Главная Случайная страница


Полезное:

Как сделать разговор полезным и приятным Как сделать объемную звезду своими руками Как сделать то, что делать не хочется? Как сделать погремушку Как сделать так чтобы женщины сами знакомились с вами Как сделать идею коммерческой Как сделать хорошую растяжку ног? Как сделать наш разум здоровым? Как сделать, чтобы люди обманывали меньше Вопрос 4. Как сделать так, чтобы вас уважали и ценили? Как сделать лучше себе и другим людям Как сделать свидание интересным?


Категории:

АрхитектураАстрономияБиологияГеографияГеологияИнформатикаИскусствоИсторияКулинарияКультураМаркетингМатематикаМедицинаМенеджментОхрана трудаПравоПроизводствоПсихологияРелигияСоциологияСпортТехникаФизикаФилософияХимияЭкологияЭкономикаЭлектроника






Основы расчета буровых вышек





НАГРУЗКИ, ДЕЙСТВУЮЩИЕ НА ВЫШКУ

На вышку действуют постоянные нагрузки от ее веса и веса смонтированного на ней оборудования, эксплуатационные нагрузки, изменяющиеся по величине в процессе бурения, и переменные нагрузки от ветра. В результате возникают вертикальные и горизонтальные усилия. Вертикальные сжимающие усилия создаются нагрузкой на крюке, весом вышки и ее оборудования, натяжением ведущей и неподвижной ветвей талевого каната. Горизонтальные нагрузки, опрокидывающие вышку, являются горизонтальными составляющими от усилий в ведущей и неподвижной ветвях талевого каната, от веса наклонно установленных за пальцем вышки свечей бурильной колонны и от действия ветра. Грузоподъемность и прочность вышки зависят от сочетания этих нагрузок.

 
 

На вышку могут действовать четыре сочетания нагрузок (рис. 19.4):

– вертикальные 2, 3, 4, 6 и горизонтальные нагрузки 1, 5 в процессе СПО и спуска обсадной колонны; при этом допускается ветровая нагрузка 7 на нижнюю боковую поверхность q о = 250 Па (рис. 19.4,а);

– ветровая нагрузка 7 на низ вышки q о = 700 Па при полном пакете свечей за пальцем, крюк не нагружен, действуют нагрузки 2, 5 и 6 (рис. 19.4,б);

– нагрузки на вышку 2 н 6 при СПО и ветровой нагрузке 7 q о = 150 Па (рис. 19.4е);

– максимальные нагрузки на крюке 2, 3 и 4 при ликвидации прихватов, аварий или других операциях и ветровой нагрузке 7 на боковую поверхность низа вышки q о = 150 Па (рис. 19.4, г).

Вертикальные нагрузки

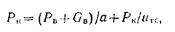
Вертикальная нагрузка па подкронблочную раму вышки: при неподвижном крюке

 
 

при движении крюка

где Р к — допустимая нагрузка на крюк, Н; G TC — вес талевой системы (крюк, талевой блок, канат и кронблок), Н; u тс — число струн в оснастке (кратность полиспаста), η ТС—к. п. д. талевой системы.

 
 

Усилие, действующее на более нагруженную ногу и опорный башмак при неподвижном конце каната, укрепленном у ноги вышки,

где Р в — общий вес вышки, Н; а — число ног вышки, для мачтовых вышек а = 2, для башенных а =4.

Горизонтальные нагрузки

Горизонтальная составляющая силы, действующей на крон- блок от натяжения ведущей и ведомой струн талевого каната:

 
 

при неподвижном крюке

 
 

при движении крюка

(β и γ — углы соответственно между ведущей и неподвижной струнами каната и вертикальной осью вышки).

Если струны закреплены противоположно друг другу, то берется знак «минус», если с одной стороны вышки у лебедки, то — «плюс».

 
 

Горизонтальная сила от действия силы тяжести свечей, уста новленных за пальцем.

где k — коэффициент, учитывающий отношение расстояния от подсвечника до пальца к длине свечи l; G c — вес свечей, установленных за пальцем, Н; α — угол наклона свечей к вертикали, обычно α=2~4°.

 
 

Горизонтальная ветровая нагрузка, действующая на вышку, зависит от природно-климатических условий, в которых эксплуатируется буровая установка. На эту нагрузку влияет динамическое давление ветра, называемое петровым или скоростным напором

где v — скорость ветра, м/с; ρ = 1,225 кг/м3 — плотность воздуха.

