Главная Случайная страница


Полезное:

Как сделать разговор полезным и приятным Как сделать объемную звезду своими руками Как сделать то, что делать не хочется? Как сделать погремушку Как сделать так чтобы женщины сами знакомились с вами Как сделать идею коммерческой Как сделать хорошую растяжку ног? Как сделать наш разум здоровым? Как сделать, чтобы люди обманывали меньше Вопрос 4. Как сделать так, чтобы вас уважали и ценили? Как сделать лучше себе и другим людям Как сделать свидание интересным?


Категории:

АрхитектураАстрономияБиологияГеографияГеологияИнформатикаИскусствоИсторияКулинарияКультураМаркетингМатематикаМедицинаМенеджментОхрана трудаПравоПроизводствоПсихологияРелигияСоциологияСпортТехникаФизикаФилософияХимияЭкологияЭкономикаЭлектроника






Методичні вказівки

 

до виконання контрольної роботи

з дисципліни «Охорона праці»

для студентів усіх спеціальностей

 

 

Дніпропетровськ НМетАУ 2005

УДК

 

Методичні вказівки до контрольної роботи з дисципліни «Охорона праці» для студентів усіх спеціальностей / Укл.: Бабенко Л.В., Іванов І.І - Дніпропетровськ: НМетАУ, 2005 - 33 с.

 

 

Методичні вказівки призначені для виконання контрольних завдань роботи з дисципліни «Охорона праці» студентами усіх спеціальностей. Вони вміщують задачі дисципліни, загальні методичні вказівки. Контрольні завдання вміщують теоретичні питання за основними розділами дисципліни та практичні розрахункові завдання, які дозволяють студентам показати рівень засвоєння теоретичного матеріалу.

 

Укладачі: Бабенко Л.В., канд.техн.наук., доц.

Іванов І.І., канд.техн.наук., доц.

 

Відповідальний за випуск В.П.Бобилєв, зав. каф. ІЕ та ОП

 

 

Рецензент Б.І. Мельніков, канд. техн. наук, доц., зав. каф. (ДГТХУ)

 

Редактор Лук’янець О.І.

 

© Національна металургійна Академія України

 

 

Підписано до друку 20.02.05. Формат 60´80 1/16. Папір друк. Друк плоский.

Облік.-вид. арк. 3,15. Умов. друк. арк. 3,12 Тираж____пр. Замовлення №

 

 

Національна Металургійна Академія України

49600, Дніпропетровськ-5, пр. Гагаріна,4

______________________________________

Радакційно-видавничий відділ НметАУ


 

1 ЗАГАЛЬНІ ПОЛОЖЕННЯ

 

«Охорона праці - це соціально-технічна дисципліна, теоретичні знання і практичні навички з якої допоможуть інженеру вирішувати численні завдання забезпечення здорових і безпечних умов праці. Тому мета вивчення дисципліни - набуття систематизованих знань, освоєння методів та засобів забезпечення безпеки праці, забезпечення здоров’я і працездатності людини у процесі трудової діяльності.

За результатами вивчення дисципліни студент повинен знати:

- законодавчу базу ОПг;

- структуру і функції органів нагляду за ОПг;

- обов’язки ІТП з ОПг, відповідальність працівників за порушення законів з охорони праці;

- порядок розслідування, обліку і аналізу нещасних випадків та професійних захворювань;

- шкідливі та небезпечні виробничі фактори, заходи щодо створення сприятливих санітарно-гігієничних і безпечних умов праці;

- способи і засоби нормалізації умов праці в промбудівлях і спорудах та їх розрахункове обґрунтування;

- інженерні заходи забезпечення електробезпеки та сферу їх застосування;

- типові рішення і засоби забезпечення охорони праці на підприємствах;

- основи пожежної безпеки при проектуванні і будівництві промбудівель та пожежної профілактики при експлуатації електроустановок.

Після вивчення дисципліни з ОП і виконання лабораторних робіт студент повинен вміти:

- розслідувати нещасні випадки і складати відповідну документацію;

- оцінювати ступінь безпечності обладнання, технологічного процесу і розробляти заходи з їх удосконалювання;

- організувати безпечне обслуговування технологічного електричного устаткування;

- розробляти технічну документацію з урахування вимог нормативних документів з охорони праці;

- самостійно приймати рішення при появі ознак небезпеки чи аварійного стану на об¢єктах;

- здійснювати профілактичну роботу з промсанітарії, техніки безпеки та інструктажі працівників щодо безпечної організації ведення робіт;

- користуватися захисними засобами і приладами контролю параметрів безпеки, навчити очолюваний підрозділ прийомам надання потерпілим першої медичної допомоги;

- користуватися первинними засобами пожежегасіння.

 

 


 

2 МЕТОДИЧНІ ВКАЗІВКИ ДО ВИКОНАННЯ КОНТРОЛЬНОЇ РОБОТИ

 

2.1 Загальні вимоги

 

Контрольна робота складається з п/яти питань і двох задач.

Варіант контрольної роботи вибирають за останніми двома цифрами залікової книжки, які визначають учбовий шифр студента (розділ 3.2).

Питання для контрольної роботи за своїм варіантом вибирають з розділу 3.3. Варіант вихідних даних для розв/язання задач вибирають з відповідних таблиць до них за останньою цифрою шифру.

Контрольну роботу виконують чорнилом, чітким і розбірливим почерком в учнівському зошиті або на аркушах формату А-4, пронумерованих і скріплених належним чином. Можливо також виконання роботи у надрукованому вигляді. На кожній сторінці залишають поля для зауважень рецензента.

