Главная Случайная страница


Полезное:

Как сделать разговор полезным и приятным Как сделать объемную звезду своими руками Как сделать то, что делать не хочется? Как сделать погремушку Как сделать так чтобы женщины сами знакомились с вами Как сделать идею коммерческой Как сделать хорошую растяжку ног? Как сделать наш разум здоровым? Как сделать, чтобы люди обманывали меньше Вопрос 4. Как сделать так, чтобы вас уважали и ценили? Как сделать лучше себе и другим людям Как сделать свидание интересным?


Категории:

АрхитектураАстрономияБиологияГеографияГеологияИнформатикаИскусствоИсторияКулинарияКультураМаркетингМатематикаМедицинаМенеджментОхрана трудаПравоПроизводствоПсихологияРелигияСоциологияСпортТехникаФизикаФилософияХимияЭкологияЭкономикаЭлектроника






Строение молекулы и свойства воды





Аномальные свойства воды предполагают существование прочных сил между молекулами воды. Это можно объяснить уже при рассмотрении природы единичной молекулы воды, а затем и группы молекул. Шесть валентных электронов кислорода в молекуле воды гибридизированы в четырех Sp3-орбиталях, которые вытянуты к углам, образуя тетраэдр.

Две гибридные орбитали образуют О—Н ковалентные связи с углом 105°, тогда как другие две орбитали имеют неподеленные электронные пары. Ковалентные О—Н связи, благодаря высокой электроотрицательности кислорода, частично (на 40%) имеют ионный характер.

Таким образом, молекула воды имеет два отрицательных и два положительных заряда по углам тетраэдра. Вследствие этого, каждая

молекула воды тетраэдричес-ки координирована с четырьмя другими молекулами воды благодаря водородным связям (см. рис. 10.2). Энергия диссоциации водородной связи ~25 кДж/моль.


Рис. 10.2. Тетраэдрическая координация молекул воды

Одновременное присутствие в молекуле воды двух доноров и двух акцепторов делает возможной ассоциацию в трехмерную сеть, стабилизированную водородными связями, что обеспечивает большую силу взаимодействия между молекулами. Эта структура объясняет особые физические свойства воды, необычные для малых молекул. Так, например, спирт и соединения с изоэлектрическими диполями, такие как HF или NH3, образуют, в отличие от воды, только линейную или двухмерную ассоциацию.

Частичная поляризация Н—О связи в дальнейшем усиливается за счет образования водородных связей. Поэтому дипольный момент комплекса, состоящего из увеличенного числа водных молекул (мультимолекулярный диполь), тем больше, чем больше молекул ассоциировано и, естественно, больше дипольного момента единичной молекулы. Как следствие, диэлектрическая постоянная воды оказывается большой и превышает величину, которая может быть вычислена на основе дипольного момента единичной молекулы.

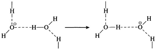
Транспорт (перенос) протона осуществляется вдоль водородной связи. Это поистине прыжок протона от одной молекулы воды к соседней молекуле воды. Независимо от того, получен ли протон путем диссоциации воды или будет получен от кислоты, он будет погружаться в орбита-ли неподеленных электронов молекулы, образуя гидратированный ион водорода Н3О+(ион гидроксония) с исключительно сильной водородной связью (энергия диссоциации — 100 кДж/моль):

Подобный механизм действует и в транспорте ионов ОН-, который осуществляется вдоль водородных связей:

Переход протона от одного атома кислорода к другому осуществляется чрезвычайно быстро (V>1012c-1), поэтому подвижность протона весьма велика. Она превышает подвижность других ионов в 4—5 раз и соизмерима только с подвижностью ионов ОН-, которая, однако, примерно на 40% меньше. При этом скорость протонов во льду примерно в 100 раз больше, чем в воде.

Способность воды образовывать трехмерные водородные связи, для разрушения которых необходима дополнительная энергия, объясняет рассмотренные выше необычные свойства воды, например высокие значения теплоемкости, точек плавления и кипения, поверхностного натяжения и теплот фазовых переходов.

Вода может влиять на конформацию макромолекул, если там имеют место какие-либо нековалентные связи, которые стабилизируют конформацию большой молекулы. Эти нековалентные связи могут быть трех видов: водородные, ионные и неполярные связи. В белках существует конкуренция между CO...HN водородными связями и вода-амид водородными связями. Чем больше способность растворителя к образованию водородных связей, тем слабее CO...HN связь. В водной среде теплота образования или разрыва этой связи равна 0. Это означает, что CO...HN водородная связь не может обеспечить стабилизацию в водном растворе. Конкурирующая водородная связь от Н2О ослабляет термодинамическую тенденцию к образованию CO...HN водородных связей. Водные молекулы вокруг неполярных групп (молекул) становятся более упорядоченными, приводя к потере энтропии, и в результате возникает тенденция к ассоциации отдельных неполярных групп в водной среде с другими, большими чем водные, молекулами (гидрофобное взаимодействие). Концепция гидрофобной связи схематично показана на рис. 10.3.


Рис. 10.3. Образование гидрофобной связи

С химической точки зрения вода является весьма реакционноспособным веществом. Она соединяется со многими оксидами металлов и неметаллов,

взаимодействует с активными металлами и вступает в различные другие реакции самого разнообразного характера.

Превращения белков, Липидов, углеводов с участием воды имеют важное значение в пищевых технологиях.

Помимо химических реакций, в которые вступает вода, при растворении веществ в воде имеют место взаимодействия физико-химического характера. Ниже мы кратко рассмотрим взаимодействие воды с ионами и ионными группами, группами, обладающими способностью к образованию водородных связей, и с неполярными веществами (группами). Эти взаимодействия необходимо принимать во внимание при рассмотрении классификации видов влаги в пищевых продуктах и ее причастности к химическим, биохимическим и микробиологическим изменениям в продукте при хранении (см. раздел 10.3).

465:: 466:: 467:: 468:: Содержание

468:: 469:: 470:: Содержание







Date: 2015-05-09; view: 934; Нарушение авторских прав



mydocx.ru - 2015-2026 year. (2.598 sec.) Все материалы представленные на сайте исключительно с целью ознакомления читателями и не преследуют коммерческих целей или нарушение авторских прав - Пожаловаться на публикацию