Главная Случайная страница


Полезное:

Как сделать разговор полезным и приятным Как сделать объемную звезду своими руками Как сделать то, что делать не хочется? Как сделать погремушку Как сделать так чтобы женщины сами знакомились с вами Как сделать идею коммерческой Как сделать хорошую растяжку ног? Как сделать наш разум здоровым? Как сделать, чтобы люди обманывали меньше Вопрос 4. Как сделать так, чтобы вас уважали и ценили? Как сделать лучше себе и другим людям Как сделать свидание интересным?


Категории:

АрхитектураАстрономияБиологияГеографияГеологияИнформатикаИскусствоИсторияКулинарияКультураМаркетингМатематикаМедицинаМенеджментОхрана трудаПравоПроизводствоПсихологияРелигияСоциологияСпортТехникаФизикаФилософияХимияЭкологияЭкономикаЭлектроника






Условия задач





 

1. В каждом из 10 мешков находится по 10 монет. Каждая монета весит 10 граммов. Но в одном мешке все монеты фальшивые – не по 10, а по 11 граммов. Как с помощью только одного взвешивания определить, в каком мешке находятся фальшивые монеты? Все мешки пронумерованы от 1 до 10. Их можно открывать и вытаскивать любое количество монет из каждого.

 

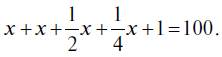
2. На всех трех железных банках с печеньем перепутаны этикетки: «Овсяное печенье», «Песочное печенье» и «Шоколадное печенье». Банки закрыты, и можно взять только одно печенье из одной (любой) банки, а потом правильно расположить этикетки. Как это сделать?

 

3. В шкафу 22 белых носка и 35 черных носков. Надо в полной темноте достать из шкафа пару одного цвета. Сколько носков нужно взять, чтобы с гарантией получить совпадающую пару?

 

4. Старинным часам требуется 30 секунд, чтобы пробить 6 часов. За сколько секунд часы пробьют 12 часов?

 

5. В пруду растет один лист лилии. Каждый день число листьев удваивается. На какой день пруд будет покрыт листьями лилии наполовину, если известно, что листья полностью покроют пруд через 100 дней?

 

6. Пассажирский лифт поднимается на пятый этаж со скоростью вдвое большей, чем грузовой лифт, который идет до третьего этажа. Какой из этих двух лифтов придет раньше: грузовой на третий этаж или пассажирский на пятый, если стартовали они с первого этажа одновременно?

 

7. Летит гусь. Навстречу ему стая гусей. «Здравствуйте, 100 гусей», – говорит он им. Они отвечают: «Нас не 100 гусей; вот если бы нас было столько, сколько сейчас, да еще столько, да еще пол-столько и четверть-столько, да еще ты, вот тогда нас было бы 100 гусей». Сколько гусей в стае?

 

8. Докажем, что 3 = 7. Известно, что если над каждой частью равенства проделать одну и ту же операцию, то равенство останется неизменным. Отнимем у каждой части нашего равенства по пять: 3–5 = 7–5. Получится: —2 = 2. Теперь возведем каждую часть равенства в квадрат: (—2)2 = 22. Получится: 4 = 4, следовательно: 3 = 7. Найдите ошибку в этом рассуждении.

 

9. Как известно, в любом атоме есть ядро, размеры которого меньше размеров самого атома. Если размер атомного ядра равен 10-12 см, а размер всего атома равен 10-6 см, следовательно, ядро по размеру меньше самого атома в 2 раза (12: 6 = 2). Верно ли это утверждение? Если нет, то во сколько раз атомное ядро меньше атома?

 

10. Можно ли на самолете долететь до Луны? Надо принять во внимание, что самолеты снабжены реактивными двигателями, как и космические ракеты, и работают на таком же топливе.

 

11. Можно ли иголкой проколоть пятидесятикопеечную монету?

 

12. Стандартный стакан (200 г) наполнен водой до краев. Сколько булавок можно в него накидать, чтобы из стакана не вылилось ни капли воды?

 

13. У Иванова в кабинете висит портрет. Иванова спрашивают: «Кто изображен на этом портрете?» Иванов путано отвечает: «Отец изображенного на портрете есть единственный сын отца говорящего». Кто изображен на портрете?

 

14. Миссионер попал в плен к дикарям. Те посадили его в темницу и сказали: «Отсюда только два выхода – один на свободу, другой к гибели; выбраться тебе помогут два воина – один всегда говорит правду, другой всегда лжет, но неизвестно, кто из них лжец, а кто правдолюбец; ты можешь задать любому из них только один вопрос». Какой вопрос надо задать, чтобы выбраться на свободу?

 

15. В монастыре висят две веревки из редкого ценного шелка. Они прикреплены к середине потолка на расстоянии одного метра друг от друга и достигают пола. Вор-акробат хочет украсть как можно больше веревки. Высота потолка 20 м. Вор знает, что если он спрыгнет или упадет с высоты более 5 м, то не сможет выбраться из монастыря. Поскольку лестницы у него нет, ему остается только лезть по веревке. Вор украл обе веревки почти целиком. Как он это сделал?

 

16. Девушка ехала в такси. По пути она так много болтала, что шофер занервничал. Он сказал ей, что очень сожалеет, но не слышит ни слова, поскольку его слуховой аппарат не работает, а он глух как пробка. Девушка замолчала, но, когда они доехали до места, поняла, что водитель пошутил. Как она догадалась?

 

17. Вы находитесь в каюте стоящего на якоре океанского лайнера. В полночь вода была на 4 метра ниже иллюминатора и поднималась на 0,5 метра в час. Если эта скорость удваивается каждый час, то за какое время вода достигнет иллюминатора?


 

18. Три путешественника прилегли отдохнуть в тени деревьев и уснули. Пока они спали, шутники вымазали углем их лбы. Проснувшись и взглянув друг на друга, они начали смеяться, причем каждому из них казалось, что двое других смеются друг над другом. Внезапно один из них перестал смеяться, так как сообразил, что его собственный лоб тоже испачкан. Как он об этом догадался?

 

19. Сдвинув только одну из четырех спичек, сделайте квадрат (рис. 42). Спички нельзя ни гнуть, ни ломать.

20. С восходом солнца путешественник начал подниматься по узкой, извилистой тропинке на вершину горы. Он шел то быстрее, то медленнее и часто останавливался, чтобы отдохнуть. Проделав длинный путь, он достиг вершины только к закату солнца. Проведя ночь на вершине, с восходом солнца он отправился в обратный путь по той же тропинке. Спускался он также с неравномерной скоростью, неоднократно отдыхая по дороге, и к закату солнца достиг подножия горы. Понятно, что средняя скорость спуска превышала среднюю скорость подъема. Есть ли на тропинке такая точка, которую путешественник проходил в одно и то же время суток – как во время подъема, так и во время спуска?

 

21. У скульптора есть 10 одинаковых статуй. Он хочет, чтобы у каждой из четырех стен зала находилось по три статуи. Как их разместить?

 

22. Не отрывая карандаша от бумаги, начертите следующие фигуры (рис. 43).

