Главная Случайная страница


Полезное:

Как сделать разговор полезным и приятным Как сделать объемную звезду своими руками Как сделать то, что делать не хочется? Как сделать погремушку Как сделать так чтобы женщины сами знакомились с вами Как сделать идею коммерческой Как сделать хорошую растяжку ног? Как сделать наш разум здоровым? Как сделать, чтобы люди обманывали меньше Вопрос 4. Как сделать так, чтобы вас уважали и ценили? Как сделать лучше себе и другим людям Как сделать свидание интересным?


Категории:

АрхитектураАстрономияБиологияГеографияГеологияИнформатикаИскусствоИсторияКулинарияКультураМаркетингМатематикаМедицинаМенеджментОхрана трудаПравоПроизводствоПсихологияРелигияСоциологияСпортТехникаФизикаФилософияХимияЭкологияЭкономикаЭлектроника






Сокращенные условные, разделительные и условно-разделительные умозаключения





Категорический силлогизм в мышлении часто употребляется в сокращенной форме — в форме энтимемы. Сокращенными мо­гут быть не только простые категорические силлогизмы, но и условные, и разделительные, и условно-разделительные умоза­ключения, в которых может быть пропущена либо одна из посы­лок, либо заключение. Рассмотрим типы таких сокращенных умозаключений.

1. В умозаключении заключение в явном виде может не формулироваться. «Если данное тело — металл, то оно при на­ревании расширяется. Данное тело — металл». Заключение Данное тело при нагревании расширяется» не формулируетсяв явном виде, а просто подразумевается в этом условно-катего­рическом умозаключении.

В приводимом ниже разделительно-категорическом умозак­лючении также пропущено заключение. «Многоугольники делят­ся на правильные и неправильные. Данный многоугольник непра­вильный». Заключение «Данный многоугольник не является пра­вильным» опущено; оно легко может быть восстановлено.

В дилеммах и трилеммах заключение также может явно не формулироваться, а подразумеваться. Например, в приведенной ниже сложной деструктивной дилемме заключение явно не при­сутствует:

«Если соблюдать правила хранения зерна, то не произойдет его самозагорания, а если организовать хорошую охрану зернохранилища, то не произойдет умышленного поджога. Данный пожар произошел либо от самозагорания зерна, либо от умыш­ленного поджога». Заключение — «В данном зернохранилище либо не соблюдаются правила хранения зерна, либо не налажена охрана» — подразумевается, а не высказывается в явной форме.

2. В умозаключении пропущена одна из посылок. В умозак­лючениях может быть пропущена первая посылка; она может подразумеваться, если выражает известное положение, теорему, закон и т. д.

В условно-категорическом умозаключении «Сумма цифр дан­ного числа делится на 3, следовательно, данное число делится на 3» опущена первая посылка, формулирующая известную матема­тическую закономерность: «Если сумма цифр данного числа делится на 3, то все число делится на 3».

В приводимом ниже разделительно-категорическом умозак­лючении также пропущена первая посылка: «Существительное в русском языке может быть женского, мужского или среднего рода», а все умозаключение сокращенно формулируется так: «Данное существительное русского языка не является сущест­вительным ни женского рода, ни среднего рода. Следовательно, данное существительное мужского рода».

В приведенном ниже примере сложной конструктивной дилем­мы: «Если я пойду через болото, то могу попасть в трясину, а если я пойду в обход, то не успею вовремя доставить донесение. Следовательно, я могу попасть в трясину или не успею вовремя доставить донесение» — вторая посылка не формулируется, а лишь подразумевается: «Я могу идти через болото или в обход».

Можно было бы привести и другие примеры сокращенных умозаключений: чисто условных, условно-категорических, чисто разделительных, разделительно-категорических, условно-разде­лительных (дилемм, трилемм) с пропущенной первой или второй посылкой, — но предоставляем это самостоятельно сделать чи­тателю.

Итак, рассмотренные нами прямые выводы, такие, как чисто условные, чисто разделительные, условно-категорические, разде­лительно-категорические и условно-разделительные (лемматические) умозаключения, сформулированные полностью и сокра­щенные (т. е. в которых пропущена либо одна из посылок, либо заключение), широко используются в процессе научного и обы­денного мышления, в процессе обучения в школе и в вузе. Поэто­му знание правил построения этих видов умозаключений пре­достережет от логических ошибок в мышлении, поможет до­казательнее, аргументированнее строить свои рассуждения и сде­лать более эффективным обучение учащихся и студентов.

Прямые выводы кроме рассмотренных выше форм включают и такие виды:

1. Простая контрапозиция.

Правило простой контрапозиции имеет следующий вид:

Это правило читается так: «Если а имплицирует b, то отрица­ние b имплицирует отрицание а». Здесь а и b — переменные, обозначающие произвольные высказывания, или пропозицио­нальные переменные.

Пример:

1. Если данный треугольник равносторонний, то он равноугольный.

____________________________________________________________________

Если данный треугольник не равноугольный, то он не равносторонний.

 

2. Если это вещество фосфор, то оно непосредственно с водородом не сое­диняется.

_____________________________________________________________________________________


Если вещество непосредственно с водородом соединяется, то это вещество не является фосфором.

 

Заметим, что в логике высказываний

Формула называется законом простой контрапозиции.

2. Сложная контрапозиция.

— правило сложной контрапозиции.

Пример рассуждения по правилу сложной контрапозиции:

 

Если у меня будут деньги и я буду здорова, то я поеду домой на каникулы.

________________________________________________________________________

Если у меня были деньги и я не поехала на каникулы домой, то, следовательно, а не была здорова.

 

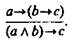
3. Правило импортации (конъюнктивного объединения условий). П. С. Новиков называет его правилом соединения посылок:

Это правило читается так: «Если а имплицирует, что b имп­лицирует с, то а и b имплицируют с».

В. А. Сухомлинский писал: «Если учитель стал другом ребен­ка, если эта дружба озарена благородным увлечением, порывом к чему-то светлому, разумному, в сердце ребенка никогда не появится зло». На основании правила соединения посылок (пра­вила конъюнктивного объединения условий) мы можем это вы­сказывание В. А. Сухомлинского записать иначе, но оно будет эквивалентно прежнему его высказыванию. Заключение: «Если учитель стал другом ребенка и эта дружба озарена благородным увлечением, порывом к чему-то светлому, разумному, то в сердце ребенка никогда не появится зло».

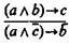
4. Правило экспортации (разъединения условий):

Это правило читается так: «Если а и b имплицируют с, то а имплицирует, что b имплицирует с. Правило это обратно предыдущему. Поэтому в качестве иллюстрации можно взять те же мысли В. А. Сухомлинского, только сначала прочитать наше полученное заключение, из которого можно прийти к высказыва­нию самого В. А. Сухомлинского.

 







Date: 2015-06-07; view: 679; Нарушение авторских прав



mydocx.ru - 2015-2026 year. (0.214 sec.) Все материалы представленные на сайте исключительно с целью ознакомления читателями и не преследуют коммерческих целей или нарушение авторских прав - Пожаловаться на публикацию