Главная Случайная страница


Полезное:

Как сделать разговор полезным и приятным Как сделать объемную звезду своими руками Как сделать то, что делать не хочется? Как сделать погремушку Как сделать так чтобы женщины сами знакомились с вами Как сделать идею коммерческой Как сделать хорошую растяжку ног? Как сделать наш разум здоровым? Как сделать, чтобы люди обманывали меньше Вопрос 4. Как сделать так, чтобы вас уважали и ценили? Как сделать лучше себе и другим людям Как сделать свидание интересным?


Категории:

АрхитектураАстрономияБиологияГеографияГеологияИнформатикаИскусствоИсторияКулинарияКультураМаркетингМатематикаМедицинаМенеджментОхрана трудаПравоПроизводствоПсихологияРелигияСоциологияСпортТехникаФизикаФилософияХимияЭкологияЭкономикаЭлектроника






Воспроизведите ход доказательства и комментарии к доказательству





Правило условного силлогизма   Правило modus tollens Правило отрицания дизъюнкции (ОД) Правило отрицания конъюнкции (ОК)
Правило Доказательство
А→ В …. 1. ….
В → С …. 2. ….
А→ С …. 3. ….
  …. 4. ….
  …. 5. ….
  …. 6. ….
Правило Доказательство правила:
А → В   …. ….
В   …. ….
А   …. ….
    …. ….
    …. ….
Правило Доказательство:
(А∨В)   …. ….
А∧В   …. ….
    …. ….
    …. ….
    …. ….
    …. ….
    …. ….
    …. ….
Правило Доказательство:
(А∧В)   …. ….
А∨В   …. ….
    …. ….
    …. ….
    …. ….
    …. ….
    …. ….
    …. ….
    …. ….
    …. ….
       
Правило контрапозиции 1 Правило контрапозиции 2 Правило сложной контрапозиции Правило простой конструктивной дилеммы (П.К.Д.)  
Правила контрапозиции: Доказательство
А → В   …. ….
В→А   …. ….
    …. ….
    …. ….
2 Правило Доказательство
В→А   …. ….
А → В   …. ….
    …. ….
    …. ….
    …. ….
    …. ….
Правило: Доказательство:
(А∧В)→С   …. ….
(А∧С)→В   …. ….
    …. ….
    …. ….
    …. ….
    …. ….
    …. ….
    …. ….
    …. ….
Правило Доказательство:
А→С   …. ….
В →С   …. ….
А∨В   …. ….
С   …. ….
    …. ….
    …. ….
    …. ….
    …. ….

Правило сложной конструктивной дилеммы (С.К.Д.)   Правило простой деструктивной дилеммы (П.Д.Д.)   Правило сложной деструктивной дилеммы (С.Д.Д.)  
Правило Доказательство:
А→В   …. ….
С→D   …. ….
А∨C   …. ….
В ∨D   …. ….
    …. ….
    …. ….
    …. ….
    …. ….
    …. ….
    …. ….
    …. ….
    …. ….

 

Правило Доказательство:
А→В   …. ….
А→С   …. ….
В ∨С   …. ….
А   …. ….
    …. ….
    …. ….

 

Правило Доказательство:
А→В   …. ….
С→D   …. ….
В ∨D   …. ….
А ∨С   …. ….
    …. ….
    …. ….

 

 
       

Правило условного силлогизма

Правило Доказательство
А→ В А→ В 1. ……………
В → С В →С 2. ……………
А→ С А 3. ……………
  В 4. ……………
  С 5. ……………
  А→ С 6. ……………

Правило modus tollens

Правило Доказательство правила:
А → В   А → В ……………
В   В ……………
А   А ……………
    В ……………
    А ……………

Правило отрицания дизъюнкции (ОД)

Правило Доказательство:
(А∨В)   (А∨В) ……………
А∧В   А ……………
    А∨В ……………
    А ……………
    В ……………
    А∨В ……………
    В ……………
    А∧В ……………

Правило отрицания конъюнкции (ОК)

 

Правило Доказательство:
(А∧В)   (А∧В) ……………
А∨В   (А∨В) ……………
    А∧В ……………
    А ……………
    А ……………
    В ……………
    В ……………
    А∧В ……………
    (А∨В) ……………
    А∨В ……………

 


Правило контрапозиции 1

Правила контрапозиции: Доказательство
А → В   А → В ……………
В→А   В ……………
    А ……………
    В→А ……………

Правило контрапозиции 2

2 Правило Доказательство
В→А   В→А ……………
А → В   А ……………
    А ……………
    В ……………
    В ……………
    А → В ……………

Правило сложной контрапозиции

 

Правило: Доказательство:
(А∧В)→С   (А∧В)→С ……………
(А∧С)→В   А∧С ……………
    А ……………
    С ……………
    (А∧В) ……………
    А∨В ……………
    А ……………
    В ……………
    (А∧С)→В ……………

 

Правило простой конструктивной дилеммы (П.К.Д.)