23. Один математик предложил торговцу такую сделку. Математик дает торговцу 100 рублей, а торговец дает математику взамен 1 копейку. Каждый следующий день математик дает торговцу на 100 рублей больше, чем в предыдущий, т. е. на второй день он дает ему 200 рублей, на третий – 300 рублей и т. д. А торговец дает математику взамен в 2 раза больше денег, чем в предыдущий день, т. е. на второй день он дает ему 2 копейки, на третий – 4 копейки, на четвертый – 8 копеек, на пятый – 16 копеек и т. д. Производить такой обмен они договорились в течение 30 дней. Кому из них этот обмен выгоден и почему?

 

24. Годовщина Октябрьской революции по старому стилю попадает на 25 октября, а по новому стилю – на 7 ноября. Таким образом, все события по старому стилю на 13 дней предшествуют тем же самым событиям по новому стилю. Значит, если по новому стилю Новый год приходится на 1 января, то по старому стилю он должен попадать на 19 декабря. Почему же мы тогда отмечаем старый Новый год 14 января?

 

25. Из спичек сделан рисунок рюмки, наполненной вином (рис. 44). Переставьте две спички так, чтобы на вновь получившемся рисунке вино оказалось вне рюмки. (При демонстрации роль вина может сыграть спичка.)

26. Как расположить шесть сигарет таким образом, чтобы все они соприкасались друг с другом, т. е. чтобы каждая из них касалась пяти остальных?

 

27. Перед вами стоят три человека. Один из них Правдолюб (всегда говорит правду), другой Лжец (всегда лжет), а третий Дипломат (то говорит правду, то лжет). Вы не знаете, кто есть кто, и задаете вопрос человеку, который стоит слева:

– Кто стоит рядом с тобой?

– Правдолюб, – отвечает он.

Потом вы спрашиваете человека, стоящего в центре:

– Кто ты?

– Дипломат, – отвечает тот.

И, наконец, вы спрашиваете человека, который стоит справа:


– Кто стоит рядом с тобой?

– Лжец, – отвечает он.

Кто же стоит слева, кто – справа, кто – в центре?

 

28. В десятилитровом ведре находится 10 литров вина. В вашем распоряжении два пустых ведра: объем одного из них 7 литров, а другого – 3 литра. Как с помощью этих ведер путем переливаний разделить 10 литров вина на две одинаковые части по 5 литров?

 

29. У Андрея часы отстают на 10 минут, но он уверен, что они на 5 минут спешат. Он договорился с Катей встретиться ровно в 8 часов у электрички, чтобы поехать за город. У Кати часы на 5 минут спешат, но она думает, что они отстают на 10 минут. Кто из них первым придет к поезду?

 

30. Черепаха, которой 110 лет, спросила динозавра: «Сколько тебе лет?» Динозавр, привыкший выражаться сложно и запутанно, ответил: «Мне сейчас в 10 раз больше лет, чем было тебе тогда, когда мне было столько же лет, сколько тебе сейчас». Сколько лет динозавру?

 

31. Угонщик похитил автомобиль, пытаясь пробраться в пункт В, однако был обнаружен милицией в пункте А. Уходя от погони, он начал петлять, двигаясь из А в В по кривой ACDB по дугам малых полуокружностей так, как это показано стрелками (рис. 45). Преследовавшие его милиционеры стартовали из А мгновением позже и, надеясь перехватить угонщика в пункте В, отправились по дуге большой полуокружности. Догонят ли они угонщика в пункте В, если их скорости совершенно одинаковы?

32. Кате вдвое больше лет, чем будет Насте тогда, когда Оле исполнится столько лет, сколько сейчас Кате. Кто из них самый старший по возрасту, а кто самый младший?

 

33. В одном классе ученики разделились на две группы. Одни должны были всегда говорить только правду, а другие – только неправду. Все ученики класса написали сочинение на свободную тему, а в конце сочинения каждый ученик должен был приписать одну из фраз: «Все здесь написанное – правда», «Все здесь написанное – ложь». Всего в классе было 17 правдолюбцев и 18 лжецов. Сколько сочинений с утверждением о правдивости написанного насчитал учитель при проверке работ?

 

34. Сколько всего прапрадедушек и прапрабабушек было у всех ваших прапрадедушек и прапрабабушек?

 

35. На столе разложен носовой платок. В его центре стоит горлышком вниз пустая стеклянная бутылка. Как вытянуть платок из-под бутылки, не прикасаясь к ней?

 

36. В левой части равенства надо поставить только одну черточку (палочку) для того, чтобы равенство получилось истинным:

5 + 5 + 5 = 550.

 

37. Докажем, что три раза по два будет не шесть, а четыре. Возьмем спичку, сломаем ее пополам. Это первый раз два. Потом возьмем половинку и сломаем ее пополам. Это второй раз два. Затем возьмем оставшуюся половинку и ее тоже сломаем пополам. Это третий раз два. Получилось четыре. Следовательно, три раза по два будет четыре, а не шесть. Найдите ошибку в этом рассуждении.


 

38. Как соединить девять точек между собой четырьмя линиями, не отрывая карандаша от бумаги (рис. 46)?

39. В магазине хозяйственных товаров покупатель спросил:

– Сколько стоит один?

– Двадцать рублей, – ответил продавец.

– Сколько стоит двенадцать?

– Сорок рублей.

– Хорошо, дайте мне сто двенадцать.

– Пожалуйста, с вас шестьдесят рублей. Что покупал этот человек?

 

40. Если в 12 часов ночи идет дождь, то можно ли ожидать, что через 72 часа будет солнечная погода?

 

41. Три человека заплатили за обед 30 рублей (каждый по 10 рублей). После их ухода хозяйка обнаружила, что обед стоит не 30 рублей, а 25 рублей, и отправила мальчика вдогонку, чтобы вернуть 5 рублей. Путники взяли по 1 рублю, а 2 рубля оставили мальчику. Выходит, что каждый из них заплатил не по 10 рублей, а по 9. Их было трое: 9 · 3 = 27, и еще 2 рубля у мальчика: 27 + 2 = 29. Куда делся еще один рубль?

 

42. В бассейн площадью 1 гектар налили 1 000 000 литров воды. Можно ли плавать в таком бассейне?

 

43. Что больше:

?

 

44. У одного мальчика не хватает до стоимости линейки 24 копеек, а у другого не хватает до этой стоимости двух копеек. Когда они сложили свои деньги вместе, то все равно не смогли купить линейку. Сколько стоит линейка?

 

45. В одном парламенте депутаты разделились на консерваторов и либералов. Консерваторы говорили по четным числам только правду, а по нечетным – только неправду. Либералы, наоборот, говорили только правду по нечетным числам, а по четным числам – только неправду. Каким образом с помощью одного вопроса, заданного любому депутату, можно точно установить, какое сегодня число: четное или нечетное? Ответы должны быть определенными: «да» или «нет».

 

46. Бутылка с пробкой стоит 1 рубль 10 копеек. Бутылка дороже пробки на 1 рубль. Сколько стоит бутылка и сколько стоит пробка?

 

47. Катя живет на четвертом этаже, а Оля – на втором. Поднимаясь на четвертый этаж, Катя преодолевает 60 ступенек. Сколько ступенек надо пройти Оле, чтобы подняться на второй этаж?

 

48. Математик написал на листке двузначное число. Когда он перевернул листок вверх ногами, число уменьшилось на 75. Какое число было написано?

 

49. Прямоугольный лист бумаги сложили пополам 6 раз. На сложенном листе, не на сгибах, сделали 2 дырки. Сколько дырок будет на листе, если его развернуть?

