуктов. Основным природным субстратом, в котором наиболее часто обнаруживается зеараленон, является кукуруза. Поражение кукурузы микроскопическими грибами рода Fusarium - продуцентами зеараленона - происходит как в поле, на корню, так и при ее хранении. Высока частота обнаружения зеараленона в комбикормах, а также в пшенице и ячмене, овсе. Среди пищевых продуктов

этот токсин был обнаружен в кукурузной муке, хлопьях и кукурузном пиве.

С практической точки зрения интересными представляются данные по влиянию переработки зерна кукурузы на степень загрязнения зеараленоном. В крупке и муке грубого помола, без удаления отрубей, в муке, полученной при сухом помоле кукурузы, содержание зеараленона составляло примерно 20% от его количества в цельном зерне. При влажном помоле загрязненной кукурузы токсин концентрировался во фракции клейковины, где его концентрация была выше, чем в отрубях и зародыше; во фракции крахмала токсин не выявлялся.

Тепловая обработка в нейтральной или кислой среде не разрушает зеараленон, но в щелочной среде при 100°С за 60 мин разрушается около 50% токсина. К разрушению зеараленона приводит и обработка загрязненной кукурузы 0,03% раствором персульфата аммония или 0,01% раствором пероксида водорода.

Патулин и некоторые другое микотоксины. Микотоксины, продуцируемые микроскопическими грибами рода Penicillium, распространены повсеместно и представляют реальную опасность для здоровья человека. Патулин особо опасный микотоксин, обладающий канцерогенными и мутагенными свойствами.

Структура и продуценты патулина. По своей химической структуре патулин представляет 4-гидроксифуропиран. Он имеет один максимум поглощения в ультрафиолетовой области при 276 нм.

Основными продуцентами патулина являются микроскопические грибы Penicillium patulum и Penicillium expansu. Но и другие виды этого рода микроскопических грибов, а также Byssochlamys fulva и В. nivea способны синтезировать патулин. Максимальное токсинообразование отмечается при температуре 21-30°С.

Биологическое действие. Биологическое действие патулина проявляется как в виде острых токсикозов, так и в виде ярко выраженных канцерогенных и мутагенных эффектов. Биохимические механизмы действия патулина изучены недостаточно. Предполагают, что патулин блокирует синтез ДНК, РНК и белков, причем блокирование инициации транскрипции осуществляется за счет ингибирования ДНК-зависимой-РНК-полимеразы. Кроме этого, микотоксин активно взаимодействует с SH-группами белков и подавляет активность тиоловых ферментов.

Загрязнение пищевых продуктов. Продуценты патулина поражают в основном фрукты и некоторые овощи, вызывая их гниение. Патулин обнаружен в яблоках, грушах, абрикосах, персиках,

вишне, винограде, бананах, клубнике, голубике, бруснике, облепихе, айве, томатах. Наиболее часто патулином поражаются яблоки, где содержание токсина может доходить до 17,5 мг/кг. Интересно, что патулин концентрируется Б основном в подгнившей части яблока, в отличие от томатов, где он распределяется равномерно по всей ткани.

Патулин в высоких концентрациях обнаруживается и в продуктах переработки фруктов и овощей: соках, компотах, пюре и джемах. Особенно часто его находят в яблочном соке (0,02-0,4 мг/л). Содержание патулина в других видах соков: грушевом, айвовом, виноградном, сливовом, манго - колеблется от 0,005 до 4,5 мг/л. Интересным представляется тот факт, что цитрусовые и некоторые овощные культуры, такие как картофель, лук, редис, редька, баклажаны, цветная капуста, тыква и хрен обладают естественной устойчивостью к заражению грибами-продуцентами патулина.

Среди микотоксинов, продуцируемых микроскопическими грибами рода Penicillium и представляющих серьезную опасность для здоровья человека, необходимо выделить лютеоскирин, циклохлоротин, цитреовиридин и цитринин.

Лютеоскирин (продуцент Penicillium islandicum) - желтое кристаллическое вещество, выделен из долго хранившегося риса, а также пшеницы, сои, арахиса, бобовых и некоторых видов перца. Механизм токсического действия связан с ингибированием ферментов дыхательной цепи (печени, почках, миокарде), а также в подавлении процессов окислительного фосфорилирования.

Циклохлоротин (продуцент Penicillium islandicum) - белое кристаллическое вещество, циклический пептид, содержащий хлор. Биохимические механизмы токсического действия направлены на нарушение углеводного и белкового обмена и связаны с ингибированием целого ряда ферментов. Кроме этого, токсическое действие циклохлоротина проявляется в нарушении регуляции проницаемости биологических мембран и процессов окислительного фосфорилирования.

Цитреовиридин (продуцент Penicillium citreo-viride) - желтое кристаллическое вещество, выделен из пожелтевшего риса. Обладает нейро-токсическими свойствами.

Цитринин (продуцент Penicillium citrinum) - кристаллическое вещество желтого цвета, выделен из пожелтевшего риса. Цитринин часто обнаруживается в различных зерновых культурах: пшенице, ячмене, овсе, ржи, а также в кукурузе и арахисе. Кроме этого, незначительные количества цитринина были найдены в хлебобулочных изделиях, мясных продуктах и фруктах. Обладает выраженными нефротоксическими свойствами.

524:: 525:: 526:: 527:: 528:: 529:: 530:: 531:: 532:: 533:: 534:: 535:: Содержание

536:: 537:: Содержание







Date: 2015-05-09; view: 1140; Нарушение авторских прав



mydocx.ru - 2015-2026 year. (0.273 sec.) Все материалы представленные на сайте исключительно с целью ознакомления читателями и не преследуют коммерческих целей или нарушение авторских прав - Пожаловаться на публикацию