 

Правило Доказательство:
А→С   А→С ……………
В →С   В →С ……………
А∨В   А∨В ……………
С   С ……………
    А ……………
    B ……………
    B ……………
    С ……………

 

 

Правило сложной конструктивной дилеммы (С.К.Д.)

Правило Доказательство:
А→В   А→В ……………
С→D   С→D ……………
А∨C   А∨C ……………
В ∨D   A ……………
    В ……………
    В∨D ……………
    A →(В∨D) ……………
    С ……………
    D ……………
    B∨D ……………
    С →(B∨D) ……………
    B∨D ……………

 

Правило простой деструктивной дилеммы (П.Д.Д.)

 

Правило Доказательство:
А→В   А→В ……………
А→С   А→С ……………
В ∨С   В ∨С ……………
А   В→А ……………
    С→А ……………
    А ……………

Правило сложной деструктивной дилеммы (С.Д.Д.)

Правило Доказательство:
А→В   А→В ……………
С→D   С→D ……………
В ∨D   В∨D ……………
А ∨С   В→А ……………
    D→С ……………
    А∨С ……………

 


10. Упражнение

 

 

7. Список названий правил вывода

1. ВК: 2. ВД1: 3. УД2: 4. УИ2: 5. УЭ1: 6. 7. 8. 9. УК1: 10. ВД2: 11. ОД: 12. ОИ: 13. УЭ2: 14. 15. 16. 17. УК2: 18. УД1: 19. УИ1: 20. ВЭ: 21. ВО: 22. ОК: 23. УО:

 

8. Список схем правил вывода


 

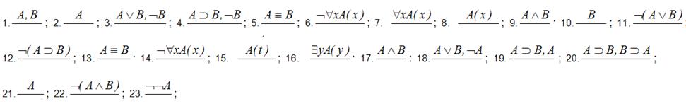
1. ; 2. ; 3. ; 4. ; 5. ; 6. ; 7. ; 8. ; 9. ; 10. ; 11. ; 12. ; 13. ; 14. ; 15. ; 16. ; 17. ; 18. ; 19. ; 20. ; 21. ; 22. ; 23. ;

 

 

9. Список схем правил вывода с пропущенным выводом

 

 

где А(t) – результат правильной подстановки термина t вместо x в А(х);

где А(х) – результат правильной подстановки переменной х вместо y в А(y);

x, a1, a2,…, an отмечены, причем переменная x безотносительно отмечена, а переменные a1, a2,…, an отмечены относительно x.

Пояснения

1. Буквами A и В при формулировке правил обозначаются формулы. Выражение А(у) обозначает формулу, имеющую сво­бодное вхождение переменной у, a A(t) — формулу, имеющую вхождение терма t, причем если t — переменная, то A(t) — формула, имеющая свободное вхождение этой переменной, а если t — индивидная константа, то A(t) — формула, содержа­щая эту константу.

2. Названия правил вывода расшифровываются так: ВК — введение конъюнкции, УК — удаление конъюнкции, OK — отрицание конъюнкции, ВД — введение дизъюнкции, УД — удаление дизъюнкции, ОД — отрицание дизъюнкции, УИ — удаление импликации, ОИ — отрицание импликации, ВЭ — введение эквивалентности, УЭ — удаление эквивалентности, ВО — введение (двойного) отрицания, УО — удаление (двойного) отрицания, — отрицание квантора общности, — отрицание квантора существования, — введение квантора общности, — удаление квантора существования, — введение квантора существования, — удаление кван­тора общности.

 

 







Date: 2015-06-08; view: 529; Нарушение авторских прав



mydocx.ru - 2015-2026 year. (0.481 sec.) Все материалы представленные на сайте исключительно с целью ознакомления читателями и не преследуют коммерческих целей или нарушение авторских прав - Пожаловаться на публикацию