Главная Случайная страница


Полезное:

Как сделать разговор полезным и приятным Как сделать объемную звезду своими руками Как сделать то, что делать не хочется? Как сделать погремушку Как сделать так чтобы женщины сами знакомились с вами Как сделать идею коммерческой Как сделать хорошую растяжку ног? Как сделать наш разум здоровым? Как сделать, чтобы люди обманывали меньше Вопрос 4. Как сделать так, чтобы вас уважали и ценили? Как сделать лучше себе и другим людям Как сделать свидание интересным?


Категории:

АрхитектураАстрономияБиологияГеографияГеологияИнформатикаИскусствоИсторияКулинарияКультураМаркетингМатематикаМедицинаМенеджментОхрана трудаПравоПроизводствоПсихологияРелигияСоциологияСпортТехникаФизикаФилософияХимияЭкологияЭкономикаЭлектроника






Гидрогеологические расчеты при строительном водопонижении





 

1) Расчет котлована:

Исходные данные:

Скважина № 3

Глубина котлована hк = 2м

Размеры котлована 30 х 30 м

 

Тип выемки – несовершенный (т.к дно котлована не доходит до водоупора).

Характер потока вокруг выемки – радиальный, т.к 30/30=1 <10

 

Глубина залегания грунтовых вод d = 0,7 м

k=1м3/сут (коэфф. фильтрации грунта водоносного слоя)

Rтабл =30 м (радиус влияния водопонижения)

hwk=1,3 м, высота столба воды до водопонижения

hk= 2,5 м, высота капиллярного поднятия

 

S-величина водопонижения. Воду понижают до отметки ниже его дна.

1,5 hwk >S> hwk+ hk+05

1,95 м>S> 4,3 м

 

r0 – приведенный радиус «большого колодца», м

 

- радиус влияния «большого колодца», м

Rk = r0 + R = 16.93 + 30 = 46.93 м

hа1 = 1,69 м

hа2 = 0,39м

 

Расчет величины притока воды

м3/сут

 

м3/сут

 

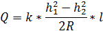
2) Расчет траншеи:

Исходные данные:

Глубина траншеи hтр = 1,5 м

Длина траншеи l = 100 м

 

Тип выемки – совершенный (дно траншеи врезается в водоупор)

Характер потока вокруг выемки – плоский

h1 =0.3м

S =0,3м

Глубина залегания грунтовых вод d =0,9 м

h2=0 м

Rтабл = 40м (радиус влияния водопонижения)

k=3м3/сут (коэфф. фильтрации грунта водоносного слоя)

 

Расчет притока воды:

м3/сут

 







Date: 2015-06-08; view: 652; Нарушение авторских прав



mydocx.ru - 2015-2026 year. (0.597 sec.) Все материалы представленные на сайте исключительно с целью ознакомления читателями и не преследуют коммерческих целей или нарушение авторских прав - Пожаловаться на публикацию