 

50. Два отца и два сына поймали трех зайцев: каждый по одному. Как такое возможно?

 

51. Собеседник предлагает вам задумать любое трехзначное число. Потом он просит продублировать его, чтобы получилось шестизначное число. Например, вы задумали число 389, продублировав его, получаете шестизначное число 389 389; если задумано число 546, получится 546 546 и т. п. Далее собеседник предлагает вам это шестизначное число разделить на 13. «Вдруг получится без остатка», – говорит он. Вы производите деление с помощью калькулятора (можно и без него) и действительно ваше число делится на 13 без остатка. Далее он предлагает вам получившийся результат разделить на 11. Вы делите, и опять получается без остатка. И, наконец, собеседник просит вас разделить получившийся результат на 7. Деление не только проходит без остатка, но и дает в результате то самое трехзначное число, которое вы произвольно выбрали сначала. Каким образом это происходит?

 

52. Разделите фигуру, состоящую из трех одинаковых квадратов, на четыре равные части (рис. 47).

53. Сто школьников одновременно изучали английский и немецкий языки. По окончании курсов они сдавали экзамен, который показал, что 10 школьников не освоили ни тот, ни другой язык. Из оставшихся немецкий сдали 75 человек, а 83 выдержали экзамен по английскому. Сколько экзаменовавшихся владеет обоими языками?

 

54. Каким образом из кружки, ковшика, кастрюли и любой другой посуды правильной цилиндрической формы, наполненной до краев водой, отлить ровно половину, не используя никаких измерительных приборов?

 

55. Часовая и минутная стрелки иногда совпадают, например, в 12 часов или в 24 часа. Сколько раз они совпадут между 6 часами утра одного дня и 10 часами вечера другого дня?

 

56. Теплоход доплывает от Нижнего Новгорода до Астрахани за 5 суток, обратный путь он проделывает с той же скоростью за 7 суток. За сколько суток от Нижнего Новгорода до Астрахани доплывет плот?

 

57. Три курицы несут три яйца за три дня. Сколько яиц снесут 12 куриц за 12 дней?

 

58. Как написать число 100 с помощью пяти единиц и знаков действий?

 

59. Давайте подсчитаем, сколько дней в году мы работаем, а сколько отдыхаем. В году 365 дней. Восемь часов в день уходит у каждого на сон – это 122 дня ежегодно. Вычитаем, остается 243 дня. Восемь часов в день занимает отдых после работы, это тоже 122 дня в год. Вычитаем, остается 121 день. По выходным, которых в году 52, никто не работает. Вычитаем, остается 69 дней. Далее, четырехнедельный отпуск – это 28 дней. Вычитаем, остается 41 день. Примерно 11 дней в году занимают различные праздники. Вычитаем, остается 30 дней. Таким образом, мы работаем всего один месяц в году. Верно ли это рассуждение? Если нет, то какая ошибка в нем допущена?

 

60. В один ряд стоят три наполненных водой стакана и три пустых (рис. 48). Каким образом сделать так, чтобы наполненные и пустые стаканы чередовались, если можно взять в руки только один стакан?

61. Если 1 рабочий может построить дом за 12 дней, то 12 рабочих построят его за 1 день. Следовательно, 288 рабочих построят дом за 1 час, 17 280 рабочих построят его за 1 минуту, а 1 036 800 рабочих смогут построить дом за 1 секунду. Верно ли это рассуждение? Если нет, то в чем заключается ошибка?

 

62. Какое слово всегда пишется неправильно?

 

63. «Ручаюсь, – сказал продавец в зоомагазине, – что этот попугай будет повторять любое услышанное слово». Обрадованный покупатель приобрел чудо-птицу, но, придя домой, обнаружил, что попугай нем, как рыба. Тем не менее продавец не лгал. Как такое возможно?

 

64. В комнате есть свеча и керосиновая лампа. Что вы зажжете первым, когда вечером войдете в эту комнату?

 

65. Петр очень устал и лег спать в 7 часов вечера, поставив механический будильник на 9 часов утра. Сколько часов ему удастся поспать?

 

66. Отрицание истинного предложения является ложным предложением, а отрицание ложного – истинным. Однако следующий пример говорит, что это как будто не всегда так. Предложение Это предложение содержит шесть слов является ложным, поскольку в нем не шесть, а пять слов. Но отрицание Это предложение не содержит шесть слов, также является ложным, так как в нем как раз шесть слов. Как разрешить это недоразумение?

 

67. Сколько существует восьмизначных чисел, сумма цифр которых равна двум?

 

68. Периметр фигуры, составленной из квадратов, равен шести (рис. 49). Чему равна ее площадь?

69. Чему равна разность куба суммы квадратов чисел 2 и 3 и квадрата суммы их кубов?

 

70. Половина от половины числа равна половине. Какое это число?

 

71. Со временем человек обязательно побывает на Марсе. Саша Иванов – это человек. Следовательно, Саша Иванов со временем обязательно побывает на Марсе. Верно ли это рассуждение? Если нет, то какая ошибка в нем допущена?

 

72. Для получения оранжевой краски надо смешать 6 частей желтой краски с 2 частями красной. Есть 3 грамма желтой краски и 3 грамма красной. Сколько граммов оранжевой краски можно получить в этом случае?

 

73. Из 12 спичек составлено 4 квадрата (рис. 50). Каким образом надо убрать 2 спички, чтобы осталось 2 квадрата?

74. Какой знак надо поставить между числами 5 и 6, чтобы получившееся число было больше 5, но меньше 6?

5<5? 6<6

 

75. В футбольной команде 11 игроков. Их средний возраст равен 22 годам. Во время матча один из игроков выбыл. При этом средний возраст команды стал равен 21 году. Сколько лет выбывшему игроку?

 

76.

– Сколько лет твоему отцу? – спрашивают мальчика.

– Столько же, сколько и мне, – невозмутимо отвечает он.

– Как такое возможно?

– Очень просто: мой отец стал моим отцом только тогда, когда я родился, ведь до моего рождения он не был моим отцом, значит, моему отцу столько же лет, сколько и мне.

Верно ли это рассуждение? Если нет, то какая ошибка в нем допущена?

 

77. В мешке 24 килограмма гвоздей. Каким образом можно на чашечных весах без гирь отмерить 9 килограммов гвоздей?

 

78. Петр лгал с понедельника по среду и говорил правду в другие дни, а Иван лгал с четверга по субботу и говорил правду в другие дни. Однажды они одинаково сказали: «Вчера был один из дней, когда я лгу». Какой день был вчера?

 

79. Трехзначное число записали цифрами, а потом – словами. Получилось, что все цифры в этом числе разные и возрастают слева направо, а все слова начинаются с одной и той же буквы. Какое это число?

 

80. В равенстве, составленном из спичек:

Х I I I = V I I–V I,

допущена ошибка. Каким образом надо переложить одну спичку, чтобы равенство стало верным?

 

81. Во сколько раз увеличится трехзначное число, если к нему приписать такое же число?

 

82. Если бы не было времени, то не было бы ни одного дня. Если бы не было ни одного дня, то всегда стояла бы ночь. Но если бы всегда стояла ночь, то было бы время. Следовательно, если бы не было времени, оно было бы. В чем заключается причина данного недоразумения?

 

83. В каждой из двух корзин по 12 яблок. Настя взяла несколько яблок из первой корзины, а Маша взяла из второй столько, сколько осталось в первой. Сколько яблок осталось в двух корзинах вместе?

