Главная Случайная страница


Полезное:

Как сделать разговор полезным и приятным Как сделать объемную звезду своими руками Как сделать то, что делать не хочется? Как сделать погремушку Как сделать так чтобы женщины сами знакомились с вами Как сделать идею коммерческой Как сделать хорошую растяжку ног? Как сделать наш разум здоровым? Как сделать, чтобы люди обманывали меньше Вопрос 4. Как сделать так, чтобы вас уважали и ценили? Как сделать лучше себе и другим людям Как сделать свидание интересным?


Категории:

АрхитектураАстрономияБиологияГеографияГеологияИнформатикаИскусствоИсторияКулинарияКультураМаркетингМатематикаМедицинаМенеджментОхрана трудаПравоПроизводствоПсихологияРелигияСоциологияСпортТехникаФизикаФилософияХимияЭкологияЭкономикаЭлектроника






Жирорастворимые витамины





Витамин А. Встречается в качестве четырех индивидуальных представителей: ретинол, ретин ил ацетат, ретиналь, ретиноевая кислота. Ретинол в химическом отношении – непредельный одноатомный спирт, состоящий из β–ионового кольца и боковой цепи из двух остатков изопрена, имеющих первичную спиртовую группу. Он имеет два витамера A1 и A2 (у A2 – дополнительная двойная связь в β–ионовом кольце). Витамин А был открыт в неомыляемой фракции жиров в 1912 г. Он участвует в биохимических процессах, связанных с деятельностью мембран клеток функционирования органов зрения. В форме ретинола витамин А является простетической группой зрительного белка – родопсина.

При недостатке ретинолаза медляется рост развивающегося организма, нарушается зрение (ксерофтальмия – сухость роговых оболочек; "куриная слепота"), особенно его адаптация к различной освещенности (гемералопия),происходит ороговение слизистых оболочек, появляются трещины кожи.

Обнаружен витамин только в продуктах животного происхождения, особенно много его в печени морских животных и рыб. В рыбьем жире – 15, печени трески – 4, в сливочном масле – 0,5, молоке – 0,025 мкг% витамина А.

Потребность человека в витамине А может быть удовлетворена и за счет растительной пищи, в которой содержатся его провитамины – каротины. Из молекулы β–каротина в организме человека образуется две молекулы витамина А. β–Каротина больше всего в моркови – 9,0, красном перце – 2, помидорах – 1, сливочном масле – 0,2–0,4 мкг%.

Ретинол легко окисляется и разрушается под действием света на воздухе. При кулинарной обработке разрушается до 30% витамина А.

Витамины группы D. Под этим термином понимают несколько соединений, относящихся к стеринам; наиболее активны – эргокальциферол (D2) и холекальциферол (D3). Первый является продуктом растительного, второй –"животного происхождения.

Витамин D регулирует содержание кальция и неорганического фосфора в крови, участвует в минерализации костей и зубов. Этим и

объясняется его второе название: кальциферол, или несущий кальций. Хронический дефицит его приводит к развитию рахита у детей и разрежению костей – остеопорозу – у взрослых (следствие его – частые переломы костей). Кальциферолы содержатся в продуктах животного происхождения (мкг%): рыбьем жире – 125; печени трески – 100; говяжьей печени – 2,5; яйцах – 2,2; молоке – 0,05; сливочном масле – 1,3–1,5. Потребность в этом витамине у взрослого человека удовлетворяется за счет его образования в коже под влиянием ультрафиолетовых лучей из провитаминов, например 7–дегидрохолестерина. У детей суточная потребность в этом витамине выше, чем у взрослых – 12–25 мкг, и при гипо– или авитаминозе необходимо его повышенное поступление с пищей или со специальными препаратами. При избытке витамина D у детей и взрослых (гипервитаминоз) развивается витаминная интоксикация. Витамин D не разрушается при кулинарной обработке, очень чувствителен к свету, действию кислорода, ионов металлов.

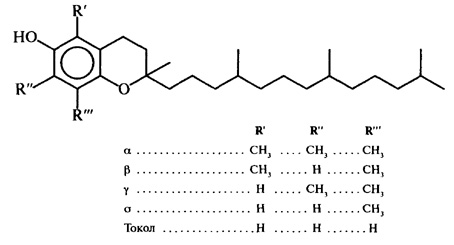
Токоферолы (витамин E). Обладающий наибольшей биологической активностью среди соединений этой группы, α–токоферол в чистом виде впервые был выделен в 1936 г. из зародышей пшеницы. Известно еще несколько представителей этой группы (токоферолы, метилтоколы), которые имеют меньшее количество метальных групп в ароматическом ядре и их аналоги – токотриенолы – с ненасыщенной боковой цепью.

Токоферолы регулируют интенсивность свободно–радикальных реакций в живых клетках, предотвращают окисление ненасыщенных жирных кислот в липидах мембран, влияют на биосинтез ферментов. При авитаминозе нарушаются функции размножения, наблюдается поражение миокарда, сосудистой и нервных систем. Витамин E выполняет не только витаминную, но и антиоксидантную функции, поэтому применяется для профилактики онкологических заболеваний при радиационном и

химическом воздействии на организм. Положительно влияет на функции половых желез. Применяется для профилактики ишемической болезни сердца, простатита, при снижении сексуальной активности. Распространены токоферолы в растительных объектах, в первую очередь в маслах: соевом – 115, хлопковом – 99, подсолнечном – 42 мг%. В хлебе содержится 2–4, в крупах – 2–15 мг%. Витамин E относительно устойчив при нагревании, разрушается под влиянием ультрафиолетовых лучей, кислорода.

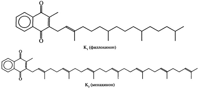
Витамин К. Витамин К (от нем. Koagulationsvitamin – витамин коагуляции) открыт в 1929 г. как антигеморрагический фактор. Необходим человеку для нормализации или ускорения свертывания крови. По химической природе витамин К является хиноном с боковой изопреноидной цепью. Существует два ряда витаминов групы К – филлохинона (витамин К1–рядa) и менахинона (витамина К2–ряда).

Филлохиноны и их производные содержатся в зеленых частях растений и поступают в организм с пищей, менахиноны образуются в результате деятельности микрофлоры кишечника или при метаболизме нафтохинонов в тканях организма. Витамин К регулирует процесс свертывания крови, участвуя в образовании компонентов ее системы (протромбин и другие). При недостатке витамина К наблюдается повышенная кровоточивость, особенно при порезах. Основные источники его – укроп, шпинат, капуста. Витамин К устойчив к повышенным температурам, разрушается на свету, в щелочной среде.

257:: 258:: 259:: 260:: Содержание

260:: 261:: 262:: Содержание







Date: 2015-05-09; view: 884; Нарушение авторских прав



mydocx.ru - 2015-2026 year. (0.369 sec.) Все материалы представленные на сайте исключительно с целью ознакомления читателями и не преследуют коммерческих целей или нарушение авторских прав - Пожаловаться на публикацию