Главная Случайная страница


Полезное:

Как сделать разговор полезным и приятным Как сделать объемную звезду своими руками Как сделать то, что делать не хочется? Как сделать погремушку Как сделать так чтобы женщины сами знакомились с вами Как сделать идею коммерческой Как сделать хорошую растяжку ног? Как сделать наш разум здоровым? Как сделать, чтобы люди обманывали меньше Вопрос 4. Как сделать так, чтобы вас уважали и ценили? Как сделать лучше себе и другим людям Как сделать свидание интересным?


Категории:

АрхитектураАстрономияБиологияГеографияГеологияИнформатикаИскусствоИсторияКулинарияКультураМаркетингМатематикаМедицинаМенеджментОхрана трудаПравоПроизводствоПсихологияРелигияСоциологияСпортТехникаФизикаФилософияХимияЭкологияЭкономикаЭлектроника






Усилительные каскады с применением транзисторов





Усилителем называется устройство, предназначенное для преобразования электрических сигналов. Мощность электрических сигналов, поступающих с выхода усилителя в цепь нагрузки, значительно превышает мощность входного сигнала.

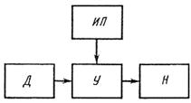
Функциональная схема усилительного каскада приведена на рис. 3.1. При поступлении на вход усилительного элемента У электрического сигнала от датчика Д изменяется ток, протекающий в цепи усилительного элемента от источника питания ИП, и изменяется мощность, отдаваемая источником в цепь нагрузки Н. Таким образом, увеличение мощности, получаемой нагрузкой, по сравнению с мощностью, отдаваемой датчиком, достигается за счёт передачи в нагрузку мощности от источника питания.

 

  Рис. 3.1. Функциональная схема усилительного каскада: Д – датчик; У – усилительный элемент; ИП – источник питания; Н – нагрузка

 

В полупроводниковых усилителях усилительным элементом является транзистор. Принцип действия, характеристики и параметры транзисторов были рассмотрены в работах № 1 - № 2.

Схема усилителя, обеспечивающего одну ступень усиления, называется каскадом. В данной работе исследуются маломощные усилительные каскады, предназначенные для усиления синусоидальных электрических сигналов. Работа усилителя переменных сигналов оценивается количественными и качественными показателями.

К количественным показателям относятся:

1) коэффициент усиления по току, равный отношению переменного тока в нагрузке к переменному току на входе каскада:

; (3.1)

2) коэффициент усиления по напряжению, равный отношению переменного напряжения на выходе каскада к переменному напряжению источника сигнала:

; (3.2)

3) коэффициент усиления по мощности, равный отношению мощности, выделяющейся в нагрузке, к мощности источника сигнала:

; (3.3)

4) входное сопротивление каскада, равное отношению напряжения на входе каскада к входному току:

; (3.4)

5) выходное сопротивление каскада (сопротивление каскада со стороны выходных зажимов при разомкнутой цепи нагрузки):

. (3.5)

Основным качественным показателем работы усилителя переменных сигналов является точность воспроизведения на выходе усилителя формы усиливаемого сигнала.

Искажение формы выходного сигнала в усилителях происходит за счёт нелинейности характеристик транзистора (нелинейные искажения), а также за счёт присутствия реактивных элементов при несинусоидальном входном сигнале (частотные искажения). В данной работе рассматриваются нелинейные искажения. Исследования производятся при такой частоте входного сигнала, называемой средней частотой, когда влиянием реактивных элементов можно пренебречь. Схемы одиночных усилительных каскадов с общим эмиттером (ОЭ) и общим коллектором (ОК) на плоскостных транзисторах приведены на лицевых панелях лабораторной установки.

 







Date: 2015-05-08; view: 682; Нарушение авторских прав



mydocx.ru - 2015-2026 year. (1.449 sec.) Все материалы представленные на сайте исключительно с целью ознакомления читателями и не преследуют коммерческих целей или нарушение авторских прав - Пожаловаться на публикацию