Главная Случайная страница


Полезное:

Как сделать разговор полезным и приятным Как сделать объемную звезду своими руками Как сделать то, что делать не хочется? Как сделать погремушку Как сделать так чтобы женщины сами знакомились с вами Как сделать идею коммерческой Как сделать хорошую растяжку ног? Как сделать наш разум здоровым? Как сделать, чтобы люди обманывали меньше Вопрос 4. Как сделать так, чтобы вас уважали и ценили? Как сделать лучше себе и другим людям Как сделать свидание интересным?


Категории:

АрхитектураАстрономияБиологияГеографияГеологияИнформатикаИскусствоИсторияКулинарияКультураМаркетингМатематикаМедицинаМенеджментОхрана трудаПравоПроизводствоПсихологияРелигияСоциологияСпортТехникаФизикаФилософияХимияЭкологияЭкономикаЭлектроника






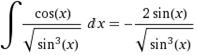
Задание 8. Найти неопределённые интегралы. Результат проверить дифференцированием





а)

Решение:

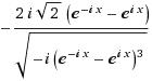
Альтернативные формы интеграла:

 

Альтернативная форма интеграла x>0:

Разложение интеграла в точке x=0:

Разложение интеграла в точке х = 1 / (2 π):

Разложение интеграла в точке х = 1 / π:

Разложение интеграла в точке х = π:

 

b) ∫ x arccosx dx

Решение:

Применим способ интегрирования по частям

, где

и

Вынесли константу из-под знака интеграла.

Делаем замену переменных:

Перепишем выражение:

Интеграл суммы есть сумма интегралов.

Проинтегрировали константу.


Вынесли константу из-под знака интеграла.
Делаем замену переменных:

Вынесли константу из-под знака интеграла.

Проинтегрировали косинус.


Сделали обратную замену.


Сделали обратную замену.

Ответ:

Задание 9. Вычислить определённые интегралы.

Решение:







Date: 2015-06-06; view: 616; Нарушение авторских прав



mydocx.ru - 2015-2026 year. (1.843 sec.) Все материалы представленные на сайте исключительно с целью ознакомления читателями и не преследуют коммерческих целей или нарушение авторских прав - Пожаловаться на публикацию