По данным многолетних наблюдений, предельный ветровой напор в различных районах России изменяется в пределах от 270 до 1000 Па. Согласно нормам РТМ 26-02—6—68 (Руководящий технический материал на проектирование буровых вышек), для расчета буровых вышек значения ветрового напора принимаются независимо от места их эксплуатации: q0 = = 700 Па—для нерабочего состояния; q0 = 250 Па — для рабочего состояния; q0 =150 Па—для монтажно-транспортного состояния.

 
 

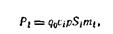
Равнодействующая от ветрового давления на вышку

где q0 — скоростной напор ветра, Па; сi — коэффициент, учитывающий возрастание напора ветра в зависимости от высоты; р = 2 — динамический коэффициент, учитывающий период собственных колебаний вышки; m — аэродинамический коэффициент, для конструкций из профильного проката т = 1,4, для труб m =l; S i — проекция панели на вертикальную плоскость, проходящую по оси вышки

 
 

(F i — общая площадь панели; φ = 0,15…0,2 — коэффициент заполнения панели, для обшитой части вышки φ =1).

Высота над поверхностью земли, м <10 20 40 100

Поправочный коэффициент с i 1,0 1,25 1,55 2,1

При определении ветровой нагрузки на необшитые части вышки принимается, что нагрузка действует и на заветренную часть вышки. При скоростях ветра до 110 км/ч учитывается ветровая нагрузка, действующая на поверхность полного комплекта свечей, стоящих за пальцем.


Горизонтальное усилие на кронблок от составляющей натяжения ведущей и неподвижной струн каната не должно быть более 15 кН и предполагается, что оно действует в том же направлении, что и горизонтальные усилия от веса свечей и ветра.

На заводах при конструировании мачты рассчитывают нагрузки, возникающие также при их подъеме в процессе монтажа. Величины этих нагрузок зависят от веса мачты и точек приложения этих нагрузок, поэтому поднимать и транспортировать мачты необходимо в строгом соответствии с заводской инструкцией.

Пример 19.1 Определить вертикальную нагрузку, действующую на подкронблочную раму вышки ВМ-42-140 во время СПО; глубина скважины 2500 м; диаметр бурильных труб d бт=127 мм, l бт = 2300 м, средний вес 1 м трубы qбт = 260 Н/м; l убт = 200 м, qубт = 178 мм, qубт = 1560 Н/м; плотность бурового раствора ρ р=1.2 г/см3 и плотность стали ρ с = 7,85 г/см3.

Решение.

 
 

Определяем по формуле вертикальную нагрузку на подкронблочную раму вышки при движении крюка

Весами штропов и элеватора можно пренебречь, тогда

Р к = (260·2300+1560·200)·(1 - 1,2/7,85) = 770 кН или 0,77 МН.

Вес подвижной части талевой системы

 
 

где G кб=12,7 кН — вес крюкоблока ТБК4-140Бр; G Tк= l тк· q к; l тк= l б· u тс — длина талевого каната в оснастке 4х5 между талевым блоком и кронблоком; l б =40 м — расстояние между кронблоком н талевым блоком в нижнем положении крюка; u тс = 8-кратность полиспаста; q к = 34 Н/м— вес талевого каната (для каната диаметром 28 мм по ГОСТ 16853—79).

Тогда

 
 

К. п. д. талевой системы

 
 

Вертикальная нагрузка на подкронблочную раму вышки при движении

Пример 19.2 Определить горизонтальную составляющую силы, действующей на кроиблок от натяжения ведущей и неподвижной струн талевого каната, для условий, принятых в предыдущем примере, если точки касания струн талевого каната и кронблока находятся на противоположных сторонах от точек крепления: неподвижной — 3 м и ведущей — 7 м; высота вышки h =45 м.

 
 

Решение.

Горизонтальные составляющие сил:

при неподвижной талевой системе (Рк=770 кН, кратность полиспаста u тс =8);

 
 

при подъеме бурильной колонны

 
 

что допустимо, так как по нормам Р'Г< 15 кН.

Пример 19.3 Определить ветровую нагрузку, действующую на мачтовую вышку ВМ-42-140. Нормативный напор ветра q0=700 Па, высота вышки h =45 м, нижняя часть вышки обшита на высоту h i,= 10 м, высота основания h 0=5 м, балкой на высоте hб =24 м имеет сплошную обшивку высотой 4 м; фермы мачты — решетчатой конструкции с маршевыми лестницами до балкона.

Решение.

 
 

Равнодействующие для каждой секции мачты определяем по формуле

где р = 2; площади панелей Si = 100м2. S2=80м2. S3=20м3, S4=54 м4; коэффициенты заполнения панелей; φ 1= φ 3=1; φ 2= φ 4=0,15; поправочный коэффициент высоты c 1=l,2; c 2 = 1,4; c 3= 1,45; с 4=1,8; аэродинамический коэффициент m 2=1,4; m 4=1 (панель из труб). Равнодействующие силы от ветрового давления на вышку:


 
 

Общее горизонтальное усилие от ветровой нагрузки, действующее на вышку

 

 
 

19.4 Основания вышек для бурения на суше

Основанием называется металлическая конструкция, собираемая из отдельных сварных секций (ферм) и устанавливаемая на поверхности земли; над ней располагается буровая вышка. Фермы основания свариваются из профильного проката или из труб. Размеры каждой секции определяются транспортными возможностями. Па основании устанавливают ротор и другое оборудование, а в пространстве между устьем скважины и ротором монтируют оборудование для герметизации устья.

На основание действуют нагрузки от веса вышки и усилий, возникающих в процессе проводки скважнны, вес находящегося на полу бурового оборудования и свечей в магазинах или вес колонны, установленной на роторе.

Конструкции оснований вышек весьма разнообразны. Основным требованиями, предъявляемыми к ним, являются:

– обеспечение необходимых размеров пола буровой и пространства для монтажа оборудования для герметизации устья скважины;

– прочность и жесткость для восприятия всех действующих нагрузок;

– быстрота и удобство монтажа, демонтажа и транспортировки;

– сохранность при многократных транспортировках с одной точки бурения на другую и монтажах.

Основание вышечно-роторного блока буровой установки рассчитывается на действие различного сочетания нагрузок на крюке, веса пакета свечей и оборудования, размещенного на полу буровой. Высота пола буровой зависит от класса установки.

Основание представляет собой сварную сборную конструкцию, в передней части которой расположены наклонные мостки и трап для затаскивания труб в буровую. Задняя часть снабжена продольными балками, связанными траверсой и образующими основание для установки буровой лебедки на расстоянии около 2,1м от земли, что при монтаже позволяет сгружать и устанавливать лебедку без ее подъема. Основания буровых установок универсальной монтажеспособности снабжаются поперечной балкой длиной 12м с кронштейнами на концах для соединения при перевозках на тяжеловозах. Такая длинная балка позволяет подводить тележки тяжеловозов при перевозках по широкой колее, приподнимать и увозить блок. При этом значительно быстрее можно демонтировать блок в зимний период, так как не требуется освобождать от льда все опоры перед перевозкой.

Параметры оснований вышки

Основные параметры основания — наибольшая нагрузка, отметка пола буровой, площадь подсвечников. Наибольшая нагрузка определяется максимально допустимой нагрузкой на ротор и нагрузкой на подсвечник, которые создаются весом бурильной колонны при наибольшей глубине бурения. Отметка пола буровой определяется двумя факторами: высотой пространства для размещения оборудования для герметизации устья скважины и высотой, необходимой для стока бурового раствора, выходящего из скважины к системе его очистки.


Высота пола буровой для установки оборудования с целью герметизации устья скважины определяется как сумма высот отдельных устройств, входящих в комплект сборки, с учетом высоты установленного на подроторные балки ротора (рис. 19.5):

Н = h 1+ h 2+ h 3+ δ 1

где h 1 = 0,5м — высота колонного фланца устья скважины от поверхности земли; h2 — высота стволовой части оборудования для герметизации устья; h 3 — расстояние от пола буровой до нижней части ротора; δ 1 = 0,5…0,7м —зазор между торцом верхнего превентора и ротором.

Площадь подсвечников — вместимость магазинов

Fп = kFт.

где k = 1,25 — коэффициент запаса площади; Fт — теоретическая площадь подсвечников, м

Fт = D 2 ·n

(D — диаметр замка трубы, м; n — L/l — число свечей; L — глубина скважины, м; l — длина свечи, м).

В табл. II.2 приведены параметры оснований по ОСТ 26-02-807—76.

Основания силовых приводов, трансмиссий и насосов имеют размеры, необходимые для установки
оборудования. Они разбираются на отдельные секции, допускающие перевозку по железным или автомобильным дорогам. Соединенные секции этих основании образуют единый блок.

Высота оснований силового блока составляет 2—2,3 м для удобства монтажа на нем оборудования, а насосного блока — 0,95 м. Каждая секция основания представляет собой жесткую пространственную сварную ферму из профильного проката, нижняя часть которой выполнена в виде салазок для передвижения волоком по промыслу, а верхняя образует площадку, на которой установлено все оборудование.

Таблица II.2

Параметры оснований установок для эксплуатационного глубокого бурения

Параметры Класс буровой установки
                   
БУ-1250 БУ-1600 БУ-2500 БУ-3200 БУ-4000 БУ-5000 БУ-6500 БУ-8000 БУ-11000 БУ-12500
Допускаемая нагрузка в МН на: подроторные балки подсвешники   0,48   0,6   1,2   1,25   1,5   2,2   2,4   3,0   6,3 3,8   4,8
Отметка пола буровой, м не менее     5,5           - -
Полезная площадь подсвешников, м2   2,5                

Пол застилается рифленым железом. Оборудование и проходы защищены перилами и каркасами. Основания соединяются с подвышечным блоком и между собой хомутами и стяжками.

19.5 НАГРУЗКИ, ДЕЙСТВУЮЩИЕ НА ОСНОВАНИЕ ВЫШКИ

В процессе бурения скважин характер нагружения основания вышки меняется в зависимости от выполняемых операций.

Опасными для прочности основания могут быть три случая нагружения.

1. Полный комплект свечей бурильной колонны весом G c находится на подсвечниках, крюк нагружен максимальной нагрузкой Рк. Например, прихват в конце подъема бурильной колонны, натяжение при спуске обсадной колонны, ветровая нагрузка q0 на вышку до 250 Па (рис. 19.6, а).

На основание одновременно действуют все вышки GB, нагрузка на крюке Рк, вес оборудования, настилов, укрытий, ограждений и других элементов, смонтированных на полу буровой Gоб, и вес комплекта свечей Gc,

 
 

Общая вертикальная нагрузка на основание вышки

Если неподвижный конец каната прикреплен к тому же элементу основания, что и шарнир ноги вышки, то он нагружает только шарниры и ногу вышки, не увеличивая осевой нагрузки на основание. Ведущая струна каната при натяжении как бы уменьшает действие силы тяжести лебедки на основание, но увеличивает нагрузку на ногу вышки. Если лебедка устанавливается на основание силового блока, то вертикальная составляющая тягового усилия ведущей струны создает дополнительную нагрузку на ногу пышки, а горизонтальная составляющая— опрокидывающий момент, что надо учитывать при определении устойчивости вышки.

 
 

2. Полный комплект свечей бурильной колонны установлен на подсвечнике G c, а на ротор установлена обсадная колонна максимального веса С к, на вышку действует ветровая нагрузка q0, а крюк не нагружен (рис. 19.6,б). На основание действует также вес вышки G B и оборудования G об

3. Основание транспортируется с комплектом смонтированного на нем оборудования, с вышкой или без нее в зависимости от конструкции. Транспортировка осуществляется в наиболее неблагоприятных дорожных условиях, наклоны продольные и боковые, вызывающие смещение центра тяжести, ухабы и т.д. (Многократная погрузка, разгрузка и транспортировка оснований не должна нарушать их прочность, жесткость и форму).

Нагрузки, действующие на фундамент или грунт

В процессе строительства скважины в зависимости от ее глубины и конструкции на основание действуют различные по величине нагрузки. Они передаются опорной поверхностью основания на грунт или промежуточный фундамент. Площадь основания может быть найдена из формулы

 
 

где G ф= G о + G ос — наибольшая нагрузка на фундамент, Н; G 0 — нагрузка на основание, выбирается наибольший из G 01 и G 02; G ос — вес основания, Н; σ г — допускаемое напряжение сжатия грунта или промежуточного фундамента, МПа.

Допустимые напряження сжатия σ сж, в МПа для некоторых материалов приведены ниже.







Date: 2015-06-07; view: 7133; Нарушение авторских прав



mydocx.ru - 2015-2026 year. (0.308 sec.) Все материалы представленные на сайте исключительно с целью ознакомления читателями и не преследуют коммерческих целей или нарушение авторских прав - Пожаловаться на публикацию