Відповіді на питання повинні бути чіткими, повними, з посиланням на джерела інформації, за необхідності пояснюватися схемами, ескізами, графіками. Пояснювальний графічний матеріал повинен відповідати вимогам ЄСКД та технічного креслення.


При виконанні задачі треба навести її умови, вихідні дані і розгорнуте рішення з формулами, що використовуються, розшифровкою прийнятих позначень і вказівкою одиниць виміру параметрів. В кінці наводять відповідь або висновок до рішення.

Варіант задачі вибирається по останній цифрі учбового шифру.

В кінці контрольної роботи слід навести перелік використаної літератури, поставити дату виконання та підпис.

Зарахована робота подається викладачеві під час складання заліку.

 

2.2 Завдання до контрольної роботи

 

Таблиця 2.1 –Варіанти завдання

№ Вар. №№ питань №№ задач № Вар. №№ питань №№ задач
           
  1,32,63,94,125 2,8   24,54,84,114,144 4,10
  3,33,64,95,126 3,9   25,55,85,115,145 5,9
  3,34,65,96,127 4,10   26,56,86,116,146 4,7
  4,35,66,97,128 5,11   27,57,87,117,147 1,6
  5,36,62,98,129 6,12   28,58,88,118,148 2,7
  6,37,68,99,130 7,13   29,59,89,119,149 3,8
  7,38,69,100,131 1,14   30,60,90,120,150 9,14
  8,39,70,101,131 3,8   31,61,91,121,151 10,15
  9,40,71,102,133 4,9   4,34,64,94,152 12,10
  10,41,72,103,134 5,10   3,33,63,92,122 1,11
  11,42,73,104,135 6,11   2,31,62,93,123 3,15
  12,43,74,105,135 7,12   1,69,78,124,154 4,9
  13,44,75,106,137 2,15   5,38,71,104,137 2,8
           
  14,45,76,107,138 3,14   6,39,72,105,138 3,9
  15,46,77,108,139 1,9   7,40,73,106,139 4,10
  16,47,78,109,140 2,10   8,41,74,107,140 5,11
  17,48,79,110,141 3,11   9,42,75,108,141 6,12
  18,49,80,111,142 4,12   10,43,76,109,142 7,13
  19,50,81,112,143 5,13   11,44,77,110,143 1,14
  20,51,82,113,144 6,14   12,45,78,111,145 3,8
  21,52,83,114,145 7,15   13,46,79,112,146 4,9
  22,53,84,115,146 1,8   14,47,80,113,147 5,10
  23,54,85,116,147 1,14   15,48,81,114,148 7,12
  24,55,86,117,148 2,13   16,49,82,115,149 2,15
  25,56,87,118,149 3,6   17,50,83,116,150 3,14
  26,57,88,119,150 4,7   18,51,84,117,151 1,9
  27,58,89,120,151 5,8   19,52,85,118,152 2,10
  28,59,90,121,152 9,11   20,53,86,119,153 3,11
  29,60,91,122,153 10,12   21,54,87,120,154 4,12
  30,61,92,123,154 1,5   22,55,88,121,155 5,13
  31,62,93,124,155 2,6   23,56,62,89,122 7,15
  5,35,65,95,125 3,7   24,57,63,90,123 1,8
  6,36,66,96,126 4,8   25,42,67,85,110 1,14
  7,37,67,97,127 9,13   26,43,68,86,111 2,13
  8,38,68,98,128 10,14   27,44,69,87,112 3,6
  9,39,69,99,129 11,15   28,45,69,88,113 4,7
  10,40,70,100,130 2,12   29,46,70,89,114 5,8
  11,41,71,101,131 3,11   30,47,71,91,116 9,11
  12,42,72,102,132 4,10   31,48,72,92,117 4,9
  13,43,73,103,133 5,9   32,49,73,94,120 5,10
  14,44,74,104,134 4,7   33,51,74,95,121 6,11
  15,45,75,105,135 1,6   34,52,75,97,125 7,12
  16,46,76,106,136 2,7   35,53,77,100,127 2,15
  17,47,77,107,137 3,8   14,54,78,102,128 3,14
  18,48,78,108,138 9,14   15,55,79,103,129 1,9
  19,49,79,109,139 10,15   16,56,80,104,130 2,10
  20,50,80,110,140 12,10   17,57,81,105,131 3,11
  21,51,81,111,141 1,11   18,58,82,106,133 4,12
  22,52,82,112,142 3,15   20,59,84,107,135 5,13
  23,53,83,113,143 4,9   21,60,85,110,140 6,14

 


 

2.3 Питання до виконання контрольної роботи

 

1. Дайте визначення поняття “охорони праці”, “промислова санітарія”, “техніка безпеки”; наведіть характеристику стану охорони праці в Україні.

2. Як впливає стан охорони праці на економічні показники діяльності підприємства?

3. Дати визначення понять: небезпечний виробничий фактор, шкідливий виробничий фактор, нещасний випадок, професійне захворювання, робоча зона.

4. Перелічити основні законодавчі акти з охорони праці. Назвіть основні розділи Закону «Про охорону праці».

5. Які права з охорони праці мають громадяни при складанні трудового договору і під час роботи?

6. У чому полягають права працівників на пільги і компенсації за важкі і шкідливі умови праці?

7. Які види нагляду і контролю з охорони праці передбачені на Україні?

8. У чому полягають обов¢язки роботодавця в сфері охорони праці?