 

84. У одного фермера 8 свиней: 3 розовые, 4 бурые и 1 черная. Сколько свиней могут сказать, что в этом небольшом стаде найдется, по крайней мере, еще одна свинья такой же масти, как и ее собственная?

 

85. Единственный сын отца сапожника – плотник. Кем приходится сапожник плотнику?

 

86. Если 1 рабочий может построить дом за 5 дней, значит, 5 рабочих построят его за 1 день. Следовательно, если 1 корабль пересекает Атлантический океан за 5 дней, то 5 кораблей пересекут его за 1 день. Верно ли это утверждение? Если нет, то в чем заключается допущенная в нем ошибка?

 

87. Возвращаясь из школы, Петя и Саша зашли в магазин, где они увидели большие весы.

– Давай взвесим наши портфели, – предложил Петя.

Весы показали, что Петин портфель весит 2 килограмма, а вес Сашиного портфеля оказался равным 3 килограммам. Когда мальчики взвесили два портфеля вместе, весы показали 6 килограммов.

– Как же так? – удивился Петя. – Ведь 2 плюс 3 не равно 6.

– Ты что, не видишь? – ответил ему Саша. – У весов сдвинута стрелка.

Каков вес портфелей на самом деле?

 

88. Как разместить 6 кружочков на плоскости таким образом, чтобы получилось 3 ряда по 3 кружочка в каждом ряду?

 

89. После семи стирок длина, ширина и высота куска мыла уменьшились вдвое. На сколько стирок хватит оставшегося куска?

 

90. Как от куска материи в 2/3 м отрезать 1/2 м без помощи каких-либо измерительных приборов?

 

91. Часто говорят, что композитором (или художником, или писателем, или ученым) надо родиться. Верно ли это? Действительно ли композитором (художником, писателем, ученым) надо родиться?

 

92. Для того чтобы видеть, совсем не обязательно иметь глаза. Без правого глаза мы видим. Без левого тоже видим. А поскольку кроме левого и правого глаза других глаз у нас нет, то оказывается, что ни один глаз не является необходимым для зрения. Верно ли это утверждение? Если нет, то какая ошибка в нем допущена?

 

93. Попугай прожил меньше 100 лет и умеет отвечать только на вопросы «да» и «нет». Сколько вопросов ему надо задать, чтобы узнать его возраст?

 

94. Сколько кубиков изображено на рис. 51?

95. Три теленка – сколько ног?

 

96. Один человек, попавший в неволю, рассказывает следующее: «Моя темница находилась в верхней части замка. После многодневных усилий мне удалось выломать один из прутьев в узком окне. В образовавшееся отверстие можно было пролезть, но расстояние до земли было слишком велико, чтобы просто спрыгнуть вниз. В углу темницы я обнаружил забытую кем-то веревку. Однако она оказалась слишком короткой, чтобы можно было спуститься по ней. Тогда я вспомнил, как один мудрец удлинял слишком короткое для него одеяло, обрезав часть его снизу и пришив ее сверху. Поэтому я поспешил разделить веревку пополам и снова связать две образовавшиеся части. Тогда она стала достаточно длинной, и я благополучно спустился по ней вниз». Каким образом рассказчику удалось это сделать?

 

97. Собеседник просит вас задумать любое трехзначное число, а потом предлагает записать его цифры в обратном порядке, чтобы получилось еще одно трехзначное число. Например, 528–825, 439–934 и т. п. Далее он просит от большего числа отнять меньшее и сообщить ему последнюю цифру разности. После этого он называет разность. Как он это делает?

 

98. Семеро шли – семь рублей нашли. Если бы не семеро, а трое пошли, то много бы нашли?

 

99. Разделите рисунок, состоящий из семи кружочков, тремя прямыми линиями на семь частей таким образом, чтобы в каждой части находился один кружочек (рис. 52).

100. Земной шар стянули обручем по экватору. Потом длину обруча увеличили на 10 метров. При этом между поверхностью Земного шара и обручем образовался небольшой зазор. Сможет ли человек пролезть в этот зазор? Длина земного экватора приблизительно равна 40 000 километрам.

 

Ответы и комментарии

 

1. Из первого мешка надо вытащить одну монету, из второго – две, из третьего – три, и т. д. (из десятого мешка – все 10 монет). Далее следует один раз взвесить все эти монеты вместе. Если бы среди них не было фальшивых монет, т. е. все они были бы весом по 10 граммов, то общий их вес составил бы 550 граммов. Но поскольку среди взвешиваемых монет есть фальшивые (по 11 граммов), то их общий вес будет больше 550 граммов. Причем, если он окажется 551 грамм, то фальшивые монеты находятся в первом мешке, ведь из него мы взяли одну монету, которая и дала один лишний грамм. Если общий вес будет 552 грамма, значит, фальшивые монеты находятся во втором мешке, ведь из него мы взяли две монеты. Если общий вес будет 553 грамма, значит, фальшивые монеты находятся в третьем мешке, и т. д. Таким образом с помощью только одного взвешивания можно точно установить, в каком мешке находятся фальшивые монеты.

 

2. Надо взять печенье из банки с надписью «Овсяное печенье» (можно из любой другой). Так как банка надписана неправильно, то это будет песочное печенье или шоколадное. Допустим, вы достали песочное. После этого надо поменять местами этикетки «Овсяное печенье» и «Песочное печенье». А поскольку по условию все этикетки перепутаны, то теперь в банке с надписью «Шоколадное печенье» находится овсяное, а в банке с надписью «Овсяное печенье» находится шоколадное, значит, надо поменять местами и эти две этикетки.

 

3. Из шкафа нужно достать только три носка. При этом возможно всего 4 варианта: все три носка белые; все три носка черные; два носка белые, один черный; два носка черные, один белый. В каждой из этих комбинаций имеется одна совпадающая пара – белая или черная.

 

4. Часы пробьют 12 часов за 66 секунд. Когда часы бьют 6 часов, то от первого удара до последнего проходит 5 интервалов. Интервал составляет 6 секунд (1/5 часть от 30). Когда часы бьют 12 часов, то от первого удара до последнего проходит 11 интервалов. Так как длина интервала равна 6 секундам, то, для того чтобы пробить 12 часов, часам требуется 66 секунд: 11 · 6 = 66.

 

5. Пруд будет покрыт листьями лилии наполовину на 99-й день. По условию число листьев каждый день удваивается, и если на 99-й день пруд покрыт листьями наполовину, то на следующий день и вторая половина пруда будет покрыта листьями лилии, т. е. полностью пруд покроется ими через 100 дней.

 

6. Путь, пройденный на пятый этаж (4 пролета) пассажирским лифтом, вдвое больше пути, пройденного на третий этаж (2 пролета) грузовым. Поскольку пассажирский лифт идет в 2 раза быстрее, чем грузовой, то они пройдут свои пути одновременно.

 

7. Для решения этой задачи надо составить уравнение. Количество гусей в стае – это х. «Вот если бы нас было столько, сколько сейчас (т. е. х), – сказали гуси, – да еще столько (т. е. х), да еще пол-столько (т. е. 1/2 х), да еще четверть-столько (т. е. 1/4 х), да еще ты (т. е. 1 гусь), вот тогда нас было бы 100 гусей». Получается следующее уравнение:

Произведем сложение в левой части равенства:

Итак, в стае было 36 гусей.

 

8. Ошибка заключается в возведении каждой части равенства —2 = 2 в квадрат. Создается видимость, что над каждой частью равенства совершается одна и та же операция (возведение в квадрат), на самом же деле над каждой частью равенства совершаются различные операции, ведь левую часть мы умножаем на —2, а правую умножаем на 2.

 

9. Утверждение, что атомное ядро меньше самого атома в 2 раза, конечно же, неверно: ведь 10-12 см меньше, чем 10-6 см не в 2 раза, а в миллион раз.

 

10. Самолет в полете «держится» на воздухе, поэтому долететь на самолете до Луны невозможно, ведь воздуха в открытом космосе нет.

 

11. Иголка сделана из стали, а монета из меди. Сталь намного тверже меди, и поэтому иголкой вполне можно проколоть монету. Только вручную это сделать невозможно. Если же попытаться забить иголку в монету молотком, то тоже ничего не получится: площадь острого конца иголки настолько мала, что ее кончик будет, вибрируя, скользить по поверхности монеты. Чтобы иголка была устойчивой, надо вбить ее молотком в монету через кусок мыла, парафина или дерева: этот материал придаст иголке неизменное и нужное направление, и в этом случае она свободно пройдет через медную монету.

 

12. В стакан можно поместить более тысячи булавок. В этом случае ни капли воды из него не выльется, но над краями стакана образуется небольшая водяная выпуклость, «горка». По закону Архимеда тело, погруженное в воду, вытесняет объем воды, равный объему тела. Объем одной булавки настолько мал, что объем водяной «горки» над поверхностью стакана равен объему более тысячи булавок.

 

13. На портрете изображен сын Иванова. Для решения задачи можно составить простую схему:

14. Надо обратиться к любому из воинов со следующим вопросом: «Если я спрошу тебя, этот ли выход ведет на свободу, то ты ответишь мне „да“?» При такой постановке вопроса тот воин, который все время лжет, будет вынужден говорить правду. Допустим, вы, показывая ему на выход к свободе, говорите: «Если я спрошу тебя, этот ли выход ведет на свободу, то ты ответишь мне „да“?» Правдой в этом случае будет, если он ответит «нет», но ему ведь надо солгать и поэтому он вынужден сказать «да».

 

15. Вор нижние концы веревок связал вместе. По одной из них он полез к потолку, обрезал вторую веревку на расстоянии примерно 30 сантиметров от потолка и позволил ей упасть вниз. Из куска второй веревки, оставшегося висеть, он связал петлю. Затем, ухватившись за петлю, он перерезал первую веревку и просунул ее в петлю.

После этого он спустился по двойной веревке вниз и вытащил веревку из петли.

 

16. Если таксист глух, как он понял, куда везти девушку? И еще: как он понял, что она вообще что-то говорит?

 

17. Вода никогда не достигнет иллюминатора, потому что лайнер поднимается вместе с водой.

 

18. Он рассуждал так: «Каждый из нас может думать, что его собственное лицо чистое. Б. уверен, что его лицо чистое, и смеется над испачканным лбом В. Но если бы Б. видел, что мое лицо чистое, он был бы удивлен смеху В., так как в этом случае у В. не было бы повода для смеха. Однако Б. не удивлен, значит, он может думать, что В. смеется надо мной. Следовательно, мое лицо испачкано».

 

19. Нужно сдвинуть верхнюю спичку, образовав крохотный квадрат в центре фигуры.

 

20. Точка на тропинке, которую путешественник проходит в одно и то же время суток как во время подъема, так и во время спуска, существует (А). В этом легко убедиться с помощью следующей схемы (рис. 53).

Ось х – это время суток, а ось у – это высота подъема. Кривые линии – это графики подъема и спуска соответственно. Точка их пересечения – как раз та самая, которую проходит путешественник в одно и то же время суток и на подъеме, и на спуске.

 

21. Статуи надо расположить следующим образом (рис. 54).

22. См. рис. 55.

23. Обмен выгоден математику и невыгоден торговцу, так как количество денег, которые выплачивает торговец математику, пусть даже ничтожно малое вначале, увеличивается в геометрической прогрессии, а деньги, которые платит математик торговцу, увеличиваются в арифметической прогрессии. Через 30 дней математик отдаст торговцу около 50 000 рублей, а торговец будет должен математику более 10 000 000 рублей.

 

24. Новый год и раньше (т. е. по старому стилю) встречали 1 января. Однако старое 1 января (старый Новый год) сейчас, т. е. по новому стилю, попадает на 14 января, поэтому никакого противоречия и недоразумения здесь нет. В условии задачи создается видимость противоречия за счет того, что в одних и тех же словах смешиваются различные понятия: Новый год по новому стилю и Новый год по старому стилю. И действительно, Новый год по новому стилю в старом стиле приходился бы на 19 декабря, а Новый год по старому стилю в новом стиле приходится на 14 января.

 

25. См. рис. 56.

26. См. рис. 57.

27. Человек, который стоит слева, будь он Правдолюбом, на вопрос «Кто стоит рядом с тобой?» не мог бы ответить то, что ответил – «Правдолюб». Значит, слева не Правдолюб.

Но Правдолюб и не в центре, так как, будучи Правдолюбом, на поставленный вопрос «Кто ты?» он не мог бы ответить так, как ответил – «Дипломат».

Значит, Правдолюб стоит справа, и, следовательно, рядом с ним, т. е. в центре, находится Лжец, а слева стоит Дипломат.

 

28. Последовательность переливаний представлена в следующей таблице, где I – ведро объемом 10 литров; II – ведро объемом 7 литров; III – ведро объемом 3 литра.

Таким образом, разделить 10 литров вина пополам, используя два пустых ведра объемом 7 литров и 3 литра, можно с помощью 10 переливаний.

 

29. Катя придет к поезду первой, а Андрей, скорее всего, опоздает на поезд, так как он придет на вокзал к тому времени, когда на его часах будет 8 часов 05 минут. А на самом деле будет на 10 минут позже – в 8 часов 15 минут. Катя постарается прийти по своим часам к 7 часам 50 минутам, а на самом деле тогда будет 7 часов 45 минут.

 

30. Для решения этой задачи надо составить уравнение. Но сначала на основе запутанного ответа динозавра следует построить следующую схему (возраст черепахи в прошлом примем за х):

Итак, на схеме видим, что сейчас динозавру действительно в 10 раз больше лет, чем было черепахе тогда, когда динозавру было столько лет, сколько черепахе сейчас. Поскольку разница в возрасте и в прошлом, и в настоящем остается одинаковой, составим уравнение 110 – х = 10 х – 110.

Преобразуем его:

110 + 110 = 10 х + х,

220 = 11 х,

х = 220: 11 = 20.

Следовательно, черепахе в прошлом было 20 лет, динозавру сейчас в 10 раз больше, т. е. 200 лет.

 

31. Сумма диаметров малых полуокружностей (АС) + (CD) + (DB) равна диаметру большой полуокружности АВ, но ввиду того, что длина полуокружности равна половине произведения числа π на диаметр, пройденные автомобилями расстояния будут совершенно одинаковыми. Следовательно, отставание милицейского автомобиля от угонщика не уменьшится, и погоня на этом участке не увенчается успехом.

 

32. Для решения этой задачи надо составить простую схему (обозначим нынешний возраст Кати как х):

Из схемы следует, что самая старшая – Катя, далее следуют по возрасту Оля и Настя.

 

33. Все правдивые верно утверждали, что все написанное – правда, но и все лжецы ложно утверждали, что все написанное ими – правда. Таким образом, все 35 сочинений оказались с утверждением о правдивости написанного.

 

34. У каждого человека 2 родителя, 4 бабушки и дедушки, 8 прабабушек и прадедушек, 16 прапрабабушек и прапрадедушек. Узнаем, сколько было прапрабабушек и прапрадедушек у всех прапрабабушек и прапрадедушек каждого из нас: 16 · 16 = 256. Этот результат получается, конечно же, если исключить случаи кровосмешения, т. е. браки между различными родственниками.

Если принять в расчет, что одно поколение – это примерно 25 лет, то восемь поколений (о которых шла речь в условии задачи) соответствуют 200 годам, т. е. 200 лет назад каждые 256 человек на Земле были родственниками каждого из нас. За 400 лет число наших предков составит: 256 · 256 = 65 536 человек, т. е. 400 лет назад у каждого из нас было 65 536 живущих на планете родственников. Если же «открутить» историю на 1000 лет назад, то получится, что все население Земли того времени являлось родственниками каждому из нас. Значит, действительно все люди – братья.

 

35. Можно попытаться, используя инерцию бутылки, резким движением выдернуть платок из-под нее.

Но, скорее всего, ничего не получится: положение бутылки слишком неустойчиво. Однако вспомним, что сила трения уменьшается при вибрациях. Кулаком одной руки надо равномерно и несильно стучать по столу недалеко от бутылки, а другой рукой – аккуратно тянуть платок. При определенной частоте и силе ударов по столу платок начнет плавно выскальзывать из-под бутылки. При этом важно обратить внимание на то, чтобы у края платка была не очень большая кромка: она, как правило, сбивает бутылку в последний момент. Поэтому лучше, чтобы платок вообще был без кромки.

 

36. С помощью единственной черточки один из знаков плюс превратится в цифру четыре, в результате чего получается равенство:

545 + 5 = 550.

Вот эта черточка: → 5'+ 5 + 5 = 550.

 

37. В этом рассуждении в одних и тех же словах смешиваются различные математические операции: деление на два и умножение на два. На этом смешении и основан подвох в виде внешне правильного доказательства ложной мысли.

 

38. См. рис. 58.

39. Номер для квартиры.

 

40. Нельзя, так как через 72 часа, т. е. через трое суток, будет опять 12 часов ночи, а солнце ночью не светит (если, конечно, дело не происходит за Полярным кругом в полярный день).

 

41. У хозяйки 25 рублей, у мальчика 2 рубля. Всего 27 рублей, значит, те 2 рубля, которые получил мальчик, входят в 27 рублей. А в условии задачи к 27 рублям прибавлено 2 рубля, которые у мальчика, и поэтому получается 29 рублей. Надо к 27 рублям не прибавлять 2 рубля, а отнимать.

 

42. 1 л равен 1 дм3. Следовательно, в бассейн налили 1 000 000 дм3 воды, или 1000 м3 воды (так как 1 м равен 10 дм). Зная площадь бассейна (1 га = 10 000 м2) и объем налитой в него воды, легко вычислить его глубину:

В бассейне глубиной 10 сантиметров плавать невозможно.

 

43. Для сравнения указанных величин надо привести квадратный корень и кубический к корню одной степени. Это может быть корень шестой степени. Соответственно изменятся и подкоренные выражения. Получится

. Корень шестой степени из девяти немного больше такого же корня из восьми, следовательно,

больше, чем

.

 

44. Обозначим стоимость линейки как х. Тогда у одного мальчика имеется денег (х – 24) копеек, а у другого (х – 2) копеек. При сложении своих денег они все равно не смогли купить линейку. Составим простое неравенство:

(x – 24) + (x – 2) < x.

Преобразуем его:

x – 24 + х – 2 < х,

2 х – 26 < х,

2 х – х < 26,

х < 26.

Итак, линейка стоит меньше 26 копеек, но больше 24 копеек, так как по условию у одного мальчика не хватает до ее стоимости 24 копеек. Линейка стоит 25 копеек.

 

45. Надо спросить любого депутата: «Вы консерватор?» Если он ответил «да», то сегодня четное число, а если «нет», то нечетное. По четным числам консерваторы скажут правдивое «да», а либералы, говоря неправду, тоже произнесут «да». По нечетным числам, наоборот, консерваторы, отвечая на вопрос, скажут «нет», но либералы, говорящие в эти дни только правду, тоже скажут «нет».

 

46. На первый взгляд кажется, что бутылка стоит 1 рубль, а пробка – 10 копеек, но тогда бутылка дороже пробки на 90 копеек, а не на 1 рубль, как по условию. На самом деле, бутылка стоит 1 рубль 05 копеек, а пробка стоит 5 копеек.

 

47. Может показаться, что Оля проходит 30 ступенек – в 2 раза меньше, чем Катя (так как она живет в 2 раза ниже). На самом деле это не так. Когда Катя поднимается на четвертый этаж, она преодолевает 3 лестничных пролета между этажами. Значит, между двумя этажами 20 ступенек: 60: 3 = 20. Оля поднимается с первого этажа на второй, следовательно, она преодолевает 20 ступенек.

 

48. Это число 91, которое при переворачивании вверх ногами превращается в 16. При этом оно уменьшается на 75 (поскольку 91–16 = 75). При решении этой задачи надо учитывать, что при переворачивании числа его цифры не только переворачиваются, но и меняются местами.

 

49. На развернутом листе будет 128 дырок. Надо принять во внимание, что при каждом складывании листа количество дырок удваивается.

 

50. Три человека: дед, отец и сын – это два отца и два сына – поймали трех зайцев, каждый по одному.

 

51. Эффект этой задачи-фокуса заключается в том, что увеличение любого трехзначного числа до шестизначного путем его дублирования равносильно умножению этого трехзначного числа на 1001. Кроме того, произведение чисел 13, 11 и 7 также равно 1001. Следовательно, если получившееся шестизначное число разделить в любой последовательности на эти три числа (13, 11, 7), то получится исходное трехзначное число.

 

52. См. рис. 59.

53. Тем или иным языком владеют 90 школьников, так как по условию 10 человек не освоили ни одного языка. Из этих 90 человек 15 не сдали немецкий, так как 75 его сдали по условию, а 7 человек не сдали английский, так как 83 его сдали по условию. Значит, всего не сдавших один из экзаменов 22 человека (поскольку 15 + 7 = 22).

Двумя языками овладели 68 школьников (90–22 = 68).

 

54. Любая посуда правильной цилиндрической формы, если смотреть на нее сбоку, представляет собой прямоугольник. Как известно, диагональ прямоугольника делит его на две равные части. Точно так же цилиндр делится пополам эллипсом. Из наполненной водой посуды цилиндрической формы надо отливать воду до тех пор, пока поверхность воды с одной стороны не достигнет угла посуды, где ее дно смыкается со стенкой, а с другой стороны края посуды, через который она выливается. В этом случае в посуде останется ровно половина воды (рис. 60).

55. Может показаться, что за указанный период стрелки часов совпадут всего 3 раза: в 12 часов дня, потом в 24 часа этого же дня и в 12 часов следующего дня. На самом же деле часовая и минутная стрелки совпадают каждый час 1 раз (когда минутная обгоняет часовую). С 6 часов утра одного дня до 10 часов вечера другого дня проходит 40 часов – значит, за это время часовая и минутная стрелки должны совпасть 40 раз. Но 3 часа из этих 40 часов составляют исключение: это 12 часов одного дня, 24 часа того же дня и 12 часов другого дня. Представим себе, что в 12 часов стрелки совпали, в следующий раз минутная стрелка догонит часовую не в первом часу, а в начале второго, т. е. с 12 часов до 1 часа (неважно – дня или ночи) совпадения стрелок не происходит. Следовательно, часовая и минутная стрелки с 6 часов утра одного дня до 10 часов вечера другого дня совпадут 37 раз.

 

56. Скорость теплохода примем за х, а скорость реки за у. Поскольку от Нижнего Новгорода до Астрахани теплоход плывет по течению, то его собственная скорость и скорость реки складываются, т. е. до Астрахани он плывет со скоростью (х + у). На обратном пути теплоход плывет против течения, т. е. со скоростью (х – у). Как известно, расстояние равно произведению скорости на время. Зная, что теплоход проделывал один и тот же путь за 5 и за 7 суток, можно составить уравнение:

5(х + у) = 7(х – у).

Преобразуем его:

5х + 5 у = 7 х – 7 у,

7 у + 5 у = 7 х – 5 х,

12 у = 2 х,

6 у = х.

Как видим, собственная скорость теплохода в 6 раз больше скорости реки. Значит, по течению (от Нижнего Новгорода до Астрахани) он плывет со скоростью в 7 раз большей скорости реки, ведь в этом случае скорости теплохода и реки складываются. Поскольку плот плывет только по течению, то его скорость равна скорости реки, а значит, она в 7 раз меньше, чем скорость теплохода на пути в Астрахань. Следовательно, и времени на тот же путь плот затратит в 7 раз больше, чем теплоход:

5 · 7 = 35.

Расстояние от Нижнего Новгорода до Астрахани плот пройдет за 35 суток.

 

57. Можно с ходу ответить, что 12 куриц за 12 дней снесут 12 яиц. Однако это не так. Если три курицы за три дня несут три яйца, значит, одна курица за те же три дня несет одно яйцо. Следовательно, за 12 дней она снесет 12: 3 = 4 яйца. Если же куриц будет 12, то за 12 дней они снесут 12 · 4 = 48 яиц.

 

58. 111 – 11 = 100.

 

59. Конечно же, это рассуждение неверно. Видимость его правильности и убедительности создается за счет того, что в нем почти незаметно смешиваются и подменяются понятия «сутки» и «день», а вернее – «рабочий день». А это совершенно разные понятия, ведь сутки – это 24 часа, а рабочий день – это 8 часов. В году 365 суток, и это то время, в которое мы и работаем, и отдыхаем, и спим. В рассуждении же понятие «365 суток» подменяется понятием «365 дней», и предполагается, что все эти дни (а на самом деле – сутки) заняты только работой. Далее из этих «365 дней» вычитается время, затрачиваемое на сон, на отдых и т. д., а это время надо вычитать не из дней (причем рабочих дней), а из суток. Тогда количество дней (рабочих) останется прежним, и недоразумения не возникнет.

 

60. Надо взять второй наполненный стакан слева и перелить его во второй пустой стакан справа, тогда наполненные и пустые стаканы будут чередоваться (рис. 61).

61. Рассуждение неверно. Говорить о том, что большее количество рабочих сможет построить дом намного быстрее, можно только в пределах целых дней, т. е. если измерять время работы днями. Если же измерять это время часами, а тем более минутами и секундами, то данная закономерность (больше рабочих – быстрее работа) не действует. Ошибка рассуждения заключается в том, что в нем смешиваются различные понятия, обозначающие разные временные интервалы. Понятие «день» почти незаметно подменяется понятиями «час», «минута», «секунда», за счет чего и создается видимость правильности данного рассуждения.

 

62. Это слово «неправильно». Оно всегда так и пишется – «неправильно». Эффект этой задачи-шутки заключается в том, что в ней слово «неправильно» употребляется в двух разных смыслах.

 

63. Попугай действительно может повторять каждое услышанное слово, но он глух и не слышит ни одного слова.

 

64. Конечно же, спичку, так как без нее нельзя зажечь ни свечу, ни керосиновую лампу. Вопрос задачи двусмысленен, ведь его можно понимать то ли как выбор между свечой и керосиновой лампой, то ли как последовательность в зажигании чего-либо (сначала спичка, а уж от нее – все остальное).

 

65. Может показаться, что Петр будет спать 14 часов, но на самом деле он сможет поспать всего 2 часа, потому что будильник прозвонит в 9 часов вечера. Простой механический будильник не различает дня и ночи и всегда звонит в то время, на которое его поставили. Если бы это был электронный будильник компьютерного типа, который можно программировать, тогда Петру удалось бы проспать с 7 часов вечера до 9 часов утра.

 

66. Логическая закономерность, что отрицание истины является ложью, а отрицание лжи – истиной, действует только тогда, когда речь идет об одном и том же предмете. В данном случае речь должна идти об одном и том же предложении. Если бы это было так, то одно утверждение обязательно было бы истинным, а другое ложным, или наоборот. Но в задаче речь идет о двух разных предложениях. Поэтому нет ничего удивительного в том, что они оба являются ложными.

 

67. Сумма восьми цифр, равная двум, может получиться в том случае, если одна из этих цифр – двойка, а остальные – нули. Такое восьмизначное число только одно. Это 20 000 000. Но сумма восьми цифр, равная двум, также может получиться в том случае, если две из этих цифр единицы, а остальные нули. Таких восьмизначных чисел семь: 11 000 000, 10 100 000, 10 010 000, 10 001 000, 10 000 100, 10 000 010, 10 000 001.

Итак, существует восемь восьмизначных чисел, сумма цифр которых равна двум.

 

68. Периметр фигуры – это сумма длин всех ее сторон. В данной фигуре 12 сторон. Если ее периметр равен 6, то одна сторона равна 6: 12 = 0,5. Фигура состоит из 5 одинаковых квадратов, со стороной 0,5.

Площадь одного квадрата равна 0,5 · 0,5 = 0,25. Следовательно, площадь всей фигуры равна 0,25 · 5 = 1,25.

 

69. Затруднение при решении может возникнуть из-за необычно сформулированного условия задачи. Сама же задача очень проста. Требуется всего лишь записать математически то, что выражено в ней словами, т. е. распутать ее словесное условие. Сумма квадратов чисел 2 и 3 – это 22 + 32. Куб суммы квадратов чисел 2 и 3 – это (22 + 32)3. Сумма кубов этих чисел – это 23 + 33. Квадрат этой суммы – это (23 + 33)2. Надо найти разность первого и второго:

(22 + З2)3 – (23 + З3)2 = (4 + 9)3 – (8 + 27)2 = 133 – 352 = 2197–1225 = 972.

 

70. Это число 2. Половина этого числа равна 1, а половина от половины этого числа (т. е. единицы) равна 0,5, т. е. тоже половине.

 

71. Рассуждение неверно. Совершено не обязательно, что Саша Иванов со временем побывает на Марсе. Внешняя правильность этого рассуждения создается за счет употребления в нем одного слова человек в двух разных смыслах: в широком (абстрактный представитель человечества) и в узком (конкретный, данный, именно этот человек).

 

72. Как видим по условию, для получения оранжевой краски требуется в 3 раза больше желтой краски, чем красной: 6: 2 = 3. Значит, из имеющегося количества желтой и красной красок надо взять в 3 раза больше желтой краски, чем красной, т. е. 3 грамма желтой и 1 грамм красной. Можно получить 4 грамма оранжевой краски.

 

73. См. рис. 62.

Можно убрать и другие 2 спички.

 

74. Надо поставить запятую: 5 < 5, 6 < 6.

 

75. Сначала надо выяснить, каков общий возраст всех игроков команды: 22 · 11 = 242. Возраст выбывшего игрока примем за х. После того как он выбыл, общий возраст игроков команды стал равен 242 – х. Поскольку игроков стало 10 и их средний возраст известен (21 год), можно составить следующее уравнение:

(242 – х): 10 = 21,

242 – х = 210,

х = 242–210 = 32.

Выбывшему игроку 32 года.

 

76. Рассуждение, конечно же, неверно. Эффект его внешней правильности достигается благодаря употреблению понятия «возраст отца» в двух разных смыслах: возраст отца как возраст человека, который является этим отцом, и возраст отца как число лет отцовства. Кстати, во втором значении понятие возраст, как правило, не употребляется: обычно под словосочетанием возраст отца понимается возраст этого человека, а не что-либо иное.

 

77. Сначала надо разделить 24 килограмма гвоздей на две равные части по 12 килограммов, уравновесив их на чашах весов. Затем так же разделить 12 килограммов гвоздей на две равные части по 6 килограммов. После этого отложить одну часть, а другую разделить таким же способом на части по 3 килограмма. Наконец к шестикилограммовой части гвоздей добавить эти 3 килограмма. В результате получится 9 килограммов гвоздей.

 

78. Это был четверг. В этот день Петр правдиво сказал, что вчера (т. е. в среду) он лгал, а Иван солгал насчет того, что вчера (т. е. в среду) он лгал, ведь по условию в среду он говорит правду.

 

79. Это число 147.

 

80.

81. В 1001 раз. Для того чтобы установить это, надо шестизначное число, полученное путем дублирования трехзначного числа, разделить на это трехзначное число. Получится 1001 (см. также задачу 51).

 

82. Ошибка данного рассуждения заключается в утверждении, что если бы не было времени, то не было бы ни одного дня, а значит, всегда стояла бы ночь. Как раз наоборот – если бы не было времени, то не могло бы быть ни одного дня и ни одной ночи, ведь понятие ночи (как и понятие дня) относится именно ко времени (и день, и ночь – это некие временные интервалы).

 

83. Примем число яблок, которые взяла Настя из первой корзины, за х, тогда в первой корзине осталось (12 – х) яблок. Именно столько яблок и взяла Маша из второй корзины. Значит, во второй корзине осталось

(12 – (12 – х)) яблок.

В двух корзинах вместе осталось

(12 – х) + 12 – (12 – х) = 12 – х + 12–12 + х = 12.

В двух корзинах вместе осталось 12 яблок.

 

84. Этого не может сказать ни одна свинья, ведь свиньи, как известно, не говорят. Эта не очень серьезная задача основана на двусмысленности вопроса: «Сколько свиней могут сказать…?» Слово «сказать» в этом вопросе можно понимать буквально – говорить членораздельной человеческой речью, а также его можно воспринимать в переносном значении – кто-то говорит от имени или за тех, которые сами говорить не могут (не умеют).

 

85. Сапожник и плотник – это одно лицо. В этом легко убедиться, составив простую схему:

86. Рассуждение неверно. Ошибка заключается в смешивании двух различных ситуаций в одних и тех же словах. Когда рабочие строят дом, их усилия складываются, поэтому работа идет быстрее и выполняется за более короткий срок. Когда корабли пересекают Атлантический океан, то их «усилия» не складываются: каждый корабль преодолевает океан все равно в одиночку, и поэтому время, затраченное на переправу через океан, не уменьшается при увеличении количества кораблей.

 

87. Стрелка у весов была сдвинута не вправо от нуля, а влево, т. е. весы показывали на 1 килограмм меньше. Значит, Петин портфель весит 3 килограмма, а Сашин – 4 килограмма. Вместе их портфели весят 7 килограммов. Когда мальчики их взвесили, весы показали на 1 килограмм меньше, т. е. 6 килограммов.

 

88. На первый взгляд, подобным образом можно расположить только 9 кружочков, но ведь в условии не сказано, что ряды кружочков должны быть горизонтальными или вертикальными. Они могут быть какими угодно. Расположить кружочки можно различными способами (рис. 63).

89. Может показаться, что оставшегося куска хватит на семь стирок. Однако это не так. Если длина, ширина и высота куска мыла уменьшились вдвое, то его объем уменьшился не в 2 раза, а в 8 раз:

Если после семи стирок объем куска мыла уменьшился в 8 раз, значит, оставшегося куска хватит всего на одну стирку (рис. 64).

90. Кусок материи в 2/3 метра надо сложить пополам. Образовавшаяся линия сгиба поделит его на две равные части по 1/3 метра. Затем надо сложить его еще раз пополам. Образовавшиеся линии сгиба поделят кусок материи на четыре равные части по 1/6 метра. Три таких части – это 3/6 метра, или искомая 1/2 метра (рис. 65).

91. Конечно же, композитором, равно как и художником, писателем или ученым, надо родиться, ведь если человек не родится, то он не сможет сочинять музыку, рисовать картины, писать романы или делать научные открытия. Эта шуточная задача основана на двусмысленности вопроса: «Действительно ли надо родиться?» Данный вопрос можно понимать буквально: надо ли рождаться на свет для того, чтобы заниматься каким-либо видом деятельности; а также данный вопрос можно понимать в переносном смысле: является ли талант композитора (художника, писателя, ученого) врожденным, данным от природы или же он приобретается во время жизни упорным трудом.

 

92. Рассуждение, конечно же, неверно. Его внешняя правильность основана на почти незаметном исключении еще одного варианта, который в данном рассуждении также необходимо было рассмотреть. Это вариант, когда не видит ни один глаз. Именно он и был пропущен: «Без правого глаза мы видим, без левого тоже, значит, глаза не обязательны для зрения». Правильное утверждение должно быть таким: «Без правого глаза мы видим, без левого тоже видим, но без двух вместе не видим, значит, мы видим или одним глазом, или другим, или двумя вместе, но мы не можем видеть без глаз, которые, таким образом, необходимы для зрения».

 

93. На первый взгляд может показаться, что попугаю можно задать до 99 вопросов. На самом же деле можно обойтись гораздо меньшим числом вопросов. Спросим его так: «Тебе больше 50 лет?» Если он ответит «да», то его возраст от 51 до 99 лет; если же он ответит «нет», то ему от 1 года до 50 лет. Количество вариантов его возраста после первого же вопроса сокращается вдвое. Следующий подобный вопрос: «Тебе больше (можн







Date: 2015-06-06; view: 1200; Нарушение авторских прав



mydocx.ru - 2015-2026 year. (0.775 sec.) Все материалы представленные на сайте исключительно с целью ознакомления читателями и не преследуют коммерческих целей или нарушение авторских прав - Пожаловаться на публикацию