Главная Случайная страница


Полезное:

Как сделать разговор полезным и приятным Как сделать объемную звезду своими руками Как сделать то, что делать не хочется? Как сделать погремушку Как сделать так чтобы женщины сами знакомились с вами Как сделать идею коммерческой Как сделать хорошую растяжку ног? Как сделать наш разум здоровым? Как сделать, чтобы люди обманывали меньше Вопрос 4. Как сделать так, чтобы вас уважали и ценили? Как сделать лучше себе и другим людям Как сделать свидание интересным?


Категории:

АрхитектураАстрономияБиологияГеографияГеологияИнформатикаИскусствоИсторияКулинарияКультураМаркетингМатематикаМедицинаМенеджментОхрана трудаПравоПроизводствоПсихологияРелигияСоциологияСпортТехникаФизикаФилософияХимияЭкологияЭкономикаЭлектроника






В стационарном состоянии атома электрон, двигаясь по круговой орбите, должен иметь дискретные квантованные значения момента импульса, удовлетворяющие условию










 

Второй постулат Бора (правило частот): при переходе электрона с одной стационар­ной орбиты на другую излучается (поглощается) один фотон с энергией

 

равной разности энергий соответствующих стационарных состояний (Еn и Em — соот­ветственно энергии стационарных состояний атома до и после излучения (поглоще­ния)). При Еmn происходит излучение фотона (переход атома из состояния с боль­шей энергией в состояние с меньшей энергией, т. е. переход электрона с более удален­ной от ядра орбиты на более близлежащую), при Еmn его поглощение (переход атома в состояние с большей энергией, т. е. переход электрона на более удаленную от ядра орбиту). Набор возможных дискретных частот n = (En—Em)/h квантовых перехо­дов и определяет линейчатый спектр атома.


 

 

Швейцарский ученый И. Бальмер (1825—1898) подобрал эмпирическую формулу, описывающую все известные в то время спектральные линии атома водорода в видимой области спектра:

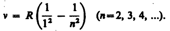
где R '=1,10×107 м–1 — постоянная Ридберга.* Taк как n = c / l, то для частот:

где R=R'c= 3,29×1015 с–1 — также постоянная Ридберга.


Серия Лаймана:

В инфракрасной области спектра были также обнаружены:


 







Date: 2015-05-04; view: 932; Нарушение авторских прав



mydocx.ru - 2015-2026 year. (1.308 sec.) Все материалы представленные на сайте исключительно с целью ознакомления читателями и не преследуют коммерческих целей или нарушение авторских прав - Пожаловаться на публикацию