9. Які обов¢язки працівника передбачені законодавством про охорону праці?

10. У чому полягають гарантії охорони праці жінок, неповнолітніх і інвалідів?

11. Перелічить основні види міжгалузевих і галузевих нормативних актів про охорону праці.

12. Перелічить основні нормативні акти з охорони праці, що діють у межах підприємства. Який порядок розробки і затвердження цих актів?

13. Яка відповідальність передбачена за порушення вимог з охорони праці?

14. Перелічити органи державного нагляду за охороною праці. Які повноваження мають ці органи?

15. Перелічити основні функції і завдання системи управління охороною праці.


16. Як здійснюється управління охороною праці на підприємстві?

17. Розкрийте структуру системи управління охороню праці на підприємстві.

18. Як і коли створюється на підприємстві служба охорони праці? Основні завдання, функціональні обов/язки і права цієї служби.

19. Як проводиться атестація робочих місць на відповідність вимогам нормативних актів про охорону праці?

20. Як здійснюється навчання та перевірка знань працівників з питань охорони праці?

21. Назвіть види інструктажів з охорони праці, порядок їх проведення та реєстрації.

22. Як здійснюється відшкодування роботодавцем шкоди працівникам у разі ушкодження здоров/я під час виконання трудових обов/язків чи нанесення моральної шкоди?

23. Як здійснюється нагляд і контроль за станом охорони праці на Україні? Перелічити органи державного нагляду за охороною праці.

24. Які повноваження і права має державний інспектор з охорони праці?

25. Як здійснюється суспільний контроль за дотриманням законодавства з охорони праці?

26. Розкрийте сутність трьохступінчастої системи контролю за станом охорони праці на підприємстві.

27. Які повноваження і права мають професійні союзи в сфері контролю за дотриманням законодавства з охорони праці?

28. Наведіть класифікацію нещасних випадків за травмуючим фактором, за тяжкістю, за зв/язком з виробництвом.

29. Перелічить нещасні випадки, за результатами розслідування яких складається акт форми Н-1 і які беруться на облік.

30. При яких обставинах нещасні випадки, що трапилися з працівниками, не беруться на облік і за результатами розслідування акт форми Н-1 не складається?

31. Викладіть порядок сповіщення про нещасні випадки та їх розслідування і обліку. Терміни розслідування.

32. Які відомості заносяться в акт форми Н-1?

33. Хто затверджує акт форми Н-1? Кому він направляється? Терміни його зберігання.

34. У якому випадку і як проводиться спеціальне розслідування нещасних випадків?

35. Як проводиться розслідування нещасних випадків з особливо тяжкими наслідками? Склад документації цього розслідування.

36. Порядок розслідування професійних захворювань на виробництві.

37. Характеристика безпеки технологічного процесу. Класифікація аварій.

38. Характеристика трудових операцій як об’єкта аналізу умов праці.

39. Які методи аналізу травматизму використовуються? Дайте коротку характеристику цим методам.

40. У чому полягає статистичний метод аналізу травматизму? Як визначаються показники частоти та тяжкості травматизму?

41. Визначити показники частоти та тяжкості травматизму. Навести відповідні розрахункові формули.

42. Яким загальним санітарно-гігієнічним вимогам повинен відповідати генплан підприємства?

43. Назвіть загальні санітарно-гігієнічні вимоги до улаштування виробничих приміщень.

44. Визначити поняття мікроклімату робочої зони, охарактеризувати його вплив на теплообмін організму людини з навколишнім середовищем. Що таке тепловий удар?

45. Назвіть основні види теплообміну людини з навколишнім середовищем. Як вони залежать від параметрів мікроклімату?

46. Дати визначення понять: оптимальні, припустимі і шкідливі умови роботи.

47. Який природний склад має повітря робочої зони? Як його складові частини впливають на життєдіяльність людини?

48. Який вплив на людину спричиняє змінення тиску атмосферного повітря?

49. Опишіть основні джерела забруднення шкідливими речовинами повітряного середовища виробничих приміщень підприємств.

50. До яких наслідків для працюючих можуть привести шкідливі домішки повітря робочої зони?

51. Приведіть класифікацію шкідливих домішок повітря робочої зони.

52. Як залежить шкідливий вплив домішок повітряного середовища від їхнього хімічного складу, часу дії, концентрації, параметрів мікроклімату, наявності інших шкідливих факторів, фізичної трудомісткості робіт?

53. Як здійснюється санітарно-гігієнічне нормування забруднень повітряного середовища на виробництві?

54. Як здійснюється визначення гранично допустимих концентрацій шкідливих домішок повітря робочої зони при наявності декількох домішок?

55. У повітря робочої зони одночасно надходять шкідливі гази SO2 i H2S у співвідношенні 3:2. Визначити сумарну ГДК шкідливих речовин.

56. Як здійснюється нормування параметрів мікроклімату?

57. Перелічить заходи і способи щодо нормалізації параметрів мікроклімату.

58. Який вплив спричиняє теплове випромінення на організм людини? Як здійснюється нормування інтенсивності потоку випромінення?

59. Які методи використовуються для захисту від променевого тепла й у чому їхня сутність?

60. Які параметри мікроклімату нормуються для робочої зони ГОСТом 12.1. 005-88 і з урахуванням яких факторів?

61. Опишить загальні заходи і способи попередження забруднення повітряного середовища на виробництві.

62. Для чого і коли проводяться періодичні медичні обстеження працюючих у шкідливих умовах праці?

63. Які засоби індивідуального захисту (ЗІЗ) працюючих у шкідливих умовах праці використовуються на підприємствах?

64. У чому полягає призначення вентиляції? Види вентиляції. Назвіть основні вимоги до вентиляції виробничих приміщень

65. Як здійснюється природна вентиляція виробничих приміщень? Переваги і недоліки аерації.

66. Яка мета аерації і порядок розрахунку?

67. Як здійснюється загальнообмінна штучна (механічна) вентиляція? Її переваги над аерацією, недоліки системи штучної вентиляції.

68. Назвіть основні конструктивні елементи систем загальнообмінної штучної вентиляції, їхнє призначення.

69. Призначення місцевих (локальних) систем механічної вентиляції, їхні види. Коли доцільне використання місцевих систем механічної вентиляції?

70. Як здійснюється розрахунок необхідного повітрообміну при проектуванні вентиляції?

71. У приміщення цеху находить оксид вуглецю в кількості 13,6кг/год. (ГДКсо=20мг/м3). Визначити кількість повітря, необхідного для провітрювання цеху при вмісті СО у ньому 2мг/м3.

72. Надлишок тепла, що виділяється в цеху, становить 23*103кДж/с, температура повітря, що надходить у цех складає 17°С, температура повітря, що відводиться з цеху складає 27°С. Визначити кількість повітря необхідного для провітрювання цеху при його теплоємності 1,31кДж/(м3*0С).

73. Наведіть кількісні показники виробничого освітлення.

74. Наведіть якісні показники виробничого освітлення.

75. Яке значення має природне освітлення для працюючих як виробничий і фізіолого-гігієнічний фактор? Які бувають системи природного освітлення?

76. Розкрийте поняття: коефіцієнт природного освітлення, розряди робіт із зорової роботи

77. Як здійснюється нормування природного освітлення?

78. Дайте перелік систем і видів штучного освітлення. Яке їхнє призначення?

79. Які вимоги пред/являються до виробничого освітлення?

80. Дайте порівняльну характеристику джерел штучного освітлення.

81. Яке призначення світильників? Їхні основні характеристики і виконання.

82. Як здійснюється нормування штучного освітлення?

83. Які методи використовують при проектуванні систем штучного освітлення? Розкрийте сутність цих методів.

84. Які мета і порядок розрахунку освітлення методом коефіцієнта використання світлового потоку?

85. Що таке шум? Причини і джерела виникнення шуму на підприємствах.

86. Які фізичні параметри використовують для характеристики шуму? Одиниці їхнього виміру. Як визначаються логарифмічні рівні?

87. Як класифікуються шуми?

88. Дайте характеристику впливу шуму на організм людини.

89. Як здійснюється гігієнічне нормування шуму?

90. Опишіть міри і засоби колективного й індивідуального захисту від шуму, що використовуються на підприємствах.

91. Що таке вібрація? Причини і джерела вібрації на підприємствах.

92. Якими фізичними параметрами характеризується вібрація? Одиниці їхнього виміру. Як визначаються логарифмічні рівні?

93. Як класифікується вібрація?

94. Дайте характеристику впливу вібрації на організм людини.

95. Як здійснюється гігієнічне нормування вібрації?

96. Опишіть заходи і способи колективного захисту від вібрації, що використовуються на підприємствах.

97. Які способи індивідуального захисту від вібрації використовуються на підприємствах?

98. Якого режиму роботи і відпочинку необхідно дотримуватися при роботі з вібраційним обладнанням? Медико-профілактичні заходи, що використовуються для профілактики віброзахворювань.

99. Яку дію спричиняє електричний струм на людину? Назвіть основні причини електроуражень. Види травматизму від електричного струму.

100. Які місцеві електротравми виникають унаслідок дії електричного струму на людину? Охарактеризуйте ці травми.

101. У наслідок чого виникають електричні удари? Наслідки ударів. Що таке клінічна смерть?

102. Перелічить фактори, що впливають на тяжкість поразки електричним струмом. У чому полягає цей вплив?

103. Як впливає частота і тривалість дії струму на наслідки поразки людини струмом? Який діапазон частот є найбільш небезпечним? За якої напруги небезпека поразки є більшою для постійного струму і за якої – для струму з частотою 50Гц?

104. Назвіть гранично-припустимі значення струму і напруги для частоти 50Гц; 400Гц і постійного струму. Як ці величини змінюються від метеоумов приміщення?

105. Охарактеризуйте електричний опір тіла людини. Від яких факторів він залежить? Що таке струм прихвата і смертельно небезпечний струм? Їх величини.

106. Що таке петлі струму і які з них найбільш небезпечні? Види дотику до струмоведучих частин.

107. Коли виникає крокова напруга і від яких факторів вона залежить? Як зменшити небезпеку поразки від крокової напруги?

108. Наведіть класифікацію приміщень за ступінню електронебезпечності. Які рівні умовно – безпечної напруги в них?

109. Охарактеризуйте приміщення з підвищеною і особливою електронебезпечністю.

110. Яка документація повинна знаходитися на робочих місцях при експлуатації електроустановок?

111. Які існують кваліфікаційні групи персоналу електроустановок і вимоги до них?

112. Як здійснюється проведення робіт на електроустановках за усним наказом і за нарядом – допуском?

113. Хто і у якому порядку здійснює огляд електроустановок?

114. Яке призначення захисного заземлення? Його устрій, принцип дії і види.

115. Призначення, устрій і принцип дії захисного занулення.

116. Назвіть види захисту від випадкового дотику до струмоведучих частин обладнання.

117. Які колективні і індивідуальні засоби захисту від поразки електричним струмом використовуються на підприємствах?

118. Як вивільнити людину від дії струму в мережах до 1000В та вище?

119. Яку треба надати першу лікарняну допомогу постраждалому від дії електричного струму?

120. У якому випадку і як виконується штучне дихання методом з рота в рот і непрямий масаж серця постраждалого від дії електричного струму?

121. Які основні причини пожеж на підприємствах? Назвіть небезпечні фактори пожежі для людей.

122. Що таке горіння? Механізм горіння. Температури спалаху і загоряння.

123. Які основні причини вибухів на виробництві? Що таке границі сполоху? Як визначити вибухонебезпечність газоповітряної суміші за наявності декількох горючих і баластних компонентів у паливі?

124. Наведіть класифікацію вибухонебезпечних зон і приміщень.

125. Наведіть класифікацію пожеж за видом горючої речовини.

126. Як визначається вогнестійкість будівельних споруд? Приведіть способи її підвищення.

127. Як характеризується ступінь вогнестійкості будівель і споруд?

128. Наведіть класифікацію приміщень і виробництв за вибухопожеженебезпечністю.

129. Дайте характеристику речовинам, що застосовуються при гасінні пожеж.

130. Як здійснюється виявлення пожежі й оповіщення про неї? Основні елементи системи пожежної сигналізації. Види сповіщувачів про пожежу.

131. Які організаційно- технічні міри, що спрямовані на попередження пожеж, використовуються на підприємствах? Обов/язки персоналу.

132. Які задачі пожежної охорони об/єкту? На яких підприємствах створюються пожежно-технічні комісії? Їх склад і задачі.

133. Первинні засоби і стаціонарні установки пожежегасіння.

134. Які види захисту будівель і споруд від блискавки використовуються на підприємствах? Устрій цих систем захисту.

135. Поняття про іонізуючі випромінення, види їх і основні характеристики. Біологічна дія іонізуючих випромінювань.

136. Експозиційна, поглинальна й еквівалентна дози іонізуючих випромінювань; одиниці виміру.

137. Нормування іонізуючих випромінювань і дозиметричний контроль.

138. Захист від іонізуючих випромінювань.

139. Заходи безпеки при застосуванні рентгенівського випромінення в промисловості.

140. Дія електромагнітних випромінювань на організм людини, їх нормування і контроль.

141. Що таке безпека виробничого процесу і яким основним вимогам з безпеки він повинен відповідати?

142. Які засоби колективного захисту використовуються для безпеки виробничих процесів та обладнання?

143. Яким основним вимогам безпеки повинно відповідати виробниче устаткування? Дайте визначення понять “надійність”, “довговічність”, “безвідмовність”, “ремонтопридатність”.

144. Які завдання ергономіки та виробничої естетики?

145. Які методи застосовуються для неруйнівного контролю металу та зварних з/єднань обладнання, що працює під тиском?

146. Як виконується технічне освідчення котлів?

147. Як виконується технічне обстеження котлів?

148. Які причини виробничого травматизму під час роботи на вантажопідйомних машинах та механізмах?

149. Які технічні засоби безпеки використовуються на вантажопідйомних машинах та механізмах?

150. Яка мета і порядок технічного огляду та випробувань вантажопідйомних машин? Види випробувань.

151. У чому полягає економічне значення запровадження заходів з охорони праці?

152. Яка структура витрат на заходи з охорони праці і як вони визначаються?

153. Які соціально-економічні показники використовуються для оцінки заходів з охорони праці?

154. За якими показниками і яким чином можна оцінити народногосподарський результат заходів з охорони праці?

155. За якими показниками і як виконується оцінка економічної ефективності заходів з охорони праці?

 

2.4 Задачі до контрольної роботи та вказівки до їх рішення

 

Задача 1. Робоче місце, де періодично виконуються технологічні операції тривалістю до 20 хвилин, віддалене від стінки печі площею F, м2 на відстань l, м. Оцінити відповідність інтенсивності теплового випромінення на робочому місці припустимому рівню за ГОСТ 12.1.005-88. Матеріал кладки, її товщина S, мм і температура внутрішньої поверхні tв, 0С, температура оточуючого повітря та обладнання t0, 0С наведені в табл. 1

 

Таблиця 1- Вихідні дані до задачі 1

№№ вар. Матеріал кладки F, м2 l, м S, мм tв, 0С t0, 0С
             
  Шамот 3,5        
  Динас 1,5        
  Піношамот   4,5      
  Червона цегла 6,5        
  Шамот 8,8        
  Динас   1,5      
  Піношамот 1,5        
             
  Червона цегла          
  Шамот          
  Динас          

Вказівки до рішення

Інтенсивність теплового випромінення на робочому місці наближено можна визначити а формулами:

 

- при l £ F , Вт/м2; (2.1.1)

 

- при l > F , Вт/м2 (2.1.2)

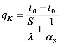
де Т3 – абсолютна температура зовнішньої поверхні стінки печі, К, яку знаходять за методом ітерацій. Спочатку приймають t3 = Т3 –273 = t0, 0С, коефіцієнт тепловіддачі від стінки в оточуюче середовище a3 = 15¸20 Вт/(м2*К) та знаходять:

середню температуру кладки: , 0С;

коефіцієнт теплопровідності матеріалу кладки l, Вт/(м*К) при цій температурі за відповідною формулою додатку 2;

 

тепловий потік крізь кладку: , Вт/м2.

 

Потім уточнюють величини t3 та a3:

 

, 0С; , Вт/(м2*К), (2.1.3)

 

де С0 = 5,67 Вт/(м24) – коефіцієнт випромінення абсолютно чорного тіла;

e3 – ступінь чорноти поверхні кладки (додаток 2);

Т0 =t0 + 273 – абсолютна температура оточуючого середовища, К.

Ці значення t3 та a3 використовують для уточнення t, l, q за наведеними формулами. Аналогічно виконують переуточнення t3, a3, t, l, q у другому та наступних наближеннях. Якщо значення t 3, що отримано у попередньому та наступному наближенні, відмінні не більш, ніж на 50С, уточнення t 3 припиняють і приймають у якості розрахункової величину, яка отримана в останньому наближенні.

Припустимий рівень теплового випромінення знаходять з додатку 3 у залежності від тривалості роботи, що треба виконувати на робочому місці.

 

Задача 2. Визначити максимальну тривалість неперервного виконання технологічних операцій робітником на відстані l,м від нагрітої до температури t3, 0С поверхні обладнання площею F,м2. Який сумарний час на протязі години він може працювати на цьому місці?

 

Таблиця 2- Вихідні дані до задачі 2

№№ вар. F, м2 l, м t3, 0С
  2,2 2,5  
  1,5    
    3,2  
  1,5 1,6  
  8,8    
    1,5  
  1,5    
       
       
       

 

Вказівки до рішення

 

Інтенсивність теплового випромінення на робочому місці визначають як:

 

, Вт/м2 при l £ F (2.2.1)

 

або , Вт/м2 при l > F, (2.2.2)

де Т3 – абсолютна температура поверхні обладнання, К.

За величиною q інтерполяцією даних додатку 3 знаходять величини t1 і tS.

 

 

Задача 3. У скільки разів буде зніжено інтенсивність теплового випромінення на робочому місці, якщо зовнішню поверхню кладки печі площею F, м2 з температурою t3, 0С екранувати металевим листом? Відстань від екрана до робочого місця l, м; зазор між екраном та кладкою l3 = 200мм. Матеріал кладки та екрана наведений в табл. 3; температура оточуючого повітря і конструкцій t0 = 300С.

 

Таблиця 3- Вихідні дані до задачі 3

№№ вар.   F, м2   l, м   t3, 0С   Матеріал
Кладки Екрана
  2,2 2,5   Шамот Алюміній полірований
  1,5     Динас Алюміній шорсткий
    3,2   Червона цегла Жесть біла стара
  1,5 1,6   Піношамот Сталь листова шліфована
  8,8     Шамот Сталь окислена шорстка
    1,5   Динас Алюміній дуже окислений
  1,5     Червона цегла Залізо оцинковане блискуче
        Піношамот Алюміній полірований
        Шамот Алюміній шорский
        Динас Жерсть біла стара

Вказівки до рішення

Інтенсивність теплового випромінення на робочому місці при відсутності екрана та при його установці можна визначити за формулами:

 

,Вт/м2 при lр £ F (2.3.1)

 

або ,Вт/м2 при lр > F, (2.3.2)

де lр відстань від робочого місця до поверхні, що випромінює, м; при відсутності екрана: lр= l + l3,м; при його установці: lр= l,м;

Тр – абсолютна температура поверхні, що випромінює, К; при відсутності екрана: Т р= t3 + 273,К; при його установці: Т р= Те,К.

Абсолютну температуру екрана Те,К визначають за формулою:

 

, К, (2.3.3)

 

де - зведена ступінь чорноти системи “кладка – екран”;

 

Т0 = t0 +273 – абсолютна температура оточуючого середовища, К;

eк, eе – ступінь чорноти матеріалу кладки і екрана, які знаходять з додатків 2 і 4.

 

Задача 4. Стінка печі площею F,м2 і товщиною S, мм виконана з шамотної цегли та віддалена на l, м від робочого місця. Визначити товщину шару теплоізоляції кладки з піношамоту для можливості періодичної роботи тривалістю до t1, хвилин. Температура внутрішньої поверхні кладки tB, 0С; оточуючого повітря і обладнання t0 = 300С.

 

Таблиця 4- Вихідні дані до задачі 4

№№ вар. F, м2 l, м S, мм t1, хвилин tв, 0С
           
           
    1,5      
    2,5      
    1,5      
           
           
    1,5      
    2,5      
    1,5      

Вказівки до рішення

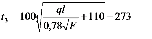
Припустима температура поверхні, що випромінює, тобто зовнішньої поверхні шару теплоізоляції, визначають за формулою:

 

, 0С, (2.4.1)

 

де q – припустима інтенсивність теплового потоку на робочому місці, Вт/м2, яку знаходять інтерполяцією за тривалістю одноразової дії випромінення t1, хвилин з додатку 3.

Коефіцієнт тепловіддачі від зовнішньої поверхні теплоізоляції в оточуюче середовище:

 

, Вт/(м2*К), (2.4.2)

де С0 = 5,67 Вт/(м24) – коефіцієнт випромінення абсолютно чорного тіла;

e3 – ступінь чорноти поверхні теплоізоляції (додаток 2);

Т03 – абсолютна температура оточуючого середовища і зовнішньої поверхні шару теплоізоляції, К.

Тепловий потік крізь стінку печі: qст = a3(t3 – t0), Вт/м2.

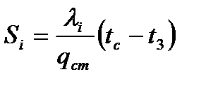
Необхідну товщину шару теплоізоляції знаходять за формулою:

 

,м, (2.4.3)

 

де lі – коефіцієнт теплопровідності піношамоту, Вт/(м*К), який розраховують за відповідною формулою додатку 2 для його середньої температури: , 0С;

tc – температура на межі робочого шару кладки (шамоту) і теплоізоляції, 0С, яку знаходять за методом ітерацій. Спочатку приймають температуру на межі шарів: , 0С; знаходять середню температуру шару шамоту: , 0С; коефіцієнт його теплопровідності при цій температурі lш за відповідною формулою додатку 2 і значення температури на межі шарів у другому наближенні: , 0С. За уточненим значенням tc роблять перерахунок tш, lш та знову уточнюють tc. Якщо різниця між отриманим у попередньому і наступному наближенні значеннями tc не перевищує 50С, пере уточнення припиняють і приймають величину tc за останнім наближенням.

 

Задача 5. У виробничому приміщенні розмірами 20´10´4м з апаратів об/ємом V1 і V2, м 3 за припустимих умов їх герметизації крізь нещільності відбувається виток газів відповідно А1 і А2. Тиск в апаратах становить Р1 і Р2, МПа; температура t1 і t2,0С. Визначити потрібний повітрообмін у приміщенні, якщо у припливному повітрі концентрація цих газів складає а,% від їх ГДКрз.

 

Таблиця 5- Вихідні дані до задачі 5

№№ вар. Газ Р1, Мпа Р2, Мпа V1 3 V2 3 t1,0С. t2,0С. а,%
А1 А2
  SO2 H2S 0,1 0,2          
  SO2 NO2 0,3 0,5          
  SO2 HF 0,6 0,8          
  HF HCl 1,0 1,2          
  Cl2 HCl 1,6 1,0          
  SO2 SO3 0,6 1,6          
  NH3 NO2 1,0 2,5          
  SO3 NO2 2,0 3,0          
  Cl2 NH3 4,0 6,0          
  HF SO3 0,5 1,0          

Вказівки до рішення

Кількість газів, що точиться крізь нещільності апаратів, визначають за наближеною формулою Н. Н. Репіна:

 

, кг/годину; і = 1, 2… (2.5.1)

 

де Кі - коефіцієнт, що враховує ступінь зношування обладнання; Кі = 1¸2;

Vі – об/єм і – того апарата, м3;

Мі і Ті – молекулярна маса газу або пари в і – тому апараті і їх абсолютна температура, К;

bi – коефіцієнт, що залежить від тиску газу або пари в і – тому апараті і який визначають інтерполяцією з додатку 5.

Для комбінацій шкідливих речовин, що володіють ефектом сумарної дії на організм, повітрообмін у приміщенні повинен забезпечувати дотримання умови:

 

, (2.5.2)

 

де С1, С2 – фактичні концентрації окремих шкідливих домішок у повітрі, мг/м3;

ГДК1, ГДК2 – їх гранично допустимі концентрації у робочій зоні приміщення, мг/м3, які наведені у додатку 6.

З урахуванням цієї умови і концентрації шкідливих речовин у припливному повітрі: , мг/м3; , мг/м3 з рівнянь матеріального балансу шкідливих компонентів:

 

, мг/с; (2.5.3)

 

, мг/с. (2.5.4)

 

Визначають потрібний повітрообмін V, м3/с і коефіцієнт повітрообміну:

 

, с-1, (2.5.5)

де Vпр – об/єм приміщення, м3.

 

Задача 6. З технологічних агрегатів у робоче приміщення розмірами 40´15´10м виділяються речовини А1 та А2 у кількості V1 і V2, м 3/с з температурою t1 i t2, 0С при нормальному атмосферному тиску. Визначити потрібний коефіцієнт повітрообміну у приміщенні, якщо концентрація цих компонентів у припливному повітрі становить а, % від їх ГДКрз.

 

Таблиця 6- Вихідні дані до задачі 6

№№ вар. Газ або пара V13/c ´103 V23/c ´103 T1,0С T2,0С а,%
А1 А2
               
  СО SO2 0,1 0,1      
  NH3 СО 0,2 0,2      
  СО HCl 0,15 0,2      
  HF СО 0,1 0,2      
  CS2 H2S 0,2 0,1      
  СО SO3 0,3 0,1      
  CS2 NO2 0,4 0,1      
  СО NO2 0,1 0,4      
  CS2 HF 0,5 0,1      
  HCl CS2 0,1 0,5      

 

Вказівки до рішення

При одночасному виділенні у повітря робочої зони приміщення декількох шкідливих речовин, що не володіють односпрямованою дією, кількість повітря при розрахунку загально обмінної вентиляції приймають за тою шкідливою речовиною, для якої потрібна подача найбільшого об/єму повітря:

 

, м3/с; і = 1,2… (2.6.1)

де Gi – кількість і – того шкідливого домішка, що виділяється до приміщення, мг/с.

Значення Gi знаходять з рівняння стану:

 

, мг/с; і = 1,2… (2.6.2)

 

де Р а – атмосферний тиск, що дорівнює 101325Па;

Мі – мольна маса і – того домішка, кг/кмоль;

R = 8314 Дж/(кг*кмоль) – універсальна газова стала;

Ті – абсолютна температура і – того домішка,К;

ГДКі – гранично допустима концентрація і – того шкідливого домішка у повітрі робочої зони приміщення, мг/м3, яка наведена у додатку 6;

Сіо – вміст і – того домішка у припливному повітрі: , мг/м3.

За потрібний коефіцієнт повітрообміну вибирають найбільше з отриманих значень:

, с-1; і = 1, 2… (2.6.3)

 

де Vпр – об/єм приміщення, м3.

Задача 7. У робоче приміщення розмірами 40´15´10м з апаратів та газопроводів сумарним об/ємом Vоб, які працюють при тиску Р, Мпа і температурі t, 0С, точиться газ крізь нещільності за регламентних умов герметизації обладнання. Механічна вентиляція забезпечує коефіцієнт повітрообміну у приміщенні К, с-1 при вмісті газу у припливному повітрі а,% від його ГДКрз. Атмосферний тиск – нормальний; температура в приміщенні tп = 200С. Дайте оцінку відповідності ГОСТ 12.1.005-88 концентрації газу у робочій зоні приміщення. Через який час після аварійного відключення вентиляції у приміщенні концентрація газу буде перевищувати ГДКрз і коли може утворитися вибухонебезпечна суміш газу з повітрям?

 

Таблиця 7- Вихідні дані до задачі 7

№№ вар. Газ Vоб3 Р, Мпа t,0С К,с-1 а,%
  СО   1,8   0,035  
  H2S   2,8   0,05  
  СО   4,7   0,04  
  H2S   5,5   0,045  
  СО       0,027  
  H2S       0,057  
  СО       0,045  
  H2S       0,047  
  СО   1,9   0,05  
  H2S   3,4   0,047  

 

Вказівки до рішення

Кількість газу, що точиться крізь нещільності обладнання G, кг/годину можна визначити за формулою Н.Н. Репіна (див. вказівки до рішення задачі 5).

Повітрообмін у приміщенні:

 

V = KVпр, м3/с, (2.7.1)

де Vпр – об/єм приміщення, м3.

Концентрацію газу у повітрі робочої зони С, мг/м3 знаходять з рівняння матеріального балансу за цім компонентом:

 

, мг/с, (2.7.2)

 

де - концентрація домішка у припливному повітрі, мг/м3

ГДКрз – гранично допустима концентрація шкідливого домішка у повітрі робочої зони приміщення, мг/м3, яка наведена у додатку 6.

Отримане значення С порівнюють з ГДКрз і роблять висновок щодо відповідності якості повітря робочої зони санітарним нормам.

Вміст газу у повітрі робочої зони при відключенні вентиляції через час t1, с складе:

 

, мг/м3 (2.7.3)

Час досягнення гранично допустимої концентрації t1, с знаходять з умови: С1 = ГДКрз.

Оскільки у повітрі приміщення до відключення вентиляції знаходиться , кг газу, а після її відключення через час t2, с його кількість зросте на , кг, то з рівняння стану об/єм газу у приміщенні через час t2, с становить:

 

, м3, (2.7.4)

де Тп – абсолютна температура повітря у приміщенні, К;

Р а – атмосферний тиск (101325 Па);

R – універсальна газова стала; R = 8314Дж/(кмоль*К);

М – мольна маса газа, кг/кмоль.

Час досягнення вибухонебезпечної концентрації газу у повітрі t2, с знаходять з умови:

 

, (2.7.5)

де l н – нижня межа спалахування газу у повітрі, % (додаток 7).

 

Задача 8. В результаті розгерметизації обладнання виник витік V, м3 газу, який змішався з повітрям у приміщенні розмірами 20´10´4м. Дайте оцінку вибухонебезпечності газоповітряної суміші, що утворилася у приміщенні.

 

Таблиця 8- Вихідні дані до задачі 8

№№ вар. Склад газу, % об. V, м3
СО Н2 СН4 СО2 N2
             
             
             
             
             
             
             
             
             
             

Вказівки до рішення

Вибухонебезпечна суміш у приміщенні утворюється при дотриманні умови:

lHб < l < lBб, (2.8.1)

де l – фактичний вміст газу у суміші з повітрям: 100%;

Vпр – об/єм приміщення, м3;

lHб, lBб – нижня та верхня межі сполоху газу заданого складу у суміші з повітрям, %.

Межі сполоху газу з урахуванням наявності в ньому інертних (баластних) компонентів можна визначити за формулами:

 

,%; ,%, (2.8.2)

 

де б – частка баластних домішок в газі: б = ;

lH, lВ – межі сполоху суміші горючих компонентів газу, які розраховують за формулою Лє – Шательє:

 

, %; , %; (2.8.3)

 

lH(Н2), lH(СО), lH(СН4) та lВ(Н2), lВ(СО) , lВ(СН4) – нижня та верхня межі спалахування окремих горючих компонентів газу в суміші з повітрям, %, які наведені в додатку 7.

 

Задача 9. Визначити число вертикальних заземлювачів діаметром d, мм і довжиною l = 3м контурного заземлення у вигляді прямокутника а ´ в, м для установки потужністю N, кВ*А і з н



<== предыдущая | следующая ==>
Задание 4. Что такое зона аэрации и зона насыщения и как изменяется степень водонасыщенности (влажности) пород в пределах этих зон? | Правила выполнения и оформления курсовой работы





Date: 2015-06-06; view: 764; Нарушение авторских прав



mydocx.ru - 2015-2026 year. (5.141 sec.) Все материалы представленные на сайте исключительно с целью ознакомления читателями и не преследуют коммерческих целей или нарушение авторских прав - Пожаловаться на публикацию