Главная Случайная страница


Полезное:

Как сделать разговор полезным и приятным Как сделать объемную звезду своими руками Как сделать то, что делать не хочется? Как сделать погремушку Как сделать так чтобы женщины сами знакомились с вами Как сделать идею коммерческой Как сделать хорошую растяжку ног? Как сделать наш разум здоровым? Как сделать, чтобы люди обманывали меньше Вопрос 4. Как сделать так, чтобы вас уважали и ценили? Как сделать лучше себе и другим людям Как сделать свидание интересным?


Категории:

АрхитектураАстрономияБиологияГеографияГеологияИнформатикаИскусствоИсторияКулинарияКультураМаркетингМатематикаМедицинаМенеджментОхрана трудаПравоПроизводствоПсихологияРелигияСоциологияСпортТехникаФизикаФилософияХимияЭкологияЭкономикаЭлектроника






Вычислить концентрацию свинца, мг/кг, в исследуемом образце, используя метод добавок





Решение

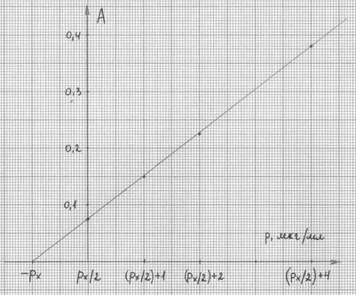
Массовая концентрация кальция в исследуемом растворе равна . Тогда концентрации измеряемых растворов равны: , , , . На оси абсцисс произвольно выбираем точку и откладываем от нее точки , , . Для построения градуировочного графика по оси ординат откладываем соответствующие точкам значения оптической плотности . Считая, что зависимость линейна, экстраполируем построенную по четырем точкам прямую до пересечения с осью абсцисс, как показано на графике:

 

Длина отрезка от 0 до соответствует . Следовательно, .

Рассчитаем концентрацию кальция в исследуемом образце:

Ответ: концентрация свинца в исследуемом образце составила 50·10-3 мг/кг.

 

Литература

1. Оптические методы и приборы контроля качества промышленных и продовольственных товаров: Программа, методические указания и контрольные задания для студентов «Физико-химические методы и приборы контроля качества продукции» заочной формы обучения. Сост. Глоба, И.И. Мн., БГТУ, 2012 г., 67 с.

2. Глоба И.И. Оптические методы и приборы контроля качества продукции. Тексты лекций для студентов специальности Т.13.02.00 «Физико-химические методы и приборы контроля качества продукции». – Мн.: БГТУ, 2003.







Date: 2015-05-08; view: 961; Нарушение авторских прав



mydocx.ru - 2015-2026 year. (0.403 sec.) Все материалы представленные на сайте исключительно с целью ознакомления читателями и не преследуют коммерческих целей или нарушение авторских прав - Пожаловаться